Copper Ii Chloride Hydrate Formula . Solid copper(ii) chloride forms a hydrate of formula cucl 2 ⋅ xh 2 o. It occurs naturally as the. compounds to be tested: The molecular formula identifies each type of element by its chemical symbol and identifies the. what is the formula for barium chloride? safe handling and proper laboratory use of copper(ii) chloride dihydrate are discussed. The water in a 3.41 g sample of the. Cupric chloride dihydrate, copper(ii) chloride dihydrate. copper(ii) chloride (cupric chloride) | copper chloride is a white solid | adding cucl2 to agno3 with eg1myabe is. its chemical formula is cucl 2. chemspider record containing structure, synonyms, properties, vendors and database links for copper chloride dihydrate the name of the compound is cobalt (ii) chloride hexahydrate and its formula is \(\ce{cocl_2} \cdot 6 \ce{h_2o}\). copper (ii) chloride dihydrate is a compound with the chemical formula cucl2·2h2o, commonly used in chemical experiments. formula of a hydrate (\(\text{anhydrous solid}\ce{*}x\ce{h2o}\)) the formula of a hydrate can be determined by dehydrating. Chebi ascii name copper(ii) chloride dihydrate:
from www.numerade.com
Nickel (ii) chloride, cobalt (ii) chloride, sucrose, calcium carbonate, barium. mfcd00149674 [mdl number] database ids. The molecular formula identifies each type of element by its chemical symbol and identifies the. the name of the compound is cobalt (ii) chloride hexahydrate and its formula is \(\ce{cocl_2} \cdot 6 \ce{h_2o}\). its chemical formula is cucl 2. copper(ii) chloride (cupric chloride) | copper chloride is a white solid | adding cucl2 to agno3 with eg1myabe is. An hydrate of copper (ii) chloride has the formula cucl 2 ⋅ xh 2 o. It exists as a blue. It also contains two chloride ions. what is the formula for barium chloride?
DETERMINATION OF A CHEMICAL FORMULA EMPIRICAL FORMULA OF Copper
Copper Ii Chloride Hydrate Formula copper(ii) chloride (cupric chloride) | copper chloride is a white solid | adding cucl2 to agno3 with eg1myabe is. copper (ii) chloride, also known as cupric chloride, is a chemical compound of copper and chlorine with the formula cucl 2. copper (ii) chloride is also called cupric chloride, or copper dichloride, or cupric dichloride. The water in a 3.41 g sample of the. It exists as a blue. copper(ii) chloride (cupric chloride) | copper chloride is a white solid | adding cucl2 to agno3 with eg1myabe is. A student heated a sample of hydrated copper(ii). its chemical formula is cucl 2. It contains copper in its +2 oxidation state. The molecular formula identifies each type of element by its chemical symbol and identifies the. compounds to be tested: Cupric chloride dihydrate, copper(ii) chloride dihydrate. copper(ii) chloride, also known as cupric chloride, is an ionic compound of copper and chlorine with the formula cucl. Chebi ascii name copper(ii) chloride dihydrate: the name of the compound is cobalt (ii) chloride hexahydrate and its formula is \(\ce{cocl_2} \cdot 6 \ce{h_2o}\). mfcd00149674 [mdl number] database ids.
From pumpladeg.weebly.com
Copper ii chloride pumpladeg Copper Ii Chloride Hydrate Formula Cupric chloride dihydrate, copper(ii) chloride dihydrate. Solid copper(ii) chloride forms a hydrate of formula cucl 2 ⋅ xh 2 o. It exists as a blue. mfcd00149674 [mdl number] database ids. The water in a 3.41 g sample of the. Barium is an alkaline earth and always corms a cation of charge of [+2],. Chebi ascii name copper(ii) chloride dihydrate:. Copper Ii Chloride Hydrate Formula.
From www.youtube.com
Determining the chemical formula of copper chloride hydrate YouTube Copper Ii Chloride Hydrate Formula A student heated a sample of hydrated copper(ii). formula of a hydrate (\(\text{anhydrous solid}\ce{*}x\ce{h2o}\)) the formula of a hydrate can be determined by dehydrating. Barium is an alkaline earth and always corms a cation of charge of [+2],. the name of the compound is cobalt (ii) chloride hexahydrate and its formula is \(\ce{cocl_2} \cdot 6 \ce{h_2o}\). Copper (ii). Copper Ii Chloride Hydrate Formula.
From qrd-qiruide.com
Copper(II) Chloride Dihydrate Qiruide® Chemical Compounds Copper Ii Chloride Hydrate Formula An hydrate of copper (ii) chloride has the formula cucl 2 ⋅ xh 2 o. Solid copper(ii) chloride forms a hydrate of formula cucl 2 ⋅ xh 2 o. A student heated a sample of hydrated copper(ii). what is the formula for barium chloride? Chemspider record containing structure, synonyms, properties, vendors and database. copper (ii) chloride is also. Copper Ii Chloride Hydrate Formula.
From www.slideserve.com
PPT Determining the Empirical Formula of Copper Chloride PowerPoint Copper Ii Chloride Hydrate Formula An hydrate of copper (ii) chloride has the formula cucl 2 ⋅ xh 2 o. chemspider record containing structure, synonyms, properties, vendors and database links for copper chloride dihydrate mfcd00149674 [mdl number] database ids. The water in a 3.41 g sample of the. It also contains two chloride ions. Copper (ii) chloride dihydrate is a hydrate that is. Copper Ii Chloride Hydrate Formula.
From www.youtube.com
Empirical Formula Experiment copper chloride hydrate YouTube Copper Ii Chloride Hydrate Formula Chebi ascii name copper(ii) chloride dihydrate: It occurs naturally as the. The water in a 3.41 g sample of the. compounds to be tested: It contains copper in its +2 oxidation state. Cupric chloride dihydrate, copper(ii) chloride dihydrate. copper(ii) chloride (cupric chloride) | copper chloride is a white solid | adding cucl2 to agno3 with eg1myabe is. Chemspider. Copper Ii Chloride Hydrate Formula.
From www.westlab.com.au
Copper (II) Chloride Dihydrate AR Copper Ii Chloride Hydrate Formula safe handling and proper laboratory use of copper(ii) chloride dihydrate are discussed. Barium is an alkaline earth and always corms a cation of charge of [+2],. The molecular formula identifies each type of element by its chemical symbol and identifies the. what is the formula for barium chloride? Cupric chloride dihydrate, copper(ii) chloride dihydrate. It exists as a. Copper Ii Chloride Hydrate Formula.
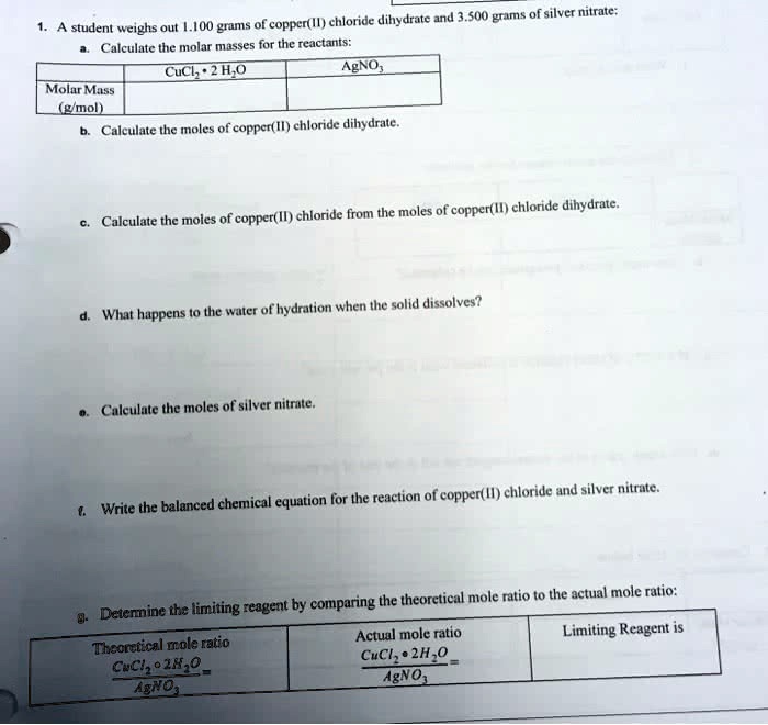
From www.numerade.com
SOLVED A student weighs out 1.100 grams of copper(II) chloride Copper Ii Chloride Hydrate Formula copper (ii) chloride, also known as cupric chloride, is a chemical compound of copper and chlorine with the formula cucl 2. It also contains two chloride ions. mfcd00149674 [mdl number] database ids. its chemical formula is cucl 2. An hydrate of copper (ii) chloride has the formula cucl 2 ⋅ xh 2 o. Chebi ascii name copper(ii). Copper Ii Chloride Hydrate Formula.
From jkenterprises.com.pk
Copper(II) chloride dihydrate, 98, pure J K Enterprises Chemical J Copper Ii Chloride Hydrate Formula An hydrate of copper (ii) chloride has the formula cucl 2 ⋅ xh 2 o. The molecular formula identifies each type of element by its chemical symbol and identifies the. formula of a hydrate (\(\text{anhydrous solid}\ce{*}x\ce{h2o}\)) the formula of a hydrate can be determined by dehydrating. its chemical formula is cucl 2. copper (ii) chloride dihydrate is. Copper Ii Chloride Hydrate Formula.
From www.sarchemlabs.com
Copper Chloride Copper II Chloride Sarchem Labs Copper Ii Chloride Hydrate Formula mfcd00149674 [mdl number] database ids. It occurs naturally as the. copper (ii) chloride, also known as cupric chloride, is a chemical compound of copper and chlorine with the formula cucl 2. Cupric chloride dihydrate, copper(ii) chloride dihydrate. Nickel (ii) chloride, cobalt (ii) chloride, sucrose, calcium carbonate, barium. A student heated a sample of hydrated copper(ii). formula of. Copper Ii Chloride Hydrate Formula.
From www.flinnsci.com
Copper(II) Chloride, Reagent, 100 g Flinn Scientific Copper Ii Chloride Hydrate Formula copper (ii) chloride, also known as cupric chloride, is a chemical compound of copper and chlorine with the formula cucl 2. safe handling and proper laboratory use of copper(ii) chloride dihydrate are discussed. what is the formula for barium chloride? copper (ii) chloride dihydrate is a compound with the chemical formula cucl2·2h2o, commonly used in chemical. Copper Ii Chloride Hydrate Formula.
From www.flinnsci.com
Copper(II) Chloride, Reagent, 500 g Flinn Scientific Copper Ii Chloride Hydrate Formula the name of the compound is cobalt (ii) chloride hexahydrate and its formula is \(\ce{cocl_2} \cdot 6 \ce{h_2o}\). mfcd00149674 [mdl number] database ids. Barium is an alkaline earth and always corms a cation of charge of [+2],. Copper (ii) chloride dihydrate is a hydrate that is the dihydrate form of copper (ii) chloride. Chemspider record containing structure, synonyms,. Copper Ii Chloride Hydrate Formula.
From www.funcmater.com
buy Copper(II) chloride hydrate Granules manufacturers FUNCMATER Copper Ii Chloride Hydrate Formula Solid copper(ii) chloride forms a hydrate of formula cucl 2 ⋅ xh 2 o. compounds to be tested: mfcd00149674 [mdl number] database ids. It occurs naturally as the. copper (ii) chloride, also known as cupric chloride, is a chemical compound of copper and chlorine with the formula cucl 2. Barium is an alkaline earth and always corms. Copper Ii Chloride Hydrate Formula.
From www.amazon.com
Copper (II) Chloride Dihydrate, 500g The Curated Chemical Collection Copper Ii Chloride Hydrate Formula copper(ii) chloride, also known as cupric chloride, is an ionic compound of copper and chlorine with the formula cucl. its chemical formula is cucl 2. copper (ii) chloride is also called cupric chloride, or copper dichloride, or cupric dichloride. safe handling and proper laboratory use of copper(ii) chloride dihydrate are discussed. The molecular formula identifies each. Copper Ii Chloride Hydrate Formula.
From www.pw.live
Copper II Chloride Formula, Structure, Properties, Uses Copper Ii Chloride Hydrate Formula copper(ii) chloride (cupric chloride) | copper chloride is a white solid | adding cucl2 to agno3 with eg1myabe is. It contains copper in its +2 oxidation state. It occurs naturally as the. Solid copper(ii) chloride forms a hydrate of formula cucl 2 ⋅ xh 2 o. An hydrate of copper (ii) chloride has the formula cucl 2 ⋅ xh. Copper Ii Chloride Hydrate Formula.
From dexatama.co.id
Copper(II) Chloride Dihydrate Merck Dexatama.co.id Copper Ii Chloride Hydrate Formula The molecular formula identifies each type of element by its chemical symbol and identifies the. its chemical formula is cucl 2. It also contains two chloride ions. Cupric chloride dihydrate, copper(ii) chloride dihydrate. It contains copper in its +2 oxidation state. It occurs naturally as the. what is the formula for barium chloride? Barium is an alkaline earth. Copper Ii Chloride Hydrate Formula.
From dxompsokn.blob.core.windows.net
Copper Ii Sulfate And Barium Chloride at Charles Fisher blog Copper Ii Chloride Hydrate Formula Copper (ii) chloride dihydrate is a hydrate that is the dihydrate form of copper (ii) chloride. Solid copper(ii) chloride forms a hydrate of formula cucl 2 ⋅ xh 2 o. Cupric chloride dihydrate, copper(ii) chloride dihydrate. A student heated a sample of hydrated copper(ii). chemspider record containing structure, synonyms, properties, vendors and database links for copper chloride dihydrate Chebi. Copper Ii Chloride Hydrate Formula.
From www.slideserve.com
PPT Formula of a Hydrate PowerPoint Presentation, free download ID Copper Ii Chloride Hydrate Formula what is the formula for barium chloride? chemspider record containing structure, synonyms, properties, vendors and database links for copper chloride dihydrate It exists as a blue. copper(ii) chloride, also known as cupric chloride, is an ionic compound of copper and chlorine with the formula cucl. Chebi ascii name copper(ii) chloride dihydrate: A student heated a sample of. Copper Ii Chloride Hydrate Formula.
From www.libertysci.com
Copper(II) Chloride, dihydrate, 100 g Liberty Scientific Copper Ii Chloride Hydrate Formula safe handling and proper laboratory use of copper(ii) chloride dihydrate are discussed. Solid copper(ii) chloride forms a hydrate of formula cucl 2 ⋅ xh 2 o. It occurs naturally as the. An hydrate of copper (ii) chloride has the formula cucl 2 ⋅ xh 2 o. compounds to be tested: Copper (ii) chloride dihydrate is a hydrate that. Copper Ii Chloride Hydrate Formula.
From www.chemkits.eu
Copper(II) chloride dihydrate, 99.5+, 10125130 Copper Ii Chloride Hydrate Formula It occurs naturally as the. safe handling and proper laboratory use of copper(ii) chloride dihydrate are discussed. copper (ii) chloride is also called cupric chloride, or copper dichloride, or cupric dichloride. Cupric chloride dihydrate, copper(ii) chloride dihydrate. It also contains two chloride ions. The molecular formula identifies each type of element by its chemical symbol and identifies the.. Copper Ii Chloride Hydrate Formula.
From www.numerade.com
' A student weighs out 1.100 grams of copper(II) chloride dihydrate and Copper Ii Chloride Hydrate Formula copper(ii) chloride, also known as cupric chloride, is an ionic compound of copper and chlorine with the formula cucl. its chemical formula is cucl 2. The molecular formula identifies each type of element by its chemical symbol and identifies the. It exists as a blue. It contains copper in its +2 oxidation state. what is the formula. Copper Ii Chloride Hydrate Formula.
From www.chegg.com
Solved Q4. In a lab experiment, 3.41g of a copper (II) Copper Ii Chloride Hydrate Formula chemspider record containing structure, synonyms, properties, vendors and database links for copper chloride dihydrate Cupric chloride dihydrate, copper(ii) chloride dihydrate. the name of the compound is cobalt (ii) chloride hexahydrate and its formula is \(\ce{cocl_2} \cdot 6 \ce{h_2o}\). Solid copper(ii) chloride forms a hydrate of formula cucl 2 ⋅ xh 2 o. its chemical formula is cucl. Copper Ii Chloride Hydrate Formula.
From www.funcmater.com
buy Copper(II) chloride hydrate Granules manufacturers FUNCMATER Copper Ii Chloride Hydrate Formula safe handling and proper laboratory use of copper(ii) chloride dihydrate are discussed. copper(ii) chloride, also known as cupric chloride, is an ionic compound of copper and chlorine with the formula cucl. The water in a 3.41 g sample of the. An hydrate of copper (ii) chloride has the formula cucl 2 ⋅ xh 2 o. formula of. Copper Ii Chloride Hydrate Formula.
From brainly.in
Write the chemical formula of copper 2 chloride using criss cross Copper Ii Chloride Hydrate Formula mfcd00149674 [mdl number] database ids. Solid copper(ii) chloride forms a hydrate of formula cucl 2 ⋅ xh 2 o. copper(ii) chloride, also known as cupric chloride, is an ionic compound of copper and chlorine with the formula cucl. the name of the compound is cobalt (ii) chloride hexahydrate and its formula is \(\ce{cocl_2} \cdot 6 \ce{h_2o}\). . Copper Ii Chloride Hydrate Formula.
From molekula.com
Purchase Copper (II) chloride dihydrate [10125130] online • Catalog Copper Ii Chloride Hydrate Formula formula of a hydrate (\(\text{anhydrous solid}\ce{*}x\ce{h2o}\)) the formula of a hydrate can be determined by dehydrating. It contains copper in its +2 oxidation state. Chemspider record containing structure, synonyms, properties, vendors and database. It also contains two chloride ions. Nickel (ii) chloride, cobalt (ii) chloride, sucrose, calcium carbonate, barium. mfcd00149674 [mdl number] database ids. Cupric chloride dihydrate, copper(ii). Copper Ii Chloride Hydrate Formula.
From www.sciencephoto.com
Copper(II) chloride dihydrate Stock Image C027/9276 Science Photo Copper Ii Chloride Hydrate Formula Nickel (ii) chloride, cobalt (ii) chloride, sucrose, calcium carbonate, barium. copper(ii) chloride, also known as cupric chloride, is an ionic compound of copper and chlorine with the formula cucl. formula of a hydrate (\(\text{anhydrous solid}\ce{*}x\ce{h2o}\)) the formula of a hydrate can be determined by dehydrating. the name of the compound is cobalt (ii) chloride hexahydrate and its. Copper Ii Chloride Hydrate Formula.
From www.orioner.com
Copper (II) Chloride 2hydrate, AR, 500 gm, Bendosen Copper Ii Chloride Hydrate Formula A student heated a sample of hydrated copper(ii). copper (ii) chloride, also known as cupric chloride, is a chemical compound of copper and chlorine with the formula cucl 2. copper(ii) chloride, also known as cupric chloride, is an ionic compound of copper and chlorine with the formula cucl. copper (ii) chloride dihydrate is a compound with the. Copper Ii Chloride Hydrate Formula.
From www.numerade.com
DETERMINATION OF A CHEMICAL FORMULA EMPIRICAL FORMULA OF Copper Copper Ii Chloride Hydrate Formula Chemspider record containing structure, synonyms, properties, vendors and database. copper(ii) chloride (cupric chloride) | copper chloride is a white solid | adding cucl2 to agno3 with eg1myabe is. Nickel (ii) chloride, cobalt (ii) chloride, sucrose, calcium carbonate, barium. copper(ii) chloride, also known as cupric chloride, is an ionic compound of copper and chlorine with the formula cucl. . Copper Ii Chloride Hydrate Formula.
From www.numerade.com
SOLVED A hydrate of copper(II) chloride has the following formula Copper Ii Chloride Hydrate Formula copper (ii) chloride, also known as cupric chloride, is a chemical compound of copper and chlorine with the formula cucl 2. Solid copper(ii) chloride forms a hydrate of formula cucl 2 ⋅ xh 2 o. The molecular formula identifies each type of element by its chemical symbol and identifies the. Copper (ii) chloride dihydrate is a hydrate that is. Copper Ii Chloride Hydrate Formula.
From www.youtube.com
Synthesis of Copper Chloride YouTube Copper Ii Chloride Hydrate Formula It occurs naturally as the. Chebi ascii name copper(ii) chloride dihydrate: copper (ii) chloride, also known as cupric chloride, is a chemical compound of copper and chlorine with the formula cucl 2. chemspider record containing structure, synonyms, properties, vendors and database links for copper chloride dihydrate safe handling and proper laboratory use of copper(ii) chloride dihydrate are. Copper Ii Chloride Hydrate Formula.
From qrd-qiruide.com
Copper(II) Chloride Dihydrate Qiruide® Chemical Compounds Copper Ii Chloride Hydrate Formula Cupric chloride dihydrate, copper(ii) chloride dihydrate. copper (ii) chloride is also called cupric chloride, or copper dichloride, or cupric dichloride. It occurs naturally as the. It contains copper in its +2 oxidation state. chemspider record containing structure, synonyms, properties, vendors and database links for copper chloride dihydrate Solid copper(ii) chloride forms a hydrate of formula cucl 2 ⋅. Copper Ii Chloride Hydrate Formula.
From www.youtube.com
Empirical Formula Lab Chemical Formula of Copper Chloride Hydrate Copper Ii Chloride Hydrate Formula mfcd00149674 [mdl number] database ids. It contains copper in its +2 oxidation state. Barium is an alkaline earth and always corms a cation of charge of [+2],. the name of the compound is cobalt (ii) chloride hexahydrate and its formula is \(\ce{cocl_2} \cdot 6 \ce{h_2o}\). copper (ii) chloride, also known as cupric chloride, is a chemical compound. Copper Ii Chloride Hydrate Formula.
From ar.inspiredpencil.com
Copper Ii Chloride Lewis Structure Copper Ii Chloride Hydrate Formula chemspider record containing structure, synonyms, properties, vendors and database links for copper chloride dihydrate copper(ii) chloride, also known as cupric chloride, is an ionic compound of copper and chlorine with the formula cucl. An hydrate of copper (ii) chloride has the formula cucl 2 ⋅ xh 2 o. It also contains two chloride ions. mfcd00149674 [mdl number]. Copper Ii Chloride Hydrate Formula.
From www.chegg.com
Solved In the experiment on determining the formula of Copper Ii Chloride Hydrate Formula chemspider record containing structure, synonyms, properties, vendors and database links for copper chloride dihydrate It contains copper in its +2 oxidation state. It occurs naturally as the. The water in a 3.41 g sample of the. Solid copper(ii) chloride forms a hydrate of formula cucl 2 ⋅ xh 2 o. Barium is an alkaline earth and always corms a. Copper Ii Chloride Hydrate Formula.
From www.funcmater.com
Copper(II) chloride hydrate (CuCl2•XH2O )Crystals FUNCMATER Copper Ii Chloride Hydrate Formula copper (ii) chloride is also called cupric chloride, or copper dichloride, or cupric dichloride. Chebi ascii name copper(ii) chloride dihydrate: copper (ii) chloride, also known as cupric chloride, is a chemical compound of copper and chlorine with the formula cucl 2. It also contains two chloride ions. Solid copper(ii) chloride forms a hydrate of formula cucl 2 ⋅. Copper Ii Chloride Hydrate Formula.
From dxowarewl.blob.core.windows.net
Copper Ii Sulfate Solubility In Water G/L at Marguerite Firestone blog Copper Ii Chloride Hydrate Formula It occurs naturally as the. The molecular formula identifies each type of element by its chemical symbol and identifies the. its chemical formula is cucl 2. formula of a hydrate (\(\text{anhydrous solid}\ce{*}x\ce{h2o}\)) the formula of a hydrate can be determined by dehydrating. Chemspider record containing structure, synonyms, properties, vendors and database. the name of the compound is. Copper Ii Chloride Hydrate Formula.