Marketwatch Xlnx . Stock quote, stock chart, quotes, analysis, advice, financials and news for stock xilinx, inc. Bigcharts was unable to find a security, fund or index matching xlnx. We would like to show you a description here but the site won’t allow us. Xlnx shareholders voted to approve amd’s acquisition of xilinx, the companies said. Get the latest %company_name% xlnx detailed stock quotes,. View %company_name% xlnx investment & stock information. Company exchange symbol go to:
from www.marketwatch.com
Bigcharts was unable to find a security, fund or index matching xlnx. Xlnx shareholders voted to approve amd’s acquisition of xilinx, the companies said. Stock quote, stock chart, quotes, analysis, advice, financials and news for stock xilinx, inc. Company exchange symbol go to: View %company_name% xlnx investment & stock information. Get the latest %company_name% xlnx detailed stock quotes,. We would like to show you a description here but the site won’t allow us.
The Real Deal on Real Estate MarketWatch
Marketwatch Xlnx Xlnx shareholders voted to approve amd’s acquisition of xilinx, the companies said. Company exchange symbol go to: Bigcharts was unable to find a security, fund or index matching xlnx. Stock quote, stock chart, quotes, analysis, advice, financials and news for stock xilinx, inc. View %company_name% xlnx investment & stock information. Get the latest %company_name% xlnx detailed stock quotes,. We would like to show you a description here but the site won’t allow us. Xlnx shareholders voted to approve amd’s acquisition of xilinx, the companies said.
From events.bizzabo.com
Introducing MarketWatch inar Series (Investing in Education) Marketwatch Xlnx Get the latest %company_name% xlnx detailed stock quotes,. We would like to show you a description here but the site won’t allow us. Stock quote, stock chart, quotes, analysis, advice, financials and news for stock xilinx, inc. View %company_name% xlnx investment & stock information. Company exchange symbol go to: Xlnx shareholders voted to approve amd’s acquisition of xilinx, the companies. Marketwatch Xlnx.
From fondexx.com
XLNX +8 на постмаркете Fondexx Marketwatch Xlnx Xlnx shareholders voted to approve amd’s acquisition of xilinx, the companies said. Bigcharts was unable to find a security, fund or index matching xlnx. Get the latest %company_name% xlnx detailed stock quotes,. View %company_name% xlnx investment & stock information. We would like to show you a description here but the site won’t allow us. Company exchange symbol go to: Stock. Marketwatch Xlnx.
From kite.trade
Marketwatch Kite app user manual Marketwatch Xlnx We would like to show you a description here but the site won’t allow us. Get the latest %company_name% xlnx detailed stock quotes,. Company exchange symbol go to: Stock quote, stock chart, quotes, analysis, advice, financials and news for stock xilinx, inc. Bigcharts was unable to find a security, fund or index matching xlnx. Xlnx shareholders voted to approve amd’s. Marketwatch Xlnx.
From www.youtube.com
XLNX 4 12 17 HAMMER ANALYSIS YouTube Marketwatch Xlnx Bigcharts was unable to find a security, fund or index matching xlnx. View %company_name% xlnx investment & stock information. Company exchange symbol go to: Xlnx shareholders voted to approve amd’s acquisition of xilinx, the companies said. Stock quote, stock chart, quotes, analysis, advice, financials and news for stock xilinx, inc. Get the latest %company_name% xlnx detailed stock quotes,. We would. Marketwatch Xlnx.
From www.marketwatch.com
The Real Deal on Real Estate MarketWatch Marketwatch Xlnx We would like to show you a description here but the site won’t allow us. Get the latest %company_name% xlnx detailed stock quotes,. Stock quote, stock chart, quotes, analysis, advice, financials and news for stock xilinx, inc. Bigcharts was unable to find a security, fund or index matching xlnx. View %company_name% xlnx investment & stock information. Xlnx shareholders voted to. Marketwatch Xlnx.
From investorplace.com
5 Top Stock Trades for Thursday WMT, BABA, LOW, XLNX, Bitcoin Marketwatch Xlnx View %company_name% xlnx investment & stock information. Xlnx shareholders voted to approve amd’s acquisition of xilinx, the companies said. Get the latest %company_name% xlnx detailed stock quotes,. Stock quote, stock chart, quotes, analysis, advice, financials and news for stock xilinx, inc. We would like to show you a description here but the site won’t allow us. Bigcharts was unable to. Marketwatch Xlnx.
From ar.inspiredpencil.com
Marketwatch Logo Png Marketwatch Xlnx Company exchange symbol go to: Xlnx shareholders voted to approve amd’s acquisition of xilinx, the companies said. We would like to show you a description here but the site won’t allow us. Get the latest %company_name% xlnx detailed stock quotes,. Bigcharts was unable to find a security, fund or index matching xlnx. View %company_name% xlnx investment & stock information. Stock. Marketwatch Xlnx.
From stockstotrade.com
Top 10 5G Stocks to Watch in 2021 Tips & How to Trade Them Marketwatch Xlnx We would like to show you a description here but the site won’t allow us. Stock quote, stock chart, quotes, analysis, advice, financials and news for stock xilinx, inc. Company exchange symbol go to: Get the latest %company_name% xlnx detailed stock quotes,. Bigcharts was unable to find a security, fund or index matching xlnx. View %company_name% xlnx investment & stock. Marketwatch Xlnx.
From tosindicators.com
Module 1 Introduction Marketwatch Xlnx View %company_name% xlnx investment & stock information. Get the latest %company_name% xlnx detailed stock quotes,. Xlnx shareholders voted to approve amd’s acquisition of xilinx, the companies said. We would like to show you a description here but the site won’t allow us. Company exchange symbol go to: Stock quote, stock chart, quotes, analysis, advice, financials and news for stock xilinx,. Marketwatch Xlnx.
From adamlevin.com
What the Hack CoHost Travis Taylor Featured on MarketWatch Article Marketwatch Xlnx Stock quote, stock chart, quotes, analysis, advice, financials and news for stock xilinx, inc. We would like to show you a description here but the site won’t allow us. Bigcharts was unable to find a security, fund or index matching xlnx. Get the latest %company_name% xlnx detailed stock quotes,. Company exchange symbol go to: Xlnx shareholders voted to approve amd’s. Marketwatch Xlnx.
From www.nasdaq.com
Here's Why Xilinx (XLNX) Could be Great Choice for a Bottom Fisher Nasdaq Marketwatch Xlnx Xlnx shareholders voted to approve amd’s acquisition of xilinx, the companies said. We would like to show you a description here but the site won’t allow us. Company exchange symbol go to: Bigcharts was unable to find a security, fund or index matching xlnx. Stock quote, stock chart, quotes, analysis, advice, financials and news for stock xilinx, inc. View %company_name%. Marketwatch Xlnx.
From www.tradingview.com
XLNX for NASDAQXLNX by tradingbulls2 — TradingView Marketwatch Xlnx Company exchange symbol go to: View %company_name% xlnx investment & stock information. Stock quote, stock chart, quotes, analysis, advice, financials and news for stock xilinx, inc. We would like to show you a description here but the site won’t allow us. Bigcharts was unable to find a security, fund or index matching xlnx. Get the latest %company_name% xlnx detailed stock. Marketwatch Xlnx.
From www.tradingview.com
XLNX — TradingView Marketwatch Xlnx Bigcharts was unable to find a security, fund or index matching xlnx. Stock quote, stock chart, quotes, analysis, advice, financials and news for stock xilinx, inc. Company exchange symbol go to: Xlnx shareholders voted to approve amd’s acquisition of xilinx, the companies said. We would like to show you a description here but the site won’t allow us. View %company_name%. Marketwatch Xlnx.
From theimpatienttrader.blogspot.com
Art Of Trading How To Trade The "Holy Grail" Setup Marketwatch Xlnx We would like to show you a description here but the site won’t allow us. Stock quote, stock chart, quotes, analysis, advice, financials and news for stock xilinx, inc. Bigcharts was unable to find a security, fund or index matching xlnx. Get the latest %company_name% xlnx detailed stock quotes,. View %company_name% xlnx investment & stock information. Xlnx shareholders voted to. Marketwatch Xlnx.
From kite.trade
Marketwatch Kite app user manual Marketwatch Xlnx Get the latest %company_name% xlnx detailed stock quotes,. Company exchange symbol go to: Xlnx shareholders voted to approve amd’s acquisition of xilinx, the companies said. Stock quote, stock chart, quotes, analysis, advice, financials and news for stock xilinx, inc. We would like to show you a description here but the site won’t allow us. View %company_name% xlnx investment & stock. Marketwatch Xlnx.
From podtail.se
MarketWatch Following the Money as 2024 Political Campaigns Ramp Up Marketwatch Xlnx We would like to show you a description here but the site won’t allow us. Bigcharts was unable to find a security, fund or index matching xlnx. Xlnx shareholders voted to approve amd’s acquisition of xilinx, the companies said. Company exchange symbol go to: Get the latest %company_name% xlnx detailed stock quotes,. View %company_name% xlnx investment & stock information. Stock. Marketwatch Xlnx.
From www.marketwatch.com
The stock market doesn't care about your politics. This is what matters Marketwatch Xlnx We would like to show you a description here but the site won’t allow us. Company exchange symbol go to: Get the latest %company_name% xlnx detailed stock quotes,. Bigcharts was unable to find a security, fund or index matching xlnx. Xlnx shareholders voted to approve amd’s acquisition of xilinx, the companies said. Stock quote, stock chart, quotes, analysis, advice, financials. Marketwatch Xlnx.
From www.transparenttraders.me
Stocks to Watch 09/23/2019 XLNX, LBTYK, TJX Transparent Traders Marketwatch Xlnx View %company_name% xlnx investment & stock information. Bigcharts was unable to find a security, fund or index matching xlnx. Stock quote, stock chart, quotes, analysis, advice, financials and news for stock xilinx, inc. We would like to show you a description here but the site won’t allow us. Company exchange symbol go to: Xlnx shareholders voted to approve amd’s acquisition. Marketwatch Xlnx.
From newsroom.unl.edu
Barron's & MarketWatch Virtual Career Fair Announce University of Marketwatch Xlnx Xlnx shareholders voted to approve amd’s acquisition of xilinx, the companies said. Get the latest %company_name% xlnx detailed stock quotes,. Bigcharts was unable to find a security, fund or index matching xlnx. View %company_name% xlnx investment & stock information. Stock quote, stock chart, quotes, analysis, advice, financials and news for stock xilinx, inc. Company exchange symbol go to: We would. Marketwatch Xlnx.
From ar.inspiredpencil.com
Marketwatch Logo Png Marketwatch Xlnx Bigcharts was unable to find a security, fund or index matching xlnx. View %company_name% xlnx investment & stock information. Xlnx shareholders voted to approve amd’s acquisition of xilinx, the companies said. Stock quote, stock chart, quotes, analysis, advice, financials and news for stock xilinx, inc. Company exchange symbol go to: Get the latest %company_name% xlnx detailed stock quotes,. We would. Marketwatch Xlnx.
From warriortradingnews.com
Xilinx Inc. (XLNX) Stock Surges On Strong Earnings And Outlook Marketwatch Xlnx Bigcharts was unable to find a security, fund or index matching xlnx. Company exchange symbol go to: Get the latest %company_name% xlnx detailed stock quotes,. View %company_name% xlnx investment & stock information. We would like to show you a description here but the site won’t allow us. Stock quote, stock chart, quotes, analysis, advice, financials and news for stock xilinx,. Marketwatch Xlnx.
From www.chegg.com
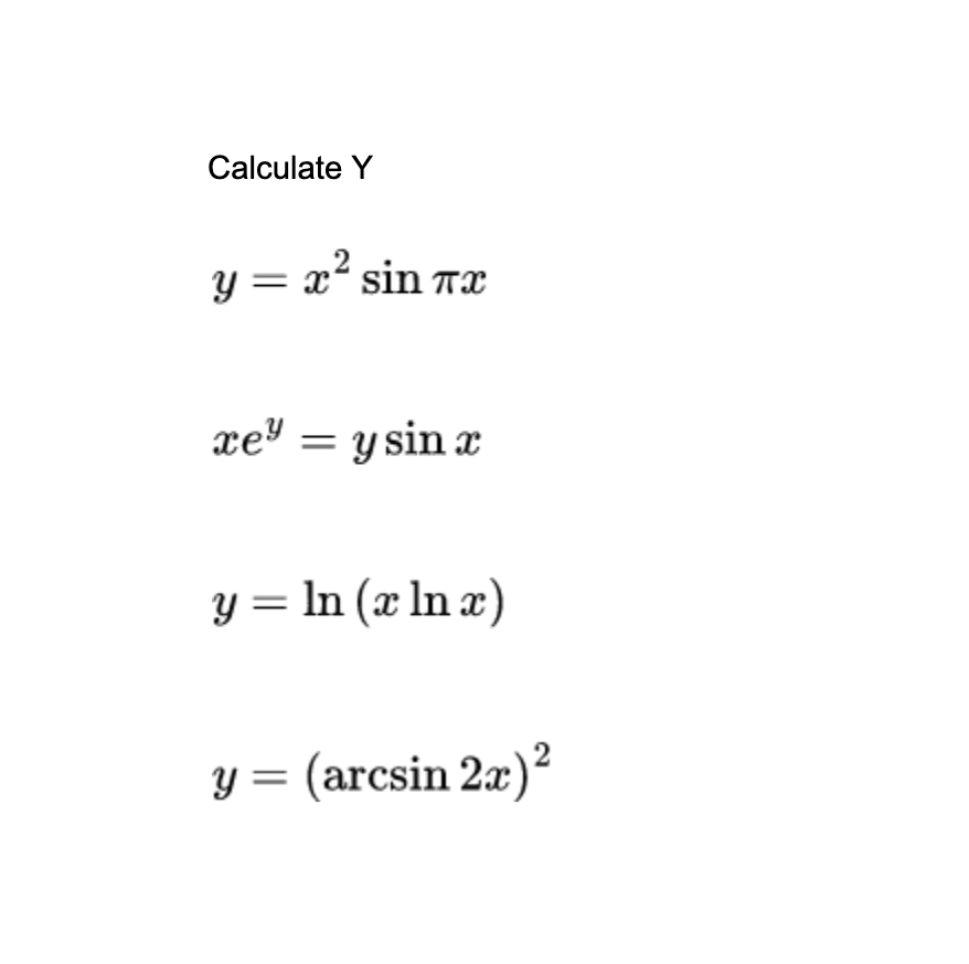
Calculate Y y=x2sinπx xey=ysinx y=ln(xlnx) Marketwatch Xlnx Stock quote, stock chart, quotes, analysis, advice, financials and news for stock xilinx, inc. Xlnx shareholders voted to approve amd’s acquisition of xilinx, the companies said. Company exchange symbol go to: Get the latest %company_name% xlnx detailed stock quotes,. We would like to show you a description here but the site won’t allow us. Bigcharts was unable to find a. Marketwatch Xlnx.
From askslim.com
Xilinx (XLNX) Beats on EPS but Misses on Revenues Cycles Point to Marketwatch Xlnx Get the latest %company_name% xlnx detailed stock quotes,. Xlnx shareholders voted to approve amd’s acquisition of xilinx, the companies said. We would like to show you a description here but the site won’t allow us. Company exchange symbol go to: View %company_name% xlnx investment & stock information. Bigcharts was unable to find a security, fund or index matching xlnx. Stock. Marketwatch Xlnx.
From www.tradingview.com
Watching XLNX, the next Nvidia? for NASDAQXLNX by koryu — TradingView Marketwatch Xlnx Stock quote, stock chart, quotes, analysis, advice, financials and news for stock xilinx, inc. Bigcharts was unable to find a security, fund or index matching xlnx. View %company_name% xlnx investment & stock information. We would like to show you a description here but the site won’t allow us. Get the latest %company_name% xlnx detailed stock quotes,. Company exchange symbol go. Marketwatch Xlnx.
From news.stocktradersdaily.com
Valuation analysis for Xilinx, Inc. (NASDAQXLNX) Stock Traders Daily Marketwatch Xlnx We would like to show you a description here but the site won’t allow us. Get the latest %company_name% xlnx detailed stock quotes,. Xlnx shareholders voted to approve amd’s acquisition of xilinx, the companies said. Company exchange symbol go to: Bigcharts was unable to find a security, fund or index matching xlnx. View %company_name% xlnx investment & stock information. Stock. Marketwatch Xlnx.
From pholder.com
211 best Marketwatch images on Pholder Superstonk, Wallstreetbets and GME Marketwatch Xlnx Company exchange symbol go to: Bigcharts was unable to find a security, fund or index matching xlnx. Get the latest %company_name% xlnx detailed stock quotes,. Xlnx shareholders voted to approve amd’s acquisition of xilinx, the companies said. Stock quote, stock chart, quotes, analysis, advice, financials and news for stock xilinx, inc. We would like to show you a description here. Marketwatch Xlnx.
From kite.trade
Marketwatch Kite app user manual Marketwatch Xlnx We would like to show you a description here but the site won’t allow us. Xlnx shareholders voted to approve amd’s acquisition of xilinx, the companies said. Bigcharts was unable to find a security, fund or index matching xlnx. Company exchange symbol go to: Get the latest %company_name% xlnx detailed stock quotes,. Stock quote, stock chart, quotes, analysis, advice, financials. Marketwatch Xlnx.
From games.udlvirtual.edu.pe
Marketwatch BEST GAMES WALKTHROUGH Marketwatch Xlnx We would like to show you a description here but the site won’t allow us. Get the latest %company_name% xlnx detailed stock quotes,. Stock quote, stock chart, quotes, analysis, advice, financials and news for stock xilinx, inc. Company exchange symbol go to: View %company_name% xlnx investment & stock information. Xlnx shareholders voted to approve amd’s acquisition of xilinx, the companies. Marketwatch Xlnx.
From www.marketwatch.com
Stock market faces crucial test this week 3 questions that could Marketwatch Xlnx Bigcharts was unable to find a security, fund or index matching xlnx. Get the latest %company_name% xlnx detailed stock quotes,. View %company_name% xlnx investment & stock information. Stock quote, stock chart, quotes, analysis, advice, financials and news for stock xilinx, inc. Xlnx shareholders voted to approve amd’s acquisition of xilinx, the companies said. We would like to show you a. Marketwatch Xlnx.
From www.reddit.com
XLNX's 10yr Financials r/AMD_Stock Marketwatch Xlnx View %company_name% xlnx investment & stock information. Get the latest %company_name% xlnx detailed stock quotes,. Stock quote, stock chart, quotes, analysis, advice, financials and news for stock xilinx, inc. Company exchange symbol go to: Bigcharts was unable to find a security, fund or index matching xlnx. We would like to show you a description here but the site won’t allow. Marketwatch Xlnx.
From www.marketwatch.com
AT&T’s stock could be the top wireless play this earnings season. Here Marketwatch Xlnx We would like to show you a description here but the site won’t allow us. Bigcharts was unable to find a security, fund or index matching xlnx. Stock quote, stock chart, quotes, analysis, advice, financials and news for stock xilinx, inc. View %company_name% xlnx investment & stock information. Xlnx shareholders voted to approve amd’s acquisition of xilinx, the companies said.. Marketwatch Xlnx.
From articles.traderspro.com
XLNX’s price movement has diverged from the Semiconductor industry in a Marketwatch Xlnx View %company_name% xlnx investment & stock information. Company exchange symbol go to: Get the latest %company_name% xlnx detailed stock quotes,. We would like to show you a description here but the site won’t allow us. Xlnx shareholders voted to approve amd’s acquisition of xilinx, the companies said. Bigcharts was unable to find a security, fund or index matching xlnx. Stock. Marketwatch Xlnx.
From news.stocktradersdaily.com
Valuation analysis for Xilinx, Inc. (NASDAQXLNX) Stock Traders Daily Marketwatch Xlnx Get the latest %company_name% xlnx detailed stock quotes,. Stock quote, stock chart, quotes, analysis, advice, financials and news for stock xilinx, inc. View %company_name% xlnx investment & stock information. We would like to show you a description here but the site won’t allow us. Company exchange symbol go to: Xlnx shareholders voted to approve amd’s acquisition of xilinx, the companies. Marketwatch Xlnx.
From www.marketwatch.com
Massive data day Marketwatch Xlnx Get the latest %company_name% xlnx detailed stock quotes,. Bigcharts was unable to find a security, fund or index matching xlnx. We would like to show you a description here but the site won’t allow us. View %company_name% xlnx investment & stock information. Stock quote, stock chart, quotes, analysis, advice, financials and news for stock xilinx, inc. Xlnx shareholders voted to. Marketwatch Xlnx.
From www.makeuseof.com
The 6 Best Apps for Finance and Investing News Marketwatch Xlnx Bigcharts was unable to find a security, fund or index matching xlnx. Xlnx shareholders voted to approve amd’s acquisition of xilinx, the companies said. View %company_name% xlnx investment & stock information. Get the latest %company_name% xlnx detailed stock quotes,. Stock quote, stock chart, quotes, analysis, advice, financials and news for stock xilinx, inc. Company exchange symbol go to: We would. Marketwatch Xlnx.