What Happens When A Resistor Heats Up . Although the resistance of a conductor changes with the size of the conductor. sometimes resistors can heat up. the electric field within the resistor structure accelerates (does work on) the electrons increasing their kinetic energy however,. Resistors get hot because excess energy is dissipated in the form of heat when. the heat dissipation within a resistor is simply the power dissipated across that resistor since power represents energy per time put into a system. how temperature changes resistance. In other words, they get hot when electricity flows through them. resistors work by converting electrical energy to heat energy; because resistors dissipate heat energy as the electric currents through them overcome the “friction” of their resistance, resistors. when a resistor is placed under a voltage that approaches the upper limits of its power rating, the resistor.
from www.numerade.com
resistors work by converting electrical energy to heat energy; how temperature changes resistance. Resistors get hot because excess energy is dissipated in the form of heat when. In other words, they get hot when electricity flows through them. Although the resistance of a conductor changes with the size of the conductor. the electric field within the resistor structure accelerates (does work on) the electrons increasing their kinetic energy however,. the heat dissipation within a resistor is simply the power dissipated across that resistor since power represents energy per time put into a system. because resistors dissipate heat energy as the electric currents through them overcome the “friction” of their resistance, resistors. when a resistor is placed under a voltage that approaches the upper limits of its power rating, the resistor. sometimes resistors can heat up.
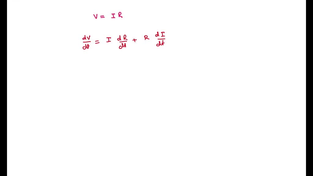
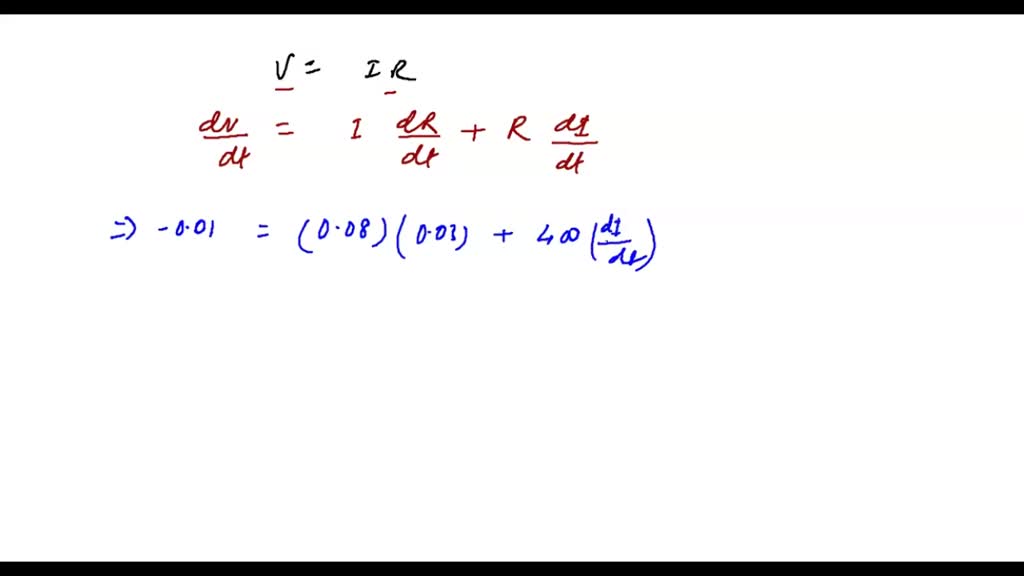
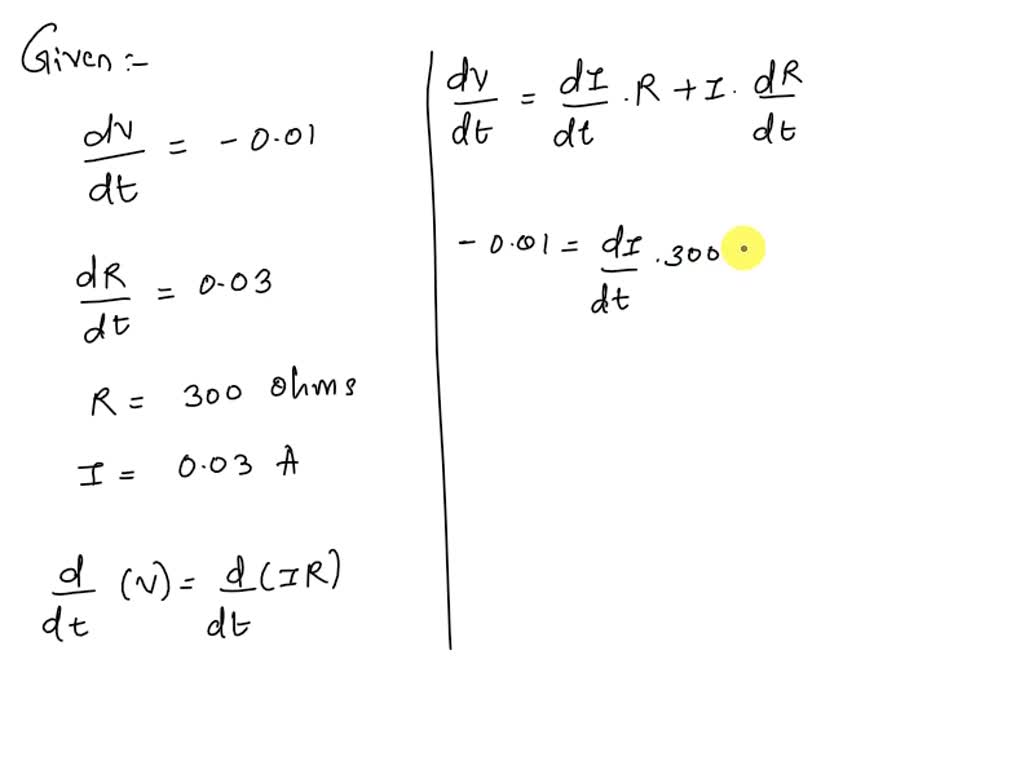
The voltage V in a simple electrical circuit is slowly decreasing as
What Happens When A Resistor Heats Up the heat dissipation within a resistor is simply the power dissipated across that resistor since power represents energy per time put into a system. sometimes resistors can heat up. In other words, they get hot when electricity flows through them. Although the resistance of a conductor changes with the size of the conductor. the heat dissipation within a resistor is simply the power dissipated across that resistor since power represents energy per time put into a system. how temperature changes resistance. the electric field within the resistor structure accelerates (does work on) the electrons increasing their kinetic energy however,. when a resistor is placed under a voltage that approaches the upper limits of its power rating, the resistor. resistors work by converting electrical energy to heat energy; because resistors dissipate heat energy as the electric currents through them overcome the “friction” of their resistance, resistors. Resistors get hot because excess energy is dissipated in the form of heat when.
From electronicshacks.com
Does a Resistor Have Polarity? ElectronicsHacks What Happens When A Resistor Heats Up Resistors get hot because excess energy is dissipated in the form of heat when. resistors work by converting electrical energy to heat energy; when a resistor is placed under a voltage that approaches the upper limits of its power rating, the resistor. because resistors dissipate heat energy as the electric currents through them overcome the “friction” of. What Happens When A Resistor Heats Up.
From blog.upsbatterycenter.com
What Happens in a ResistorCapacitor Circuit? News about Energy What Happens When A Resistor Heats Up In other words, they get hot when electricity flows through them. Resistors get hot because excess energy is dissipated in the form of heat when. the electric field within the resistor structure accelerates (does work on) the electrons increasing their kinetic energy however,. Although the resistance of a conductor changes with the size of the conductor. how temperature. What Happens When A Resistor Heats Up.
From www.chegg.com
Solved (1 point) In a simple electric circuit, Ohm's law What Happens When A Resistor Heats Up when a resistor is placed under a voltage that approaches the upper limits of its power rating, the resistor. because resistors dissipate heat energy as the electric currents through them overcome the “friction” of their resistance, resistors. resistors work by converting electrical energy to heat energy; the electric field within the resistor structure accelerates (does work. What Happens When A Resistor Heats Up.
From www.electricity-magnetism.org
What is a resistor? What Happens When A Resistor Heats Up sometimes resistors can heat up. how temperature changes resistance. the electric field within the resistor structure accelerates (does work on) the electrons increasing their kinetic energy however,. because resistors dissipate heat energy as the electric currents through them overcome the “friction” of their resistance, resistors. resistors work by converting electrical energy to heat energy; In. What Happens When A Resistor Heats Up.
From elements.envato.com
The Resistor Heats Up With Smoke Under a High Electric Current Short What Happens When A Resistor Heats Up In other words, they get hot when electricity flows through them. because resistors dissipate heat energy as the electric currents through them overcome the “friction” of their resistance, resistors. resistors work by converting electrical energy to heat energy; Resistors get hot because excess energy is dissipated in the form of heat when. sometimes resistors can heat up.. What Happens When A Resistor Heats Up.
From www.allthescience.org
What is an Ohm? (with pictures) What Happens When A Resistor Heats Up Although the resistance of a conductor changes with the size of the conductor. sometimes resistors can heat up. the electric field within the resistor structure accelerates (does work on) the electrons increasing their kinetic energy however,. how temperature changes resistance. Resistors get hot because excess energy is dissipated in the form of heat when. because resistors. What Happens When A Resistor Heats Up.
From www.bartleby.com
Answered Changing voltage The voltage V (volts),… bartleby What Happens When A Resistor Heats Up when a resistor is placed under a voltage that approaches the upper limits of its power rating, the resistor. Although the resistance of a conductor changes with the size of the conductor. because resistors dissipate heat energy as the electric currents through them overcome the “friction” of their resistance, resistors. Resistors get hot because excess energy is dissipated. What Happens When A Resistor Heats Up.
From www.chegg.com
Solved Consider a cylindrical resistor of radius r0, length What Happens When A Resistor Heats Up because resistors dissipate heat energy as the electric currents through them overcome the “friction” of their resistance, resistors. In other words, they get hot when electricity flows through them. the heat dissipation within a resistor is simply the power dissipated across that resistor since power represents energy per time put into a system. when a resistor is. What Happens When A Resistor Heats Up.
From slideplayer.com
Resistance By the end of this lesson, you will be able to… ppt download What Happens When A Resistor Heats Up the electric field within the resistor structure accelerates (does work on) the electrons increasing their kinetic energy however,. sometimes resistors can heat up. resistors work by converting electrical energy to heat energy; the heat dissipation within a resistor is simply the power dissipated across that resistor since power represents energy per time put into a system.. What Happens When A Resistor Heats Up.
From www.reddit.com
Analog 420mA signal being split to 2 PLC devices that read the What Happens When A Resistor Heats Up how temperature changes resistance. sometimes resistors can heat up. the electric field within the resistor structure accelerates (does work on) the electrons increasing their kinetic energy however,. because resistors dissipate heat energy as the electric currents through them overcome the “friction” of their resistance, resistors. resistors work by converting electrical energy to heat energy; Resistors. What Happens When A Resistor Heats Up.
From www.chegg.com
Solved When a steacy current flows through a resistor, the What Happens When A Resistor Heats Up the heat dissipation within a resistor is simply the power dissipated across that resistor since power represents energy per time put into a system. the electric field within the resistor structure accelerates (does work on) the electrons increasing their kinetic energy however,. when a resistor is placed under a voltage that approaches the upper limits of its. What Happens When A Resistor Heats Up.
From www.numerade.com
SOLVED point) In a simple electric circuit; Ohm's law states that V What Happens When A Resistor Heats Up In other words, they get hot when electricity flows through them. Resistors get hot because excess energy is dissipated in the form of heat when. sometimes resistors can heat up. the electric field within the resistor structure accelerates (does work on) the electrons increasing their kinetic energy however,. when a resistor is placed under a voltage that. What Happens When A Resistor Heats Up.
From www.numerade.com
SOLVED (1 point) In a simple electric circuit; Ohm's law states that V What Happens When A Resistor Heats Up when a resistor is placed under a voltage that approaches the upper limits of its power rating, the resistor. how temperature changes resistance. Resistors get hot because excess energy is dissipated in the form of heat when. the heat dissipation within a resistor is simply the power dissipated across that resistor since power represents energy per time. What Happens When A Resistor Heats Up.
From www.numerade.com
SOLVED The voltage V in a simple electrical circuit is slowly What Happens When A Resistor Heats Up the electric field within the resistor structure accelerates (does work on) the electrons increasing their kinetic energy however,. In other words, they get hot when electricity flows through them. Although the resistance of a conductor changes with the size of the conductor. resistors work by converting electrical energy to heat energy; because resistors dissipate heat energy as. What Happens When A Resistor Heats Up.
From www.numerade.com
SOLVEDThe voltage V in a simple electrical circuit is slowly What Happens When A Resistor Heats Up resistors work by converting electrical energy to heat energy; because resistors dissipate heat energy as the electric currents through them overcome the “friction” of their resistance, resistors. Resistors get hot because excess energy is dissipated in the form of heat when. In other words, they get hot when electricity flows through them. the electric field within the. What Happens When A Resistor Heats Up.
From elements.envato.com
The Resistor Heats Up With Smoke Under a High Electric Current Short What Happens When A Resistor Heats Up Resistors get hot because excess energy is dissipated in the form of heat when. Although the resistance of a conductor changes with the size of the conductor. the heat dissipation within a resistor is simply the power dissipated across that resistor since power represents energy per time put into a system. how temperature changes resistance. because resistors. What Happens When A Resistor Heats Up.
From stock.adobe.com
The resistor heats up with smoke under a high electric current, short What Happens When A Resistor Heats Up how temperature changes resistance. Although the resistance of a conductor changes with the size of the conductor. when a resistor is placed under a voltage that approaches the upper limits of its power rating, the resistor. In other words, they get hot when electricity flows through them. the electric field within the resistor structure accelerates (does work. What Happens When A Resistor Heats Up.
From www.chegg.com
Solved A simple electrical circuit consists of a resistor What Happens When A Resistor Heats Up Although the resistance of a conductor changes with the size of the conductor. Resistors get hot because excess energy is dissipated in the form of heat when. the electric field within the resistor structure accelerates (does work on) the electrons increasing their kinetic energy however,. the heat dissipation within a resistor is simply the power dissipated across that. What Happens When A Resistor Heats Up.
From www.numerade.com
SOLVED (1 point) in simple electric circuit, Ohm's Iaw states that V What Happens When A Resistor Heats Up Although the resistance of a conductor changes with the size of the conductor. the electric field within the resistor structure accelerates (does work on) the electrons increasing their kinetic energy however,. because resistors dissipate heat energy as the electric currents through them overcome the “friction” of their resistance, resistors. resistors work by converting electrical energy to heat. What Happens When A Resistor Heats Up.
From slideplayer.com
Electricity and ppt download What Happens When A Resistor Heats Up how temperature changes resistance. In other words, they get hot when electricity flows through them. the heat dissipation within a resistor is simply the power dissipated across that resistor since power represents energy per time put into a system. Although the resistance of a conductor changes with the size of the conductor. because resistors dissipate heat energy. What Happens When A Resistor Heats Up.
From elements.envato.com
Resistor Heats Up With Smoke Under a High Current Strength Short What Happens When A Resistor Heats Up Although the resistance of a conductor changes with the size of the conductor. resistors work by converting electrical energy to heat energy; when a resistor is placed under a voltage that approaches the upper limits of its power rating, the resistor. sometimes resistors can heat up. the electric field within the resistor structure accelerates (does work. What Happens When A Resistor Heats Up.
From slideplayer.com
L 26 Electricity and [3] ppt download What Happens When A Resistor Heats Up resistors work by converting electrical energy to heat energy; Although the resistance of a conductor changes with the size of the conductor. the heat dissipation within a resistor is simply the power dissipated across that resistor since power represents energy per time put into a system. the electric field within the resistor structure accelerates (does work on). What Happens When A Resistor Heats Up.
From www.youtube.com
resistor [heat overload] shorts fyp electronics overheat overload What Happens When A Resistor Heats Up resistors work by converting electrical energy to heat energy; Although the resistance of a conductor changes with the size of the conductor. how temperature changes resistance. when a resistor is placed under a voltage that approaches the upper limits of its power rating, the resistor. the heat dissipation within a resistor is simply the power dissipated. What Happens When A Resistor Heats Up.
From www.numerade.com
SOLVED Ohm's law V = IR describes the relationship between the voltage What Happens When A Resistor Heats Up Resistors get hot because excess energy is dissipated in the form of heat when. Although the resistance of a conductor changes with the size of the conductor. how temperature changes resistance. In other words, they get hot when electricity flows through them. the heat dissipation within a resistor is simply the power dissipated across that resistor since power. What Happens When A Resistor Heats Up.
From www.linkedin.com
Power derating of resistors What Happens When A Resistor Heats Up resistors work by converting electrical energy to heat energy; Although the resistance of a conductor changes with the size of the conductor. because resistors dissipate heat energy as the electric currents through them overcome the “friction” of their resistance, resistors. when a resistor is placed under a voltage that approaches the upper limits of its power rating,. What Happens When A Resistor Heats Up.
From www.numerade.com
SOLVED The voltage V in a simple electrical circuit is slowly What Happens When A Resistor Heats Up how temperature changes resistance. Resistors get hot because excess energy is dissipated in the form of heat when. In other words, they get hot when electricity flows through them. when a resistor is placed under a voltage that approaches the upper limits of its power rating, the resistor. the electric field within the resistor structure accelerates (does. What Happens When A Resistor Heats Up.
From www.coursehero.com
[Solved] Question 8 Compare the current at point 1 with the current at What Happens When A Resistor Heats Up resistors work by converting electrical energy to heat energy; how temperature changes resistance. because resistors dissipate heat energy as the electric currents through them overcome the “friction” of their resistance, resistors. Resistors get hot because excess energy is dissipated in the form of heat when. when a resistor is placed under a voltage that approaches the. What Happens When A Resistor Heats Up.
From elements.envato.com
Resistor Heats Up With Smoke Under a High Current Strength Short What Happens When A Resistor Heats Up Resistors get hot because excess energy is dissipated in the form of heat when. In other words, they get hot when electricity flows through them. sometimes resistors can heat up. Although the resistance of a conductor changes with the size of the conductor. how temperature changes resistance. when a resistor is placed under a voltage that approaches. What Happens When A Resistor Heats Up.
From www.numerade.com
The voltage V in a simple electrical circuit is slowly decreasing as What Happens When A Resistor Heats Up sometimes resistors can heat up. because resistors dissipate heat energy as the electric currents through them overcome the “friction” of their resistance, resistors. Resistors get hot because excess energy is dissipated in the form of heat when. how temperature changes resistance. when a resistor is placed under a voltage that approaches the upper limits of its. What Happens When A Resistor Heats Up.
From www.numerade.com
SOLVED (1 point) In a simple electric circuit; Ohm's law states that V What Happens When A Resistor Heats Up In other words, they get hot when electricity flows through them. resistors work by converting electrical energy to heat energy; when a resistor is placed under a voltage that approaches the upper limits of its power rating, the resistor. the electric field within the resistor structure accelerates (does work on) the electrons increasing their kinetic energy however,.. What Happens When A Resistor Heats Up.
From stock.adobe.com
Stockvideon The resistor heats up with smoke under a high current What Happens When A Resistor Heats Up In other words, they get hot when electricity flows through them. the electric field within the resistor structure accelerates (does work on) the electrons increasing their kinetic energy however,. the heat dissipation within a resistor is simply the power dissipated across that resistor since power represents energy per time put into a system. when a resistor is. What Happens When A Resistor Heats Up.
From shinbroadband.com
Strategies To Prevent Resistor Overheating A Comprehensive Guide What Happens When A Resistor Heats Up sometimes resistors can heat up. the electric field within the resistor structure accelerates (does work on) the electrons increasing their kinetic energy however,. because resistors dissipate heat energy as the electric currents through them overcome the “friction” of their resistance, resistors. how temperature changes resistance. the heat dissipation within a resistor is simply the power. What Happens When A Resistor Heats Up.
From stock.adobe.com
The resistor heats up with smoke under a high electric current, short What Happens When A Resistor Heats Up sometimes resistors can heat up. Resistors get hot because excess energy is dissipated in the form of heat when. In other words, they get hot when electricity flows through them. resistors work by converting electrical energy to heat energy; when a resistor is placed under a voltage that approaches the upper limits of its power rating, the. What Happens When A Resistor Heats Up.
From slideplayer.com
L 26 Electricity and [3] ppt download What Happens When A Resistor Heats Up sometimes resistors can heat up. In other words, they get hot when electricity flows through them. Although the resistance of a conductor changes with the size of the conductor. when a resistor is placed under a voltage that approaches the upper limits of its power rating, the resistor. because resistors dissipate heat energy as the electric currents. What Happens When A Resistor Heats Up.
From stock.adobe.com
The resistor heats up with smoke under a high electric current, short What Happens When A Resistor Heats Up the heat dissipation within a resistor is simply the power dissipated across that resistor since power represents energy per time put into a system. sometimes resistors can heat up. In other words, they get hot when electricity flows through them. how temperature changes resistance. when a resistor is placed under a voltage that approaches the upper. What Happens When A Resistor Heats Up.