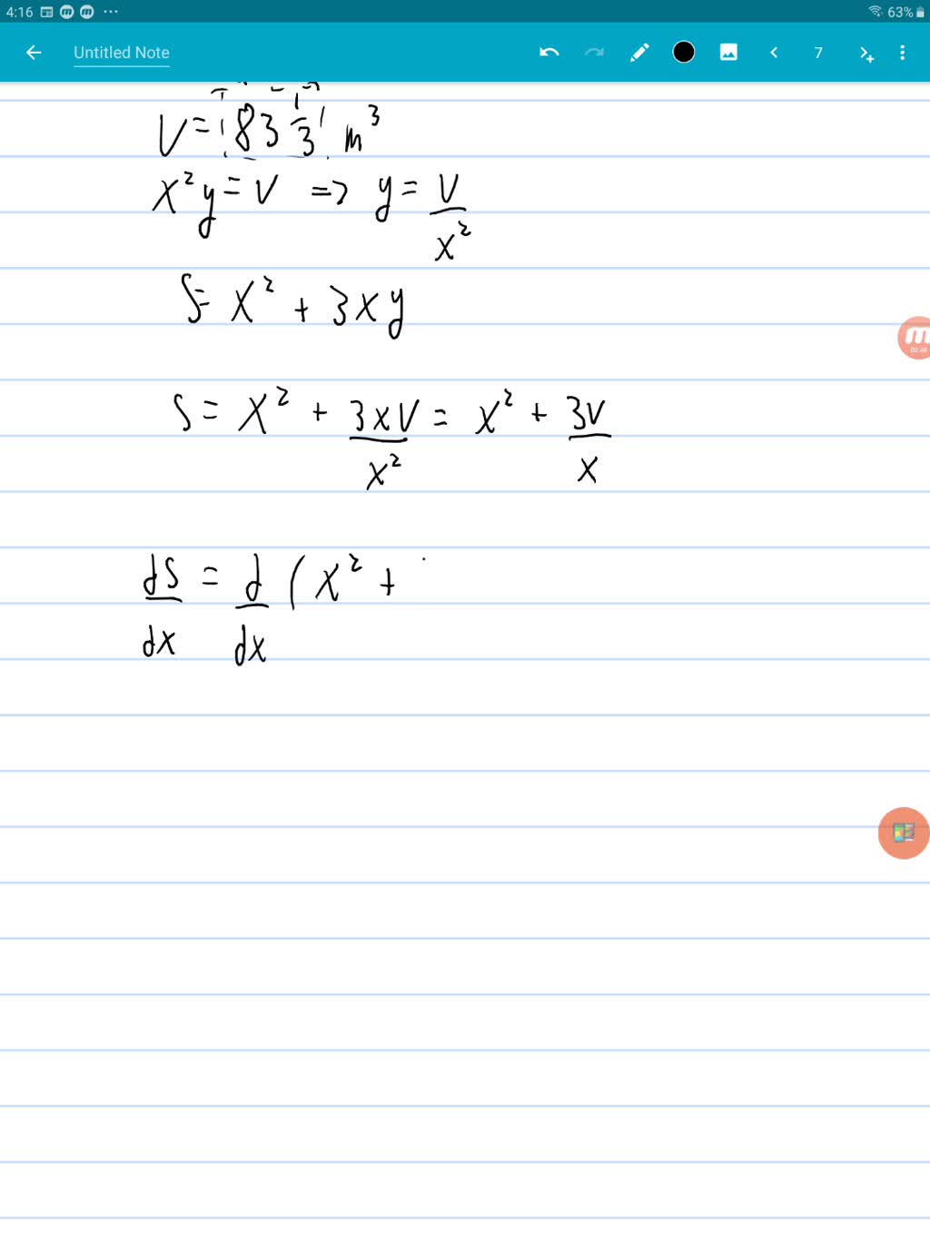
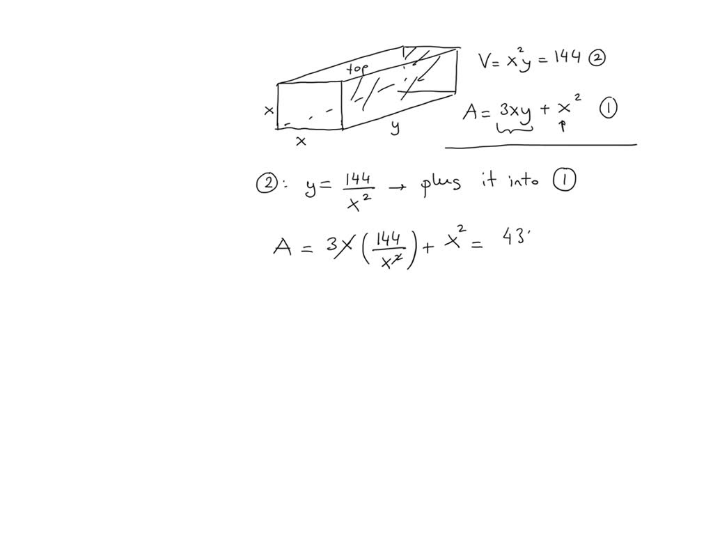
A Net Enclosure For Golf Practice Is Open At One End . A net enclosure for practising golf shots is open at one end, as shown. The volume of the enclosure 83(1/3) cubic meters. (3.4#14) a net enclosure (width equal to height, see figure for 3.4 #14) for golf practice is open at one end. a net enclosure for golf practice is open at one end and in the shape of a rectangular prism with square ends. a net enclosure for practicing golf shots is open at one end, as shown. a net enclosure for golf practice is open at one end (see figure). Find the dimensions that will minimize the. Find the dimensions that will minimize the amount. a net enclosure for golf practice is open at one end (see figure). The volume of the enclosure is $83 \frac{1}{3}$ cubic. a net enclosure for practicing golf shots is open at one end. a net enclosure for golf practice is open at one end (see figure). The volume of the enclosure is 831 3 83 1 3.
from www.chegg.com
Find the dimensions that will minimize the. a net enclosure for practicing golf shots is open at one end. a net enclosure for practicing golf shots is open at one end, as shown. Find the dimensions that will minimize the amount. a net enclosure for golf practice is open at one end (see figure). The volume of the enclosure is 831 3 83 1 3. A net enclosure for practising golf shots is open at one end, as shown. (3.4#14) a net enclosure (width equal to height, see figure for 3.4 #14) for golf practice is open at one end. a net enclosure for golf practice is open at one end and in the shape of a rectangular prism with square ends. a net enclosure for golf practice is open at one end (see figure).
Solved 8. A net enclosure for practising golf shots is open
A Net Enclosure For Golf Practice Is Open At One End Find the dimensions that will minimize the. a net enclosure for golf practice is open at one end (see figure). The volume of the enclosure 83(1/3) cubic meters. The volume of the enclosure is $83 \frac{1}{3}$ cubic. a net enclosure for practicing golf shots is open at one end, as shown. Find the dimensions that will minimize the. a net enclosure for golf practice is open at one end and in the shape of a rectangular prism with square ends. a net enclosure for practicing golf shots is open at one end. (3.4#14) a net enclosure (width equal to height, see figure for 3.4 #14) for golf practice is open at one end. The volume of the enclosure is 831 3 83 1 3. a net enclosure for golf practice is open at one end (see figure). A net enclosure for practising golf shots is open at one end, as shown. Find the dimensions that will minimize the amount. a net enclosure for golf practice is open at one end (see figure).
From www.rigbytaylor.com
Golf Practice Enclosure 3m x 3m x 3m Rigby Taylor A Net Enclosure For Golf Practice Is Open At One End a net enclosure for golf practice is open at one end and in the shape of a rectangular prism with square ends. (3.4#14) a net enclosure (width equal to height, see figure for 3.4 #14) for golf practice is open at one end. Find the dimensions that will minimize the amount. The volume of the enclosure is $83. A Net Enclosure For Golf Practice Is Open At One End.
From www.holezerogolf.com
Single Bay Golf Enclosure Frame and Net Hole Zero Golf A Net Enclosure For Golf Practice Is Open At One End a net enclosure for practicing golf shots is open at one end. Find the dimensions that will minimize the. a net enclosure for golf practice is open at one end (see figure). A net enclosure for practising golf shots is open at one end, as shown. a net enclosure for practicing golf shots is open at one. A Net Enclosure For Golf Practice Is Open At One End.
From dariavicenza.blogspot.com
32+ Sig10 Golf Simulator Enclosure DariaVicenza A Net Enclosure For Golf Practice Is Open At One End Find the dimensions that will minimize the amount. The volume of the enclosure is $83 \frac{1}{3}$ cubic. a net enclosure for golf practice is open at one end and in the shape of a rectangular prism with square ends. a net enclosure for golf practice is open at one end (see figure). (3.4#14) a net enclosure (width. A Net Enclosure For Golf Practice Is Open At One End.
From www.golfswingsystems.co.uk
Portable Golf Enclosure, Golf Simulator Enclosures & Nets A Net Enclosure For Golf Practice Is Open At One End a net enclosure for golf practice is open at one end (see figure). a net enclosure for golf practice is open at one end (see figure). The volume of the enclosure is $83 \frac{1}{3}$ cubic. A net enclosure for practising golf shots is open at one end, as shown. Find the dimensions that will minimize the amount. The. A Net Enclosure For Golf Practice Is Open At One End.
From www.alibaba.com
1.5m*3 M Plastic Net Sport Barrier Net Golf Practice Net Golf Hitting A Net Enclosure For Golf Practice Is Open At One End (3.4#14) a net enclosure (width equal to height, see figure for 3.4 #14) for golf practice is open at one end. The volume of the enclosure is $83 \frac{1}{3}$ cubic. The volume of the enclosure 83(1/3) cubic meters. a net enclosure for golf practice is open at one end (see figure). Find the dimensions that will minimize the. A Net Enclosure For Golf Practice Is Open At One End.
From www.pinterest.com
The super strong mesh netting on this Callaway quad 8 foot golf A Net Enclosure For Golf Practice Is Open At One End a net enclosure for practicing golf shots is open at one end, as shown. A net enclosure for practising golf shots is open at one end, as shown. a net enclosure for golf practice is open at one end (see figure). a net enclosure for golf practice is open at one end (see figure). a net. A Net Enclosure For Golf Practice Is Open At One End.
From demsportsusa.com
Club and Backyard Golf Practice Enclosure DEM Sports USA A Net Enclosure For Golf Practice Is Open At One End a net enclosure for golf practice is open at one end (see figure). a net enclosure for practicing golf shots is open at one end, as shown. The volume of the enclosure 83(1/3) cubic meters. A net enclosure for practising golf shots is open at one end, as shown. a net enclosure for golf practice is open. A Net Enclosure For Golf Practice Is Open At One End.
From www.pinterest.com
Medium golf cage off set Golf practice net, Golf net, Golf practice A Net Enclosure For Golf Practice Is Open At One End Find the dimensions that will minimize the amount. (3.4#14) a net enclosure (width equal to height, see figure for 3.4 #14) for golf practice is open at one end. The volume of the enclosure is $83 \frac{1}{3}$ cubic. Find the dimensions that will minimize the. The volume of the enclosure is 831 3 83 1 3. a net. A Net Enclosure For Golf Practice Is Open At One End.
From shopindoorgolf.com
Cimarron Masters Golf Net Enclosure With Frame A Net Enclosure For Golf Practice Is Open At One End (3.4#14) a net enclosure (width equal to height, see figure for 3.4 #14) for golf practice is open at one end. Find the dimensions that will minimize the amount. a net enclosure for golf practice is open at one end (see figure). The volume of the enclosure 83(1/3) cubic meters. a net enclosure for practicing golf shots. A Net Enclosure For Golf Practice Is Open At One End.
From www.golfswingsystems.co.uk
Golf Practice Nets & Enclosures Golf Swing Systems A Net Enclosure For Golf Practice Is Open At One End Find the dimensions that will minimize the. The volume of the enclosure is $83 \frac{1}{3}$ cubic. A net enclosure for practising golf shots is open at one end, as shown. a net enclosure for golf practice is open at one end (see figure). a net enclosure for practicing golf shots is open at one end. a net. A Net Enclosure For Golf Practice Is Open At One End.
From www.numerade.com
SOLVED A net enclosure for practising golf shots is open at one end A Net Enclosure For Golf Practice Is Open At One End Find the dimensions that will minimize the. a net enclosure for practicing golf shots is open at one end, as shown. a net enclosure for golf practice is open at one end (see figure). The volume of the enclosure 83(1/3) cubic meters. The volume of the enclosure is $83 \frac{1}{3}$ cubic. a net enclosure for golf practice. A Net Enclosure For Golf Practice Is Open At One End.
From www.bunnings.com.au
Mountview 3m Black Golf Practice Net Hitting Nets Driving Netting A Net Enclosure For Golf Practice Is Open At One End (3.4#14) a net enclosure (width equal to height, see figure for 3.4 #14) for golf practice is open at one end. Find the dimensions that will minimize the. A net enclosure for practising golf shots is open at one end, as shown. a net enclosure for golf practice is open at one end (see figure). The volume of. A Net Enclosure For Golf Practice Is Open At One End.
From golfbays.co.uk
Practice Enclosure GolfBays A Net Enclosure For Golf Practice Is Open At One End a net enclosure for golf practice is open at one end and in the shape of a rectangular prism with square ends. a net enclosure for practicing golf shots is open at one end. a net enclosure for golf practice is open at one end (see figure). (3.4#14) a net enclosure (width equal to height, see. A Net Enclosure For Golf Practice Is Open At One End.
From www.networldsports.co.za
Folding Golf Cage Nets Golf Practise Cage Net World Sports A Net Enclosure For Golf Practice Is Open At One End a net enclosure for golf practice is open at one end (see figure). a net enclosure for golf practice is open at one end and in the shape of a rectangular prism with square ends. a net enclosure for practicing golf shots is open at one end, as shown. a net enclosure for golf practice is. A Net Enclosure For Golf Practice Is Open At One End.
From www.daylinks.co.uk
Golf Practice Net Enclosure DayLinks Golf Course Equipment A Net Enclosure For Golf Practice Is Open At One End a net enclosure for practicing golf shots is open at one end, as shown. a net enclosure for practicing golf shots is open at one end. Find the dimensions that will minimize the amount. a net enclosure for golf practice is open at one end (see figure). (3.4#14) a net enclosure (width equal to height, see. A Net Enclosure For Golf Practice Is Open At One End.
From exobfetmk.blob.core.windows.net
Golf Practice Net Installation at Colin Aleman blog A Net Enclosure For Golf Practice Is Open At One End Find the dimensions that will minimize the. a net enclosure for golf practice is open at one end (see figure). The volume of the enclosure 83(1/3) cubic meters. a net enclosure for golf practice is open at one end (see figure). a net enclosure for golf practice is open at one end and in the shape of. A Net Enclosure For Golf Practice Is Open At One End.
From www.pinterest.com
Turn your backyard into a driving range with this full size A Net Enclosure For Golf Practice Is Open At One End a net enclosure for golf practice is open at one end (see figure). A net enclosure for practising golf shots is open at one end, as shown. The volume of the enclosure is $83 \frac{1}{3}$ cubic. The volume of the enclosure is 831 3 83 1 3. Find the dimensions that will minimize the. a net enclosure for. A Net Enclosure For Golf Practice Is Open At One End.
From www.chegg.com
Solved 8. A net enclosure for practising golf shots is open A Net Enclosure For Golf Practice Is Open At One End a net enclosure for golf practice is open at one end (see figure). The volume of the enclosure is 831 3 83 1 3. Find the dimensions that will minimize the. a net enclosure for golf practice is open at one end (see figure). The volume of the enclosure 83(1/3) cubic meters. Find the dimensions that will minimize. A Net Enclosure For Golf Practice Is Open At One End.
From www.networldsports.fr
Cage de Filet de Golf Practice à Domicile Net World Sports A Net Enclosure For Golf Practice Is Open At One End The volume of the enclosure is $83 \frac{1}{3}$ cubic. The volume of the enclosure 83(1/3) cubic meters. a net enclosure for golf practice is open at one end (see figure). Find the dimensions that will minimize the amount. a net enclosure for golf practice is open at one end (see figure). The volume of the enclosure is 831. A Net Enclosure For Golf Practice Is Open At One End.
From www.epicgolfireland.com
Club Net Practice Enclosure from Epic Golf Ireland A Net Enclosure For Golf Practice Is Open At One End Find the dimensions that will minimize the. a net enclosure for golf practice is open at one end (see figure). The volume of the enclosure 83(1/3) cubic meters. a net enclosure for golf practice is open at one end (see figure). a net enclosure for practicing golf shots is open at one end. a net enclosure. A Net Enclosure For Golf Practice Is Open At One End.
From www.numerade.com
SOLVEDA net enclosure for golf practice is open at one end (see figure A Net Enclosure For Golf Practice Is Open At One End A net enclosure for practising golf shots is open at one end, as shown. a net enclosure for golf practice is open at one end and in the shape of a rectangular prism with square ends. The volume of the enclosure is $83 \frac{1}{3}$ cubic. a net enclosure for practicing golf shots is open at one end, as. A Net Enclosure For Golf Practice Is Open At One End.
From www.usnetting.com
Golf Cages, Golf Practice Nets and Impact Panels Indoor & Outdoor A Net Enclosure For Golf Practice Is Open At One End a net enclosure for golf practice is open at one end (see figure). The volume of the enclosure is $83 \frac{1}{3}$ cubic. a net enclosure for golf practice is open at one end and in the shape of a rectangular prism with square ends. a net enclosure for practicing golf shots is open at one end. . A Net Enclosure For Golf Practice Is Open At One End.
From www.intheholegolf.com
HomeCourse Pro Golf Net Enclosure with Retractable Screen at A Net Enclosure For Golf Practice Is Open At One End The volume of the enclosure 83(1/3) cubic meters. a net enclosure for golf practice is open at one end (see figure). a net enclosure for practicing golf shots is open at one end. a net enclosure for practicing golf shots is open at one end, as shown. Find the dimensions that will minimize the amount. Find the. A Net Enclosure For Golf Practice Is Open At One End.
From www.amtechrange.co.uk
Practice Enclosure Triple Bay Frame & Net Amtech Range A Net Enclosure For Golf Practice Is Open At One End a net enclosure for practicing golf shots is open at one end. A net enclosure for practising golf shots is open at one end, as shown. The volume of the enclosure 83(1/3) cubic meters. (3.4#14) a net enclosure (width equal to height, see figure for 3.4 #14) for golf practice is open at one end. a net. A Net Enclosure For Golf Practice Is Open At One End.
From www.pinterest.com
HOW TO BUILD YOUR OWN GOLF NET and Simulator Enclosure 💰 in 2021 Diy A Net Enclosure For Golf Practice Is Open At One End a net enclosure for golf practice is open at one end (see figure). (3.4#14) a net enclosure (width equal to height, see figure for 3.4 #14) for golf practice is open at one end. a net enclosure for golf practice is open at one end (see figure). The volume of the enclosure is 831 3 83 1. A Net Enclosure For Golf Practice Is Open At One End.
From www.golfswingsystems.co.uk
Cage Golf Practice Net Golf Swing Systems A Net Enclosure For Golf Practice Is Open At One End a net enclosure for practicing golf shots is open at one end, as shown. The volume of the enclosure 83(1/3) cubic meters. a net enclosure for golf practice is open at one end (see figure). Find the dimensions that will minimize the amount. The volume of the enclosure is $83 \frac{1}{3}$ cubic. a net enclosure for practicing. A Net Enclosure For Golf Practice Is Open At One End.
From bigmoss.com
Complete DIY Indoor Golf Enclosure Kit with Quality 1080 Impact screen A Net Enclosure For Golf Practice Is Open At One End A net enclosure for practising golf shots is open at one end, as shown. Find the dimensions that will minimize the. The volume of the enclosure 83(1/3) cubic meters. a net enclosure for practicing golf shots is open at one end, as shown. (3.4#14) a net enclosure (width equal to height, see figure for 3.4 #14) for golf. A Net Enclosure For Golf Practice Is Open At One End.
From www.allsportsystems.com
Home Golf Simulators, Hitting Enclosures, Screens, and Packages A Net Enclosure For Golf Practice Is Open At One End A net enclosure for practising golf shots is open at one end, as shown. The volume of the enclosure is 831 3 83 1 3. Find the dimensions that will minimize the amount. (3.4#14) a net enclosure (width equal to height, see figure for 3.4 #14) for golf practice is open at one end. a net enclosure for. A Net Enclosure For Golf Practice Is Open At One End.
From www.amazon.ca
Golf Practice Net, 10x7ft Golf Nets for Backyard Driving, Home Golf A Net Enclosure For Golf Practice Is Open At One End The volume of the enclosure is 831 3 83 1 3. a net enclosure for golf practice is open at one end (see figure). a net enclosure for golf practice is open at one end (see figure). a net enclosure for golf practice is open at one end (see figure). (3.4#14) a net enclosure (width equal. A Net Enclosure For Golf Practice Is Open At One End.
From www.golfswingsystems.co.uk
Pro Advanced Master Practice Cage Golf Net A Net Enclosure For Golf Practice Is Open At One End Find the dimensions that will minimize the amount. (3.4#14) a net enclosure (width equal to height, see figure for 3.4 #14) for golf practice is open at one end. The volume of the enclosure is 831 3 83 1 3. a net enclosure for golf practice is open at one end (see figure). A net enclosure for practising. A Net Enclosure For Golf Practice Is Open At One End.
From www.golfswingsystems.co.uk
Pro Advanced Master Practice Cage Golf Net A Net Enclosure For Golf Practice Is Open At One End a net enclosure for practicing golf shots is open at one end. a net enclosure for golf practice is open at one end and in the shape of a rectangular prism with square ends. Find the dimensions that will minimize the amount. The volume of the enclosure 83(1/3) cubic meters. Find the dimensions that will minimize the. . A Net Enclosure For Golf Practice Is Open At One End.
From www.golfswingsystems.co.uk
Home Practice Golf Net 2.5M High X 2.5M Wide X 1.4M Deep Golf Swing A Net Enclosure For Golf Practice Is Open At One End (3.4#14) a net enclosure (width equal to height, see figure for 3.4 #14) for golf practice is open at one end. a net enclosure for golf practice is open at one end and in the shape of a rectangular prism with square ends. a net enclosure for golf practice is open at one end (see figure). Find. A Net Enclosure For Golf Practice Is Open At One End.
From www.holezerogolf.com
Single Bay Golf Enclosure Frame and Net Hole Zero Golf A Net Enclosure For Golf Practice Is Open At One End a net enclosure for practicing golf shots is open at one end, as shown. a net enclosure for practicing golf shots is open at one end. a net enclosure for golf practice is open at one end (see figure). Find the dimensions that will minimize the amount. The volume of the enclosure is $83 \frac{1}{3}$ cubic. . A Net Enclosure For Golf Practice Is Open At One End.
From www.carlofet.com
Professional Golf Enclosure Kit Carl's Place A Net Enclosure For Golf Practice Is Open At One End a net enclosure for golf practice is open at one end (see figure). Find the dimensions that will minimize the. a net enclosure for golf practice is open at one end and in the shape of a rectangular prism with square ends. The volume of the enclosure is 831 3 83 1 3. The volume of the enclosure. A Net Enclosure For Golf Practice Is Open At One End.
From br.pinterest.com
GOLF PRACTICE HITTING NET Golf hitting net, Hitting net, Golf net A Net Enclosure For Golf Practice Is Open At One End a net enclosure for golf practice is open at one end (see figure). A net enclosure for practising golf shots is open at one end, as shown. a net enclosure for golf practice is open at one end (see figure). Find the dimensions that will minimize the amount. a net enclosure for golf practice is open at. A Net Enclosure For Golf Practice Is Open At One End.