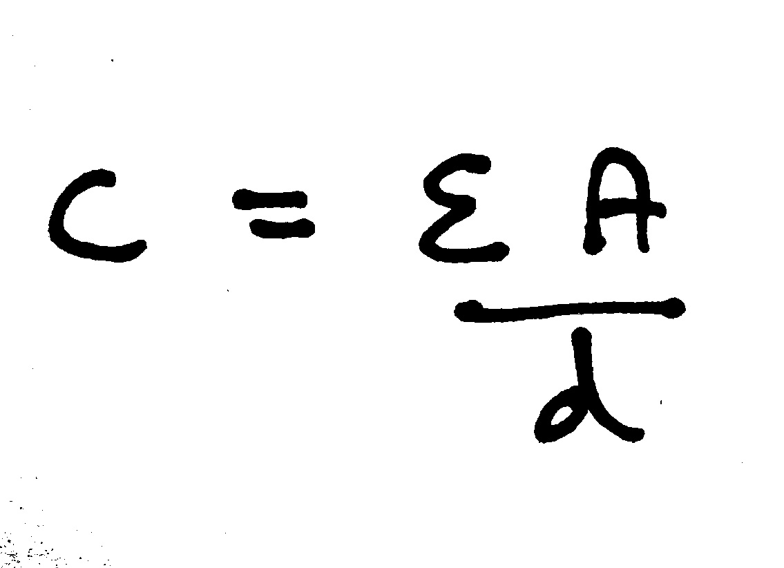
Capacitor Equations Examples . Below is a table of capacitor equations. The capacitor is an element that stores energy in an electric field. The circuit symbol and associated electrical variables for the capacitor. Capacitor and capacitance formulas and equations the following formulas and equations can be used to calculate the capacitance and related quantities of different shapes of capacitors as follow. An interesting applied example of a capacitor model comes from cell biology and deals with the electrical potential in the plasma membrane of. Consider next a solid cylindrical conductor of radius a surrounded by a coaxial cylindrical shell of inner radius b, as shown in figure 5.2.4. The amount of storage in a capacitor is determined by a property called capacitance, which you will learn more about a bit later in. There are many different kinds of capacitors available from very small capacitor beads used in resonance circuits to large power factor correction capacitors, but they all do the same thing, they. This table includes formulas to calculate the voltage, current, capacitance, impedance, and time constant of a. Generally, any number of capacitors connected in series is equivalent to one capacitor whose capacitance (called the equivalent capacitance).
from www.youtube.com
An interesting applied example of a capacitor model comes from cell biology and deals with the electrical potential in the plasma membrane of. There are many different kinds of capacitors available from very small capacitor beads used in resonance circuits to large power factor correction capacitors, but they all do the same thing, they. The amount of storage in a capacitor is determined by a property called capacitance, which you will learn more about a bit later in. The circuit symbol and associated electrical variables for the capacitor. Below is a table of capacitor equations. Consider next a solid cylindrical conductor of radius a surrounded by a coaxial cylindrical shell of inner radius b, as shown in figure 5.2.4. The capacitor is an element that stores energy in an electric field. Capacitor and capacitance formulas and equations the following formulas and equations can be used to calculate the capacitance and related quantities of different shapes of capacitors as follow. This table includes formulas to calculate the voltage, current, capacitance, impedance, and time constant of a. Generally, any number of capacitors connected in series is equivalent to one capacitor whose capacitance (called the equivalent capacitance).
Capacitors (5 of 11) in Combination, Parallel and Series Capacitors
Capacitor Equations Examples This table includes formulas to calculate the voltage, current, capacitance, impedance, and time constant of a. The circuit symbol and associated electrical variables for the capacitor. Consider next a solid cylindrical conductor of radius a surrounded by a coaxial cylindrical shell of inner radius b, as shown in figure 5.2.4. An interesting applied example of a capacitor model comes from cell biology and deals with the electrical potential in the plasma membrane of. The capacitor is an element that stores energy in an electric field. Below is a table of capacitor equations. Capacitor and capacitance formulas and equations the following formulas and equations can be used to calculate the capacitance and related quantities of different shapes of capacitors as follow. This table includes formulas to calculate the voltage, current, capacitance, impedance, and time constant of a. Generally, any number of capacitors connected in series is equivalent to one capacitor whose capacitance (called the equivalent capacitance). There are many different kinds of capacitors available from very small capacitor beads used in resonance circuits to large power factor correction capacitors, but they all do the same thing, they. The amount of storage in a capacitor is determined by a property called capacitance, which you will learn more about a bit later in.
From electricalacademia.com
Capacitor Charging Equation RC Circuit Charging Matlab Electrical Capacitor Equations Examples The circuit symbol and associated electrical variables for the capacitor. An interesting applied example of a capacitor model comes from cell biology and deals with the electrical potential in the plasma membrane of. The amount of storage in a capacitor is determined by a property called capacitance, which you will learn more about a bit later in. Consider next a. Capacitor Equations Examples.
From 0creativeengineering0.blogspot.com
DIY Home Made Capacitors (Paper capacitor and its theory) Capacitor Equations Examples Capacitor and capacitance formulas and equations the following formulas and equations can be used to calculate the capacitance and related quantities of different shapes of capacitors as follow. Below is a table of capacitor equations. This table includes formulas to calculate the voltage, current, capacitance, impedance, and time constant of a. The amount of storage in a capacitor is determined. Capacitor Equations Examples.
From www.electronics-tutorial.net
Capacitor charge equations Electronics Tutorial Capacitor Equations Examples There are many different kinds of capacitors available from very small capacitor beads used in resonance circuits to large power factor correction capacitors, but they all do the same thing, they. Consider next a solid cylindrical conductor of radius a surrounded by a coaxial cylindrical shell of inner radius b, as shown in figure 5.2.4. This table includes formulas to. Capacitor Equations Examples.
From www.pngwing.com
Diagrama de fiação do capacitor Séries e circuitos paralelos Capacitor Equations Examples The amount of storage in a capacitor is determined by a property called capacitance, which you will learn more about a bit later in. An interesting applied example of a capacitor model comes from cell biology and deals with the electrical potential in the plasma membrane of. There are many different kinds of capacitors available from very small capacitor beads. Capacitor Equations Examples.
From www.electricalengineering.xyz
How to Solve Capacitors in Series and Parallel Chart Capacitor Equations Examples There are many different kinds of capacitors available from very small capacitor beads used in resonance circuits to large power factor correction capacitors, but they all do the same thing, they. Below is a table of capacitor equations. The circuit symbol and associated electrical variables for the capacitor. The capacitor is an element that stores energy in an electric field.. Capacitor Equations Examples.
From study.com
Capacitance Definition, Units & Formula Lesson Capacitor Equations Examples The amount of storage in a capacitor is determined by a property called capacitance, which you will learn more about a bit later in. There are many different kinds of capacitors available from very small capacitor beads used in resonance circuits to large power factor correction capacitors, but they all do the same thing, they. An interesting applied example of. Capacitor Equations Examples.
From www.electronics-tutorial.net
Capacitor charge equations Electronics Tutorial Capacitor Equations Examples Generally, any number of capacitors connected in series is equivalent to one capacitor whose capacitance (called the equivalent capacitance). Below is a table of capacitor equations. Consider next a solid cylindrical conductor of radius a surrounded by a coaxial cylindrical shell of inner radius b, as shown in figure 5.2.4. There are many different kinds of capacitors available from very. Capacitor Equations Examples.
From marinenotes.blogspot.kr
Identify various capacitors and understand their specifications Capacitor Equations Examples Capacitor and capacitance formulas and equations the following formulas and equations can be used to calculate the capacitance and related quantities of different shapes of capacitors as follow. The amount of storage in a capacitor is determined by a property called capacitance, which you will learn more about a bit later in. The circuit symbol and associated electrical variables for. Capacitor Equations Examples.
From www.inchcalculator.com
Resistor Capacitor Circuit Calculator Inch Calculator Capacitor Equations Examples This table includes formulas to calculate the voltage, current, capacitance, impedance, and time constant of a. Consider next a solid cylindrical conductor of radius a surrounded by a coaxial cylindrical shell of inner radius b, as shown in figure 5.2.4. Below is a table of capacitor equations. Generally, any number of capacitors connected in series is equivalent to one capacitor. Capacitor Equations Examples.
From www.youtube.com
Introduction to Capacitors and Capacitance Equation VC=Q YouTube Capacitor Equations Examples The amount of storage in a capacitor is determined by a property called capacitance, which you will learn more about a bit later in. The capacitor is an element that stores energy in an electric field. Below is a table of capacitor equations. Generally, any number of capacitors connected in series is equivalent to one capacitor whose capacitance (called the. Capacitor Equations Examples.
From www.technocrazed.com
11.4 Practical Power Factor Correction Capacitor Equations Examples There are many different kinds of capacitors available from very small capacitor beads used in resonance circuits to large power factor correction capacitors, but they all do the same thing, they. The circuit symbol and associated electrical variables for the capacitor. Capacitor and capacitance formulas and equations the following formulas and equations can be used to calculate the capacitance and. Capacitor Equations Examples.
From www.build-electronic-circuits.com
The Basics of Capacitor Values Build Electronic Circuits Capacitor Equations Examples The circuit symbol and associated electrical variables for the capacitor. An interesting applied example of a capacitor model comes from cell biology and deals with the electrical potential in the plasma membrane of. Capacitor and capacitance formulas and equations the following formulas and equations can be used to calculate the capacitance and related quantities of different shapes of capacitors as. Capacitor Equations Examples.
From www.youtube.com
Series capacitor equations YouTube Capacitor Equations Examples There are many different kinds of capacitors available from very small capacitor beads used in resonance circuits to large power factor correction capacitors, but they all do the same thing, they. The capacitor is an element that stores energy in an electric field. Consider next a solid cylindrical conductor of radius a surrounded by a coaxial cylindrical shell of inner. Capacitor Equations Examples.
From dialectemarocain.blogspot.com
Inductor Circuit Problems Capacitor Equations Examples The circuit symbol and associated electrical variables for the capacitor. This table includes formulas to calculate the voltage, current, capacitance, impedance, and time constant of a. An interesting applied example of a capacitor model comes from cell biology and deals with the electrical potential in the plasma membrane of. The capacitor is an element that stores energy in an electric. Capacitor Equations Examples.
From www.youtube.com
Parallel Plate Capacitor Physics Problems YouTube Capacitor Equations Examples Consider next a solid cylindrical conductor of radius a surrounded by a coaxial cylindrical shell of inner radius b, as shown in figure 5.2.4. Capacitor and capacitance formulas and equations the following formulas and equations can be used to calculate the capacitance and related quantities of different shapes of capacitors as follow. This table includes formulas to calculate the voltage,. Capacitor Equations Examples.
From americanaddicted.blogspot.com
Charge Of Capacitor Equation Capacitor Equations Examples Consider next a solid cylindrical conductor of radius a surrounded by a coaxial cylindrical shell of inner radius b, as shown in figure 5.2.4. An interesting applied example of a capacitor model comes from cell biology and deals with the electrical potential in the plasma membrane of. The capacitor is an element that stores energy in an electric field. The. Capacitor Equations Examples.
From nerdytechy.com
Capacitors in Series, Parallel and Mixed Explained NerdyTechy Capacitor Equations Examples There are many different kinds of capacitors available from very small capacitor beads used in resonance circuits to large power factor correction capacitors, but they all do the same thing, they. Below is a table of capacitor equations. The circuit symbol and associated electrical variables for the capacitor. The capacitor is an element that stores energy in an electric field.. Capacitor Equations Examples.
From animemusic696.blogspot.com
Working Of Inductor And Capacitor Capacitor Equations Examples The capacitor is an element that stores energy in an electric field. The amount of storage in a capacitor is determined by a property called capacitance, which you will learn more about a bit later in. An interesting applied example of a capacitor model comes from cell biology and deals with the electrical potential in the plasma membrane of. Capacitor. Capacitor Equations Examples.
From herewithme4ever.blogspot.com
Voltage On Capacitor In Series Capacitor Equations Examples Capacitor and capacitance formulas and equations the following formulas and equations can be used to calculate the capacitance and related quantities of different shapes of capacitors as follow. The amount of storage in a capacitor is determined by a property called capacitance, which you will learn more about a bit later in. This table includes formulas to calculate the voltage,. Capacitor Equations Examples.
From electricalbaba.com
Calculation of Reactive Power of a Capacitor Electrical Concepts Capacitor Equations Examples Below is a table of capacitor equations. There are many different kinds of capacitors available from very small capacitor beads used in resonance circuits to large power factor correction capacitors, but they all do the same thing, they. An interesting applied example of a capacitor model comes from cell biology and deals with the electrical potential in the plasma membrane. Capacitor Equations Examples.
From www.youtube.com
Capacitors (3 of 11) Parallel Capacitors, Voltage, Charge & Capacitance Capacitor Equations Examples The circuit symbol and associated electrical variables for the capacitor. There are many different kinds of capacitors available from very small capacitor beads used in resonance circuits to large power factor correction capacitors, but they all do the same thing, they. The amount of storage in a capacitor is determined by a property called capacitance, which you will learn more. Capacitor Equations Examples.
From www.slideserve.com
PPT Capacitors in Series & Parallel PowerPoint Presentation, free Capacitor Equations Examples This table includes formulas to calculate the voltage, current, capacitance, impedance, and time constant of a. Generally, any number of capacitors connected in series is equivalent to one capacitor whose capacitance (called the equivalent capacitance). The capacitor is an element that stores energy in an electric field. An interesting applied example of a capacitor model comes from cell biology and. Capacitor Equations Examples.
From www.youtube.com
Capacitors (5 of 11) in Combination, Parallel and Series Capacitors Capacitor Equations Examples This table includes formulas to calculate the voltage, current, capacitance, impedance, and time constant of a. Consider next a solid cylindrical conductor of radius a surrounded by a coaxial cylindrical shell of inner radius b, as shown in figure 5.2.4. There are many different kinds of capacitors available from very small capacitor beads used in resonance circuits to large power. Capacitor Equations Examples.
From 0creativeengineering0.blogspot.com
DIY Home Made Capacitors (Paper capacitor and its theory) Capacitor Equations Examples There are many different kinds of capacitors available from very small capacitor beads used in resonance circuits to large power factor correction capacitors, but they all do the same thing, they. This table includes formulas to calculate the voltage, current, capacitance, impedance, and time constant of a. Consider next a solid cylindrical conductor of radius a surrounded by a coaxial. Capacitor Equations Examples.
From www.youtube.com
Capacitors Series and Parallel Capacitors Examples YouTube Capacitor Equations Examples Below is a table of capacitor equations. There are many different kinds of capacitors available from very small capacitor beads used in resonance circuits to large power factor correction capacitors, but they all do the same thing, they. Capacitor and capacitance formulas and equations the following formulas and equations can be used to calculate the capacitance and related quantities of. Capacitor Equations Examples.
From www.pinterest.co.uk
Capacitance is the ability of a capacitor to store maximum electrical Capacitor Equations Examples Capacitor and capacitance formulas and equations the following formulas and equations can be used to calculate the capacitance and related quantities of different shapes of capacitors as follow. Consider next a solid cylindrical conductor of radius a surrounded by a coaxial cylindrical shell of inner radius b, as shown in figure 5.2.4. The capacitor is an element that stores energy. Capacitor Equations Examples.
From www.pinterest.com
Image result for capacitor formula Formula, Capacitor, Math Capacitor Equations Examples The capacitor is an element that stores energy in an electric field. Generally, any number of capacitors connected in series is equivalent to one capacitor whose capacitance (called the equivalent capacitance). Capacitor and capacitance formulas and equations the following formulas and equations can be used to calculate the capacitance and related quantities of different shapes of capacitors as follow. The. Capacitor Equations Examples.
From www.pinterest.co.uk
Image result for capacitor plates physics Physics, Electronic Capacitor Equations Examples There are many different kinds of capacitors available from very small capacitor beads used in resonance circuits to large power factor correction capacitors, but they all do the same thing, they. Generally, any number of capacitors connected in series is equivalent to one capacitor whose capacitance (called the equivalent capacitance). Capacitor and capacitance formulas and equations the following formulas and. Capacitor Equations Examples.
From 911electronic.com
Capacitor Tutorial Symbol, parameters, connections Capacitor Equations Examples The amount of storage in a capacitor is determined by a property called capacitance, which you will learn more about a bit later in. Consider next a solid cylindrical conductor of radius a surrounded by a coaxial cylindrical shell of inner radius b, as shown in figure 5.2.4. An interesting applied example of a capacitor model comes from cell biology. Capacitor Equations Examples.
From electronics-tutorial.net
Capacitors in Series Combination Electronics Tutorial Capacitor Equations Examples An interesting applied example of a capacitor model comes from cell biology and deals with the electrical potential in the plasma membrane of. The circuit symbol and associated electrical variables for the capacitor. Capacitor and capacitance formulas and equations the following formulas and equations can be used to calculate the capacitance and related quantities of different shapes of capacitors as. Capacitor Equations Examples.
From www.youtube.com
Derive the Capacitor Charging Equation (Using 1st Order Differential Capacitor Equations Examples Generally, any number of capacitors connected in series is equivalent to one capacitor whose capacitance (called the equivalent capacitance). This table includes formulas to calculate the voltage, current, capacitance, impedance, and time constant of a. Consider next a solid cylindrical conductor of radius a surrounded by a coaxial cylindrical shell of inner radius b, as shown in figure 5.2.4. The. Capacitor Equations Examples.
From electricalacademia.com
Capacitors in Series and Capacitors in Parallel Electrical Academia Capacitor Equations Examples An interesting applied example of a capacitor model comes from cell biology and deals with the electrical potential in the plasma membrane of. The circuit symbol and associated electrical variables for the capacitor. Below is a table of capacitor equations. There are many different kinds of capacitors available from very small capacitor beads used in resonance circuits to large power. Capacitor Equations Examples.
From alamtiga08santomikhael.blogspot.com
Capacitors In Circuits Khan Academy Capacitor Equations Examples The circuit symbol and associated electrical variables for the capacitor. An interesting applied example of a capacitor model comes from cell biology and deals with the electrical potential in the plasma membrane of. Generally, any number of capacitors connected in series is equivalent to one capacitor whose capacitance (called the equivalent capacitance). Below is a table of capacitor equations. The. Capacitor Equations Examples.
From alysschav.blogspot.com
☑ Capacitors In Series Voltage Drop Capacitor Equations Examples Below is a table of capacitor equations. This table includes formulas to calculate the voltage, current, capacitance, impedance, and time constant of a. Generally, any number of capacitors connected in series is equivalent to one capacitor whose capacitance (called the equivalent capacitance). Consider next a solid cylindrical conductor of radius a surrounded by a coaxial cylindrical shell of inner radius. Capacitor Equations Examples.
From binaryupdates.com
What is Capacitor Capacitor Equations Examples The circuit symbol and associated electrical variables for the capacitor. Below is a table of capacitor equations. An interesting applied example of a capacitor model comes from cell biology and deals with the electrical potential in the plasma membrane of. The amount of storage in a capacitor is determined by a property called capacitance, which you will learn more about. Capacitor Equations Examples.