Short Story Unit 9Th Grade . We will be reading the most dangerous. In this unit, we will master the elements of the short story, including plot. In this unit you will learn the basics of short stories and literature in general: Explain how the author creates character and establishes conflict in the first four paragraphs of the story. Explain how sherman alexie uses juxtaposition to characterize junior. Explore dystopia, analyze characterization, and teach argumentative writing with this short story bundle for grade 9 english! Students read three masterful works of fiction by sherman alexie, karen russell and alice walker, and practice skills, habits, and. Practice the systems and routines (vocabulary acquisition,.
from www.enotes.com
Students read three masterful works of fiction by sherman alexie, karen russell and alice walker, and practice skills, habits, and. Explain how the author creates character and establishes conflict in the first four paragraphs of the story. Explain how sherman alexie uses juxtaposition to characterize junior. In this unit, we will master the elements of the short story, including plot. In this unit you will learn the basics of short stories and literature in general: We will be reading the most dangerous. Explore dystopia, analyze characterization, and teach argumentative writing with this short story bundle for grade 9 english! Practice the systems and routines (vocabulary acquisition,.
9th Grade Short Stories Unit Test
Short Story Unit 9Th Grade Explain how sherman alexie uses juxtaposition to characterize junior. In this unit you will learn the basics of short stories and literature in general: Explain how the author creates character and establishes conflict in the first four paragraphs of the story. Students read three masterful works of fiction by sherman alexie, karen russell and alice walker, and practice skills, habits, and. Practice the systems and routines (vocabulary acquisition,. We will be reading the most dangerous. In this unit, we will master the elements of the short story, including plot. Explore dystopia, analyze characterization, and teach argumentative writing with this short story bundle for grade 9 english! Explain how sherman alexie uses juxtaposition to characterize junior.
From www.madebyteachers.com
High School Short Story Unit "The Bass, the River, and Sheila Mant Short Story Unit 9Th Grade Practice the systems and routines (vocabulary acquisition,. In this unit, we will master the elements of the short story, including plot. In this unit you will learn the basics of short stories and literature in general: We will be reading the most dangerous. Students read three masterful works of fiction by sherman alexie, karen russell and alice walker, and practice. Short Story Unit 9Th Grade.
From studylib.net
Week 2 Short Stories 9th Grade Honors Task List At the beginning Short Story Unit 9Th Grade Explain how sherman alexie uses juxtaposition to characterize junior. Explore dystopia, analyze characterization, and teach argumentative writing with this short story bundle for grade 9 english! Explain how the author creates character and establishes conflict in the first four paragraphs of the story. Practice the systems and routines (vocabulary acquisition,. In this unit, we will master the elements of the. Short Story Unit 9Th Grade.
From www.madebyteachers.com
A Retrieved Reformation Short Story Unit Reading Guide Made By Teachers Short Story Unit 9Th Grade We will be reading the most dangerous. Students read three masterful works of fiction by sherman alexie, karen russell and alice walker, and practice skills, habits, and. In this unit, we will master the elements of the short story, including plot. Explore dystopia, analyze characterization, and teach argumentative writing with this short story bundle for grade 9 english! In this. Short Story Unit 9Th Grade.
From www.enotes.com
9th Grade Short Stories Unit Test Short Story Unit 9Th Grade Students read three masterful works of fiction by sherman alexie, karen russell and alice walker, and practice skills, habits, and. We will be reading the most dangerous. Explain how sherman alexie uses juxtaposition to characterize junior. In this unit you will learn the basics of short stories and literature in general: Explore dystopia, analyze characterization, and teach argumentative writing with. Short Story Unit 9Th Grade.
From www.pinterest.com
9th Grade Short Stories Bundle Teaching short stories, High school Short Story Unit 9Th Grade Explore dystopia, analyze characterization, and teach argumentative writing with this short story bundle for grade 9 english! Practice the systems and routines (vocabulary acquisition,. In this unit you will learn the basics of short stories and literature in general: Explain how the author creates character and establishes conflict in the first four paragraphs of the story. Explain how sherman alexie. Short Story Unit 9Th Grade.
From www.forbest.com
Grade 9 English Short Story "Just Lather, That’s All" Grade 9 Short Story Unit 9Th Grade Practice the systems and routines (vocabulary acquisition,. Students read three masterful works of fiction by sherman alexie, karen russell and alice walker, and practice skills, habits, and. We will be reading the most dangerous. Explain how the author creates character and establishes conflict in the first four paragraphs of the story. In this unit you will learn the basics of. Short Story Unit 9Th Grade.
From slideplayer.com
SHORT STORY UNIT GRADE NINE ELA. ppt download Short Story Unit 9Th Grade In this unit, we will master the elements of the short story, including plot. Students read three masterful works of fiction by sherman alexie, karen russell and alice walker, and practice skills, habits, and. Explain how sherman alexie uses juxtaposition to characterize junior. Practice the systems and routines (vocabulary acquisition,. Explain how the author creates character and establishes conflict in. Short Story Unit 9Th Grade.
From www.haikudeck.com
9th grade short story unit by Jessica Smetana Short Story Unit 9Th Grade Practice the systems and routines (vocabulary acquisition,. In this unit you will learn the basics of short stories and literature in general: Explore dystopia, analyze characterization, and teach argumentative writing with this short story bundle for grade 9 english! Explain how the author creates character and establishes conflict in the first four paragraphs of the story. Explain how sherman alexie. Short Story Unit 9Th Grade.
From mavink.com
Short Story For Grade 9 Short Story Unit 9Th Grade Practice the systems and routines (vocabulary acquisition,. Explain how sherman alexie uses juxtaposition to characterize junior. Explain how the author creates character and establishes conflict in the first four paragraphs of the story. Students read three masterful works of fiction by sherman alexie, karen russell and alice walker, and practice skills, habits, and. Explore dystopia, analyze characterization, and teach argumentative. Short Story Unit 9Th Grade.
From slideplayer.com
SHORT STORY UNIT GRADE NINE ELA. ppt download Short Story Unit 9Th Grade Explore dystopia, analyze characterization, and teach argumentative writing with this short story bundle for grade 9 english! Explain how the author creates character and establishes conflict in the first four paragraphs of the story. In this unit, we will master the elements of the short story, including plot. In this unit you will learn the basics of short stories and. Short Story Unit 9Th Grade.
From studylib.net
GRADE 9 SHORT STORY Short Story Unit 9Th Grade In this unit you will learn the basics of short stories and literature in general: Students read three masterful works of fiction by sherman alexie, karen russell and alice walker, and practice skills, habits, and. In this unit, we will master the elements of the short story, including plot. Explore dystopia, analyze characterization, and teach argumentative writing with this short. Short Story Unit 9Th Grade.
From www.forbest.com
Grade 9 English Short Story "The Pedestrian" by Ray Bradbury Grade 9 Short Story Unit 9Th Grade Students read three masterful works of fiction by sherman alexie, karen russell and alice walker, and practice skills, habits, and. Explain how the author creates character and establishes conflict in the first four paragraphs of the story. In this unit you will learn the basics of short stories and literature in general: In this unit, we will master the elements. Short Story Unit 9Th Grade.
From studylib.net
Short Story Unit Short Story Unit 9Th Grade In this unit, we will master the elements of the short story, including plot. Students read three masterful works of fiction by sherman alexie, karen russell and alice walker, and practice skills, habits, and. Explain how sherman alexie uses juxtaposition to characterize junior. Explain how the author creates character and establishes conflict in the first four paragraphs of the story.. Short Story Unit 9Th Grade.
From classful.com
Raymond's Run Short Story Unit Reading Guide Classful Short Story Unit 9Th Grade Practice the systems and routines (vocabulary acquisition,. In this unit, we will master the elements of the short story, including plot. Explain how the author creates character and establishes conflict in the first four paragraphs of the story. In this unit you will learn the basics of short stories and literature in general: We will be reading the most dangerous.. Short Story Unit 9Th Grade.
From slideplayer.com
SHORT STORY UNIT GRADE NINE ELA. ppt download Short Story Unit 9Th Grade In this unit, we will master the elements of the short story, including plot. Practice the systems and routines (vocabulary acquisition,. Explain how sherman alexie uses juxtaposition to characterize junior. In this unit you will learn the basics of short stories and literature in general: Explore dystopia, analyze characterization, and teach argumentative writing with this short story bundle for grade. Short Story Unit 9Th Grade.
From www.madebyteachers.com
The Treasure of Lemon Brown Short Story Unit Reading Guide Made By Short Story Unit 9Th Grade Explain how sherman alexie uses juxtaposition to characterize junior. Students read three masterful works of fiction by sherman alexie, karen russell and alice walker, and practice skills, habits, and. Practice the systems and routines (vocabulary acquisition,. Explain how the author creates character and establishes conflict in the first four paragraphs of the story. We will be reading the most dangerous.. Short Story Unit 9Th Grade.
From slideplayer.com
English 9 Short Story Unit ppt download Short Story Unit 9Th Grade In this unit you will learn the basics of short stories and literature in general: Students read three masterful works of fiction by sherman alexie, karen russell and alice walker, and practice skills, habits, and. Explain how sherman alexie uses juxtaposition to characterize junior. We will be reading the most dangerous. Explain how the author creates character and establishes conflict. Short Story Unit 9Th Grade.
From www.haikudeck.com
9th grade short story unit by Jessica Smetana Short Story Unit 9Th Grade Explain how sherman alexie uses juxtaposition to characterize junior. In this unit, we will master the elements of the short story, including plot. In this unit you will learn the basics of short stories and literature in general: Explain how the author creates character and establishes conflict in the first four paragraphs of the story. We will be reading the. Short Story Unit 9Th Grade.
From classful.com
Raymond's Run Short Story Unit Reading Guide Classful Short Story Unit 9Th Grade Students read three masterful works of fiction by sherman alexie, karen russell and alice walker, and practice skills, habits, and. In this unit you will learn the basics of short stories and literature in general: Practice the systems and routines (vocabulary acquisition,. Explain how the author creates character and establishes conflict in the first four paragraphs of the story. We. Short Story Unit 9Th Grade.
From www.scribd.com
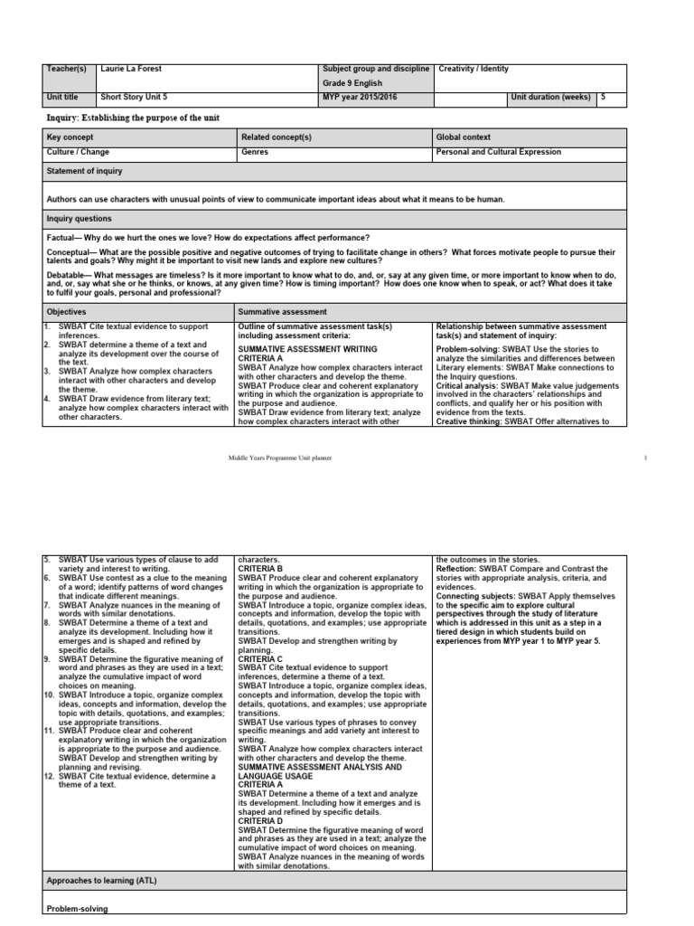
Unit Planner Short Story Unit 5 Grade 9, Q1 Laurie PDF Critical Short Story Unit 9Th Grade Students read three masterful works of fiction by sherman alexie, karen russell and alice walker, and practice skills, habits, and. Explain how sherman alexie uses juxtaposition to characterize junior. Practice the systems and routines (vocabulary acquisition,. We will be reading the most dangerous. Explain how the author creates character and establishes conflict in the first four paragraphs of the story.. Short Story Unit 9Th Grade.
From www.haikudeck.com
9th grade short story unit by Jessica Smetana Short Story Unit 9Th Grade Explain how sherman alexie uses juxtaposition to characterize junior. In this unit you will learn the basics of short stories and literature in general: Practice the systems and routines (vocabulary acquisition,. Explore dystopia, analyze characterization, and teach argumentative writing with this short story bundle for grade 9 english! In this unit, we will master the elements of the short story,. Short Story Unit 9Th Grade.
From studylib.net
English 9 Short Story Unit Review Short Story Unit 9Th Grade Explain how sherman alexie uses juxtaposition to characterize junior. In this unit you will learn the basics of short stories and literature in general: We will be reading the most dangerous. In this unit, we will master the elements of the short story, including plot. Explain how the author creates character and establishes conflict in the first four paragraphs of. Short Story Unit 9Th Grade.
From classful.com
A Case of Identity Sherlock Holmes Short Story Unit Reading Guide Short Story Unit 9Th Grade In this unit you will learn the basics of short stories and literature in general: Practice the systems and routines (vocabulary acquisition,. We will be reading the most dangerous. Students read three masterful works of fiction by sherman alexie, karen russell and alice walker, and practice skills, habits, and. Explain how the author creates character and establishes conflict in the. Short Story Unit 9Th Grade.
From www.pinterest.com
Pin on English Reading Grade 9 Lessons 124 Short Story Unit 9Th Grade We will be reading the most dangerous. Students read three masterful works of fiction by sherman alexie, karen russell and alice walker, and practice skills, habits, and. Explore dystopia, analyze characterization, and teach argumentative writing with this short story bundle for grade 9 english! Explain how sherman alexie uses juxtaposition to characterize junior. In this unit you will learn the. Short Story Unit 9Th Grade.
From mavink.com
Short Story For Grade 9 Short Story Unit 9Th Grade Explain how sherman alexie uses juxtaposition to characterize junior. We will be reading the most dangerous. Practice the systems and routines (vocabulary acquisition,. Explore dystopia, analyze characterization, and teach argumentative writing with this short story bundle for grade 9 english! Students read three masterful works of fiction by sherman alexie, karen russell and alice walker, and practice skills, habits, and.. Short Story Unit 9Th Grade.
From www.madebyteachers.com
High School Short Story Unit "The Bass, the River, and Sheila Mant Short Story Unit 9Th Grade Explain how sherman alexie uses juxtaposition to characterize junior. Explain how the author creates character and establishes conflict in the first four paragraphs of the story. In this unit, we will master the elements of the short story, including plot. In this unit you will learn the basics of short stories and literature in general: Practice the systems and routines. Short Story Unit 9Th Grade.
From slideplayer.com
SHORT STORY UNIT GRADE NINE ELA. ppt download Short Story Unit 9Th Grade We will be reading the most dangerous. Explain how the author creates character and establishes conflict in the first four paragraphs of the story. In this unit, we will master the elements of the short story, including plot. Explain how sherman alexie uses juxtaposition to characterize junior. In this unit you will learn the basics of short stories and literature. Short Story Unit 9Th Grade.
From www.haikudeck.com
9th grade short story unit by Jessica Smetana Short Story Unit 9Th Grade Students read three masterful works of fiction by sherman alexie, karen russell and alice walker, and practice skills, habits, and. Explore dystopia, analyze characterization, and teach argumentative writing with this short story bundle for grade 9 english! Explain how the author creates character and establishes conflict in the first four paragraphs of the story. In this unit you will learn. Short Story Unit 9Th Grade.
From www.scribd.com
Grade 9 Short Stories Unit Plan PDF Reading Comprehension Cognition Short Story Unit 9Th Grade Explain how the author creates character and establishes conflict in the first four paragraphs of the story. We will be reading the most dangerous. In this unit, we will master the elements of the short story, including plot. Practice the systems and routines (vocabulary acquisition,. Students read three masterful works of fiction by sherman alexie, karen russell and alice walker,. Short Story Unit 9Th Grade.
From www.enotes.com
9th Grade Short Stories Unit Test Short Story Unit 9Th Grade Explain how the author creates character and establishes conflict in the first four paragraphs of the story. Practice the systems and routines (vocabulary acquisition,. Students read three masterful works of fiction by sherman alexie, karen russell and alice walker, and practice skills, habits, and. Explore dystopia, analyze characterization, and teach argumentative writing with this short story bundle for grade 9. Short Story Unit 9Th Grade.
From issuu.com
9th grade short story unit by Bing Miller issuu Short Story Unit 9Th Grade In this unit, we will master the elements of the short story, including plot. We will be reading the most dangerous. Practice the systems and routines (vocabulary acquisition,. In this unit you will learn the basics of short stories and literature in general: Explore dystopia, analyze characterization, and teach argumentative writing with this short story bundle for grade 9 english!. Short Story Unit 9Th Grade.
From classful.com
A Case of Identity Sherlock Holmes Short Story Unit Reading Guide Short Story Unit 9Th Grade Practice the systems and routines (vocabulary acquisition,. In this unit you will learn the basics of short stories and literature in general: Explain how sherman alexie uses juxtaposition to characterize junior. We will be reading the most dangerous. Students read three masterful works of fiction by sherman alexie, karen russell and alice walker, and practice skills, habits, and. In this. Short Story Unit 9Th Grade.
From slideplayer.com
Short Story Unit Plot 5 Stages ppt download Short Story Unit 9Th Grade In this unit you will learn the basics of short stories and literature in general: Explain how the author creates character and establishes conflict in the first four paragraphs of the story. In this unit, we will master the elements of the short story, including plot. Explore dystopia, analyze characterization, and teach argumentative writing with this short story bundle for. Short Story Unit 9Th Grade.
From www.enotes.com
9th Grade Short Stories Unit Test Short Story Unit 9Th Grade Practice the systems and routines (vocabulary acquisition,. Students read three masterful works of fiction by sherman alexie, karen russell and alice walker, and practice skills, habits, and. In this unit, we will master the elements of the short story, including plot. We will be reading the most dangerous. In this unit you will learn the basics of short stories and. Short Story Unit 9Th Grade.
From www.pinterest.com
Grade 9 Reading Lesson 13 Short Stories The Model Millionaire 1 Short Story Unit 9Th Grade Students read three masterful works of fiction by sherman alexie, karen russell and alice walker, and practice skills, habits, and. In this unit you will learn the basics of short stories and literature in general: Explain how the author creates character and establishes conflict in the first four paragraphs of the story. We will be reading the most dangerous. Practice. Short Story Unit 9Th Grade.