Hs Tariff Code For Coffee Maker . Now for usa hts harmonized tariff schedule (2024 hts. The harmonized tariff schedule of the united states (hts) sets out the tariff rates and statistical categories for all merchandise. Use our simple and easy to use hs (harmonized system) and hts (harmonized tariff schedule) code lookup tool to find the tariff code for products that you plan on importing into the. Your hs codes determine your compliance, your admissibility, and which supply chain advantages you can capture.
from giocirsmu.blob.core.windows.net
Now for usa hts harmonized tariff schedule (2024 hts. Your hs codes determine your compliance, your admissibility, and which supply chain advantages you can capture. Use our simple and easy to use hs (harmonized system) and hts (harmonized tariff schedule) code lookup tool to find the tariff code for products that you plan on importing into the. The harmonized tariff schedule of the united states (hts) sets out the tariff rates and statistical categories for all merchandise.
Coffee Vending Machine Hs Code at Faith Harris blog
Hs Tariff Code For Coffee Maker Use our simple and easy to use hs (harmonized system) and hts (harmonized tariff schedule) code lookup tool to find the tariff code for products that you plan on importing into the. Use our simple and easy to use hs (harmonized system) and hts (harmonized tariff schedule) code lookup tool to find the tariff code for products that you plan on importing into the. The harmonized tariff schedule of the united states (hts) sets out the tariff rates and statistical categories for all merchandise. Your hs codes determine your compliance, your admissibility, and which supply chain advantages you can capture. Now for usa hts harmonized tariff schedule (2024 hts.
From hxekbjbve.blob.core.windows.net
Coffee Filter Hs Code Usa at David Howell blog Hs Tariff Code For Coffee Maker The harmonized tariff schedule of the united states (hts) sets out the tariff rates and statistical categories for all merchandise. Your hs codes determine your compliance, your admissibility, and which supply chain advantages you can capture. Now for usa hts harmonized tariff schedule (2024 hts. Use our simple and easy to use hs (harmonized system) and hts (harmonized tariff schedule). Hs Tariff Code For Coffee Maker.
From exowyaoir.blob.core.windows.net
Customs Hs Code For Coffee Machine at Debra Banh blog Hs Tariff Code For Coffee Maker Your hs codes determine your compliance, your admissibility, and which supply chain advantages you can capture. Now for usa hts harmonized tariff schedule (2024 hts. Use our simple and easy to use hs (harmonized system) and hts (harmonized tariff schedule) code lookup tool to find the tariff code for products that you plan on importing into the. The harmonized tariff. Hs Tariff Code For Coffee Maker.
From tradefinanceglobal.com
What is HS Code? HS Code Explained [UPDATED 2024] Hs Tariff Code For Coffee Maker Your hs codes determine your compliance, your admissibility, and which supply chain advantages you can capture. Use our simple and easy to use hs (harmonized system) and hts (harmonized tariff schedule) code lookup tool to find the tariff code for products that you plan on importing into the. Now for usa hts harmonized tariff schedule (2024 hts. The harmonized tariff. Hs Tariff Code For Coffee Maker.
From reviewmotors.co
Coffee Maker Parts Names Reviewmotors.co Hs Tariff Code For Coffee Maker Now for usa hts harmonized tariff schedule (2024 hts. The harmonized tariff schedule of the united states (hts) sets out the tariff rates and statistical categories for all merchandise. Use our simple and easy to use hs (harmonized system) and hts (harmonized tariff schedule) code lookup tool to find the tariff code for products that you plan on importing into. Hs Tariff Code For Coffee Maker.
From giocirsmu.blob.core.windows.net
Coffee Vending Machine Hs Code at Faith Harris blog Hs Tariff Code For Coffee Maker Now for usa hts harmonized tariff schedule (2024 hts. The harmonized tariff schedule of the united states (hts) sets out the tariff rates and statistical categories for all merchandise. Use our simple and easy to use hs (harmonized system) and hts (harmonized tariff schedule) code lookup tool to find the tariff code for products that you plan on importing into. Hs Tariff Code For Coffee Maker.
From www.scribd.com
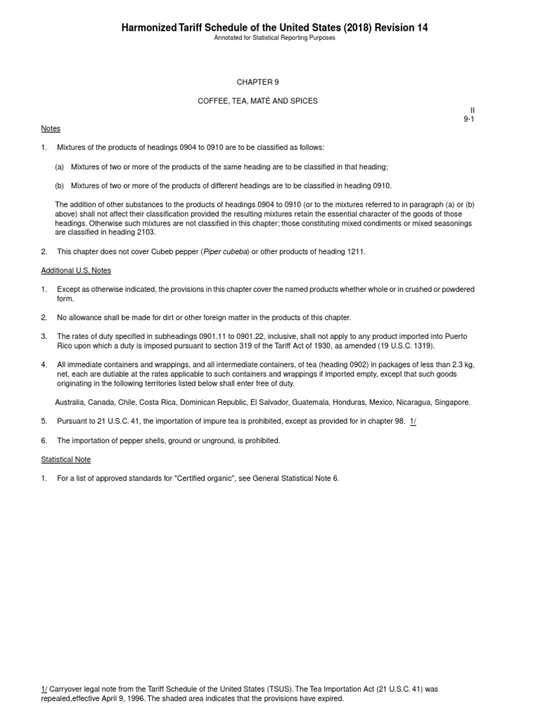
Harmonized Tariff Schedule of The United States (2018) Revision 14 PDF Capsicum Coffee Hs Tariff Code For Coffee Maker Use our simple and easy to use hs (harmonized system) and hts (harmonized tariff schedule) code lookup tool to find the tariff code for products that you plan on importing into the. Your hs codes determine your compliance, your admissibility, and which supply chain advantages you can capture. Now for usa hts harmonized tariff schedule (2024 hts. The harmonized tariff. Hs Tariff Code For Coffee Maker.
From fourwoodz.blogspot.com
Hs Tariff Code Malaysia / The hs code is a worldwide terminology for the classification of items Hs Tariff Code For Coffee Maker Now for usa hts harmonized tariff schedule (2024 hts. The harmonized tariff schedule of the united states (hts) sets out the tariff rates and statistical categories for all merchandise. Use our simple and easy to use hs (harmonized system) and hts (harmonized tariff schedule) code lookup tool to find the tariff code for products that you plan on importing into. Hs Tariff Code For Coffee Maker.
From www.helenacoffee.vn
HS Code Of Green Coffee Beans Coffee HS code for Export & Import Helena Coffee Vietnam Hs Tariff Code For Coffee Maker Your hs codes determine your compliance, your admissibility, and which supply chain advantages you can capture. Use our simple and easy to use hs (harmonized system) and hts (harmonized tariff schedule) code lookup tool to find the tariff code for products that you plan on importing into the. The harmonized tariff schedule of the united states (hts) sets out the. Hs Tariff Code For Coffee Maker.
From exoouvgix.blob.core.windows.net
Tariff Code For Ireland at Robert Custard blog Hs Tariff Code For Coffee Maker Your hs codes determine your compliance, your admissibility, and which supply chain advantages you can capture. Use our simple and easy to use hs (harmonized system) and hts (harmonized tariff schedule) code lookup tool to find the tariff code for products that you plan on importing into the. Now for usa hts harmonized tariff schedule (2024 hts. The harmonized tariff. Hs Tariff Code For Coffee Maker.
From gioybhkjv.blob.core.windows.net
Portable Power Bank Hs Code Us at Max Ford blog Hs Tariff Code For Coffee Maker Your hs codes determine your compliance, your admissibility, and which supply chain advantages you can capture. The harmonized tariff schedule of the united states (hts) sets out the tariff rates and statistical categories for all merchandise. Use our simple and easy to use hs (harmonized system) and hts (harmonized tariff schedule) code lookup tool to find the tariff code for. Hs Tariff Code For Coffee Maker.
From device.report
KEURIG KExpress Essentials KCup Pod Coffee Maker User Guide Hs Tariff Code For Coffee Maker The harmonized tariff schedule of the united states (hts) sets out the tariff rates and statistical categories for all merchandise. Your hs codes determine your compliance, your admissibility, and which supply chain advantages you can capture. Use our simple and easy to use hs (harmonized system) and hts (harmonized tariff schedule) code lookup tool to find the tariff code for. Hs Tariff Code For Coffee Maker.
From howtoexportimport.com
6 digit HS codes Chapter 09 Coffee , Tea, Mate and Spices Hs Tariff Code For Coffee Maker The harmonized tariff schedule of the united states (hts) sets out the tariff rates and statistical categories for all merchandise. Use our simple and easy to use hs (harmonized system) and hts (harmonized tariff schedule) code lookup tool to find the tariff code for products that you plan on importing into the. Your hs codes determine your compliance, your admissibility,. Hs Tariff Code For Coffee Maker.
From www.westpandi.com
Harmonized System Nomenclature for the Classification of Goods (HS Codes) Hs Tariff Code For Coffee Maker Now for usa hts harmonized tariff schedule (2024 hts. Your hs codes determine your compliance, your admissibility, and which supply chain advantages you can capture. The harmonized tariff schedule of the united states (hts) sets out the tariff rates and statistical categories for all merchandise. Use our simple and easy to use hs (harmonized system) and hts (harmonized tariff schedule). Hs Tariff Code For Coffee Maker.
From www.helenacoffee.vn
Roasted coffee beans HS code. What is the meaning? Helena Coffee Vietnam Hs Tariff Code For Coffee Maker Now for usa hts harmonized tariff schedule (2024 hts. Use our simple and easy to use hs (harmonized system) and hts (harmonized tariff schedule) code lookup tool to find the tariff code for products that you plan on importing into the. Your hs codes determine your compliance, your admissibility, and which supply chain advantages you can capture. The harmonized tariff. Hs Tariff Code For Coffee Maker.
From fyoztbiby.blob.core.windows.net
Coffee Disc Hs Code at Eva Marquis blog Hs Tariff Code For Coffee Maker Now for usa hts harmonized tariff schedule (2024 hts. Use our simple and easy to use hs (harmonized system) and hts (harmonized tariff schedule) code lookup tool to find the tariff code for products that you plan on importing into the. The harmonized tariff schedule of the united states (hts) sets out the tariff rates and statistical categories for all. Hs Tariff Code For Coffee Maker.
From hxeycfwbz.blob.core.windows.net
Roasted Coffee Beans Tariff Number at Daniels blog Hs Tariff Code For Coffee Maker Your hs codes determine your compliance, your admissibility, and which supply chain advantages you can capture. The harmonized tariff schedule of the united states (hts) sets out the tariff rates and statistical categories for all merchandise. Use our simple and easy to use hs (harmonized system) and hts (harmonized tariff schedule) code lookup tool to find the tariff code for. Hs Tariff Code For Coffee Maker.
From community.xometry.com
All about HTS codes for international shipments Xometry's Manufacturing Community Hs Tariff Code For Coffee Maker The harmonized tariff schedule of the united states (hts) sets out the tariff rates and statistical categories for all merchandise. Use our simple and easy to use hs (harmonized system) and hts (harmonized tariff schedule) code lookup tool to find the tariff code for products that you plan on importing into the. Now for usa hts harmonized tariff schedule (2024. Hs Tariff Code For Coffee Maker.
From www.transcustoms.cn
HS code 8468900000 of China Tariff tax rates,import duty of HS code 8468900000; Parts of Hs Tariff Code For Coffee Maker The harmonized tariff schedule of the united states (hts) sets out the tariff rates and statistical categories for all merchandise. Your hs codes determine your compliance, your admissibility, and which supply chain advantages you can capture. Now for usa hts harmonized tariff schedule (2024 hts. Use our simple and easy to use hs (harmonized system) and hts (harmonized tariff schedule). Hs Tariff Code For Coffee Maker.
From 100workfromhome.com
Best hs code for coffee maker The Best Home Hs Tariff Code For Coffee Maker Your hs codes determine your compliance, your admissibility, and which supply chain advantages you can capture. The harmonized tariff schedule of the united states (hts) sets out the tariff rates and statistical categories for all merchandise. Use our simple and easy to use hs (harmonized system) and hts (harmonized tariff schedule) code lookup tool to find the tariff code for. Hs Tariff Code For Coffee Maker.
From exohnbjrt.blob.core.windows.net
Roasted Coffee Beans Hs Tariff Code at Eddie Amundsen blog Hs Tariff Code For Coffee Maker The harmonized tariff schedule of the united states (hts) sets out the tariff rates and statistical categories for all merchandise. Use our simple and easy to use hs (harmonized system) and hts (harmonized tariff schedule) code lookup tool to find the tariff code for products that you plan on importing into the. Your hs codes determine your compliance, your admissibility,. Hs Tariff Code For Coffee Maker.
From howtoexportimport.com
Indian Tariff Code (ITC) Chapter 01 to 98 Hs Tariff Code For Coffee Maker Now for usa hts harmonized tariff schedule (2024 hts. Your hs codes determine your compliance, your admissibility, and which supply chain advantages you can capture. The harmonized tariff schedule of the united states (hts) sets out the tariff rates and statistical categories for all merchandise. Use our simple and easy to use hs (harmonized system) and hts (harmonized tariff schedule). Hs Tariff Code For Coffee Maker.
From exyhlnkat.blob.core.windows.net
Tariff Code For Instant Tea at Evelyn Miles blog Hs Tariff Code For Coffee Maker Use our simple and easy to use hs (harmonized system) and hts (harmonized tariff schedule) code lookup tool to find the tariff code for products that you plan on importing into the. Your hs codes determine your compliance, your admissibility, and which supply chain advantages you can capture. The harmonized tariff schedule of the united states (hts) sets out the. Hs Tariff Code For Coffee Maker.
From zestbo.en.made-in-china.com
Kitchen Appliance Popular Household Coffee Makers for Espresso Coffee Machine China Espresso Hs Tariff Code For Coffee Maker Use our simple and easy to use hs (harmonized system) and hts (harmonized tariff schedule) code lookup tool to find the tariff code for products that you plan on importing into the. Your hs codes determine your compliance, your admissibility, and which supply chain advantages you can capture. Now for usa hts harmonized tariff schedule (2024 hts. The harmonized tariff. Hs Tariff Code For Coffee Maker.
From hxeycfwbz.blob.core.windows.net
Roasted Coffee Beans Tariff Number at Daniels blog Hs Tariff Code For Coffee Maker Now for usa hts harmonized tariff schedule (2024 hts. The harmonized tariff schedule of the united states (hts) sets out the tariff rates and statistical categories for all merchandise. Use our simple and easy to use hs (harmonized system) and hts (harmonized tariff schedule) code lookup tool to find the tariff code for products that you plan on importing into. Hs Tariff Code For Coffee Maker.
From coffee-united-kingdom.blogspot.com
Coffee Machine Hs Code COFFEEUK Hs Tariff Code For Coffee Maker Now for usa hts harmonized tariff schedule (2024 hts. Use our simple and easy to use hs (harmonized system) and hts (harmonized tariff schedule) code lookup tool to find the tariff code for products that you plan on importing into the. Your hs codes determine your compliance, your admissibility, and which supply chain advantages you can capture. The harmonized tariff. Hs Tariff Code For Coffee Maker.
From www.helenacoffee.vn
Roasted coffee beans HS code. What is the meaning? Helena Coffee Vietnam Hs Tariff Code For Coffee Maker Now for usa hts harmonized tariff schedule (2024 hts. Use our simple and easy to use hs (harmonized system) and hts (harmonized tariff schedule) code lookup tool to find the tariff code for products that you plan on importing into the. Your hs codes determine your compliance, your admissibility, and which supply chain advantages you can capture. The harmonized tariff. Hs Tariff Code For Coffee Maker.
From www.hexnub.com
Unlock the Perfect Cup of Coffee A Guide to Coffee Grind Sizes for Yo HEXNUB Hs Tariff Code For Coffee Maker Use our simple and easy to use hs (harmonized system) and hts (harmonized tariff schedule) code lookup tool to find the tariff code for products that you plan on importing into the. Now for usa hts harmonized tariff schedule (2024 hts. Your hs codes determine your compliance, your admissibility, and which supply chain advantages you can capture. The harmonized tariff. Hs Tariff Code For Coffee Maker.
From exosodykd.blob.core.windows.net
Tariff Code For Ground Coffee at Scott Cole blog Hs Tariff Code For Coffee Maker Your hs codes determine your compliance, your admissibility, and which supply chain advantages you can capture. Now for usa hts harmonized tariff schedule (2024 hts. Use our simple and easy to use hs (harmonized system) and hts (harmonized tariff schedule) code lookup tool to find the tariff code for products that you plan on importing into the. The harmonized tariff. Hs Tariff Code For Coffee Maker.
From starshipit.com
HS code guide Introduction to HS codes Starshipit Hs Tariff Code For Coffee Maker Use our simple and easy to use hs (harmonized system) and hts (harmonized tariff schedule) code lookup tool to find the tariff code for products that you plan on importing into the. Now for usa hts harmonized tariff schedule (2024 hts. Your hs codes determine your compliance, your admissibility, and which supply chain advantages you can capture. The harmonized tariff. Hs Tariff Code For Coffee Maker.
From www.techradar.com
How to descale a Keurig coffee maker TechRadar Hs Tariff Code For Coffee Maker Now for usa hts harmonized tariff schedule (2024 hts. Use our simple and easy to use hs (harmonized system) and hts (harmonized tariff schedule) code lookup tool to find the tariff code for products that you plan on importing into the. Your hs codes determine your compliance, your admissibility, and which supply chain advantages you can capture. The harmonized tariff. Hs Tariff Code For Coffee Maker.
From exosodykd.blob.core.windows.net
Tariff Code For Ground Coffee at Scott Cole blog Hs Tariff Code For Coffee Maker Use our simple and easy to use hs (harmonized system) and hts (harmonized tariff schedule) code lookup tool to find the tariff code for products that you plan on importing into the. Now for usa hts harmonized tariff schedule (2024 hts. The harmonized tariff schedule of the united states (hts) sets out the tariff rates and statistical categories for all. Hs Tariff Code For Coffee Maker.
From giocirsmu.blob.core.windows.net
Coffee Vending Machine Hs Code at Faith Harris blog Hs Tariff Code For Coffee Maker Use our simple and easy to use hs (harmonized system) and hts (harmonized tariff schedule) code lookup tool to find the tariff code for products that you plan on importing into the. The harmonized tariff schedule of the united states (hts) sets out the tariff rates and statistical categories for all merchandise. Your hs codes determine your compliance, your admissibility,. Hs Tariff Code For Coffee Maker.
From www.dhl.com
5 Basics of HSN & HS Code For International Shipping DHL Express MY Hs Tariff Code For Coffee Maker Your hs codes determine your compliance, your admissibility, and which supply chain advantages you can capture. Use our simple and easy to use hs (harmonized system) and hts (harmonized tariff schedule) code lookup tool to find the tariff code for products that you plan on importing into the. Now for usa hts harmonized tariff schedule (2024 hts. The harmonized tariff. Hs Tariff Code For Coffee Maker.
From pakistancustoms.net
How to Find HS Code for Export or Import Products (Verified and Tested) Hs Tariff Code For Coffee Maker Use our simple and easy to use hs (harmonized system) and hts (harmonized tariff schedule) code lookup tool to find the tariff code for products that you plan on importing into the. The harmonized tariff schedule of the united states (hts) sets out the tariff rates and statistical categories for all merchandise. Now for usa hts harmonized tariff schedule (2024. Hs Tariff Code For Coffee Maker.
From tradeimex.in
Complete Guide on Understanding HS Codes for your Goods TradeImeX Blog Global Trade market Hs Tariff Code For Coffee Maker Your hs codes determine your compliance, your admissibility, and which supply chain advantages you can capture. Use our simple and easy to use hs (harmonized system) and hts (harmonized tariff schedule) code lookup tool to find the tariff code for products that you plan on importing into the. The harmonized tariff schedule of the united states (hts) sets out the. Hs Tariff Code For Coffee Maker.