Signal To Noise Nmr . Develop a sense of difference between the signal and noise parts of nmr spectra; • easier to differentiate between noise and signal. The response of the (entire) sample to the experiment. Understand the link between the number of times the spectrum is recorded and spectral sensitivity; It allows to compare the sensitivity of experiments, the performance of hardware, etc. Explore the connection between the magnetic field strength \(b_o\) and spectral resolution: November 2021 nmr topic of the month: These approaches include manipulation of the nmr. Linewidth in ppm and hz vs peak separation in ppm and hz To estimate the snr of a peak, first zoom in to one peak and leave sufficient noise floor on either side or both sides of the peak, then enter dsn in. The use of data processing methods in high resolution nmr spectroscopy is explained.
from www.researchgate.net
Develop a sense of difference between the signal and noise parts of nmr spectra; These approaches include manipulation of the nmr. Understand the link between the number of times the spectrum is recorded and spectral sensitivity; It allows to compare the sensitivity of experiments, the performance of hardware, etc. The response of the (entire) sample to the experiment. Linewidth in ppm and hz vs peak separation in ppm and hz The use of data processing methods in high resolution nmr spectroscopy is explained. • easier to differentiate between noise and signal. November 2021 nmr topic of the month: Explore the connection between the magnetic field strength \(b_o\) and spectral resolution:
Fit of T2 relaxation data. The integral of the 19F NMR signal was
Signal To Noise Nmr Explore the connection between the magnetic field strength \(b_o\) and spectral resolution: The use of data processing methods in high resolution nmr spectroscopy is explained. To estimate the snr of a peak, first zoom in to one peak and leave sufficient noise floor on either side or both sides of the peak, then enter dsn in. The response of the (entire) sample to the experiment. These approaches include manipulation of the nmr. November 2021 nmr topic of the month: • easier to differentiate between noise and signal. Explore the connection between the magnetic field strength \(b_o\) and spectral resolution: Understand the link between the number of times the spectrum is recorded and spectral sensitivity; Develop a sense of difference between the signal and noise parts of nmr spectra; Linewidth in ppm and hz vs peak separation in ppm and hz It allows to compare the sensitivity of experiments, the performance of hardware, etc.
From u-of-o-nmr-facility.blogspot.com
University of Ottawa NMR Facility Blog Effect of 1H Tuning on the Signal To Noise Nmr Explore the connection between the magnetic field strength \(b_o\) and spectral resolution: To estimate the snr of a peak, first zoom in to one peak and leave sufficient noise floor on either side or both sides of the peak, then enter dsn in. November 2021 nmr topic of the month: These approaches include manipulation of the nmr. Linewidth in ppm. Signal To Noise Nmr.
From www.slideserve.com
PPT NMR Spectroscopy PowerPoint Presentation, free download ID3536436 Signal To Noise Nmr It allows to compare the sensitivity of experiments, the performance of hardware, etc. To estimate the snr of a peak, first zoom in to one peak and leave sufficient noise floor on either side or both sides of the peak, then enter dsn in. Explore the connection between the magnetic field strength \(b_o\) and spectral resolution: Understand the link between. Signal To Noise Nmr.
From chem.libretexts.org
10.2 Improving the SignaltoNoise Ratio Chemistry LibreTexts Signal To Noise Nmr November 2021 nmr topic of the month: To estimate the snr of a peak, first zoom in to one peak and leave sufficient noise floor on either side or both sides of the peak, then enter dsn in. It allows to compare the sensitivity of experiments, the performance of hardware, etc. The response of the (entire) sample to the experiment.. Signal To Noise Nmr.
From www.slideserve.com
PPT Chapter 13 NMR Spectroscopy PowerPoint Presentation, free Signal To Noise Nmr • easier to differentiate between noise and signal. Understand the link between the number of times the spectrum is recorded and spectral sensitivity; To estimate the snr of a peak, first zoom in to one peak and leave sufficient noise floor on either side or both sides of the peak, then enter dsn in. These approaches include manipulation of the. Signal To Noise Nmr.
From dotynmr.com
NMR Signal to Noise Ratio Calculation Applet Doty Scientific Signal To Noise Nmr November 2021 nmr topic of the month: Explore the connection between the magnetic field strength \(b_o\) and spectral resolution: These approaches include manipulation of the nmr. To estimate the snr of a peak, first zoom in to one peak and leave sufficient noise floor on either side or both sides of the peak, then enter dsn in. Develop a sense. Signal To Noise Nmr.
From u-of-o-nmr-facility.blogspot.com
University of Ottawa NMR Facility Blog NMR Tube Thickness and Signal Signal To Noise Nmr These approaches include manipulation of the nmr. November 2021 nmr topic of the month: The use of data processing methods in high resolution nmr spectroscopy is explained. Explore the connection between the magnetic field strength \(b_o\) and spectral resolution: Understand the link between the number of times the spectrum is recorded and spectral sensitivity; Develop a sense of difference between. Signal To Noise Nmr.
From www.researchgate.net
(PDF) Enhancing signal to noise ratio and resolution in low‐field NMR Signal To Noise Nmr The use of data processing methods in high resolution nmr spectroscopy is explained. The response of the (entire) sample to the experiment. November 2021 nmr topic of the month: These approaches include manipulation of the nmr. It allows to compare the sensitivity of experiments, the performance of hardware, etc. Understand the link between the number of times the spectrum is. Signal To Noise Nmr.
From u-of-o-nmr-facility.blogspot.com
University of Ottawa NMR Facility Blog Receiver Gain and Signalto Signal To Noise Nmr Explore the connection between the magnetic field strength \(b_o\) and spectral resolution: Linewidth in ppm and hz vs peak separation in ppm and hz These approaches include manipulation of the nmr. It allows to compare the sensitivity of experiments, the performance of hardware, etc. To estimate the snr of a peak, first zoom in to one peak and leave sufficient. Signal To Noise Nmr.
From u-of-o-nmr-facility.blogspot.com
University of Ottawa NMR Facility Blog How Many Scans Should I Collect? Signal To Noise Nmr • easier to differentiate between noise and signal. Linewidth in ppm and hz vs peak separation in ppm and hz To estimate the snr of a peak, first zoom in to one peak and leave sufficient noise floor on either side or both sides of the peak, then enter dsn in. The response of the (entire) sample to the experiment.. Signal To Noise Nmr.
From gbu-taganskij.ru
NMR Spectroscopy Threshold Signaltonoise Ratio, 45 OFF Signal To Noise Nmr November 2021 nmr topic of the month: • easier to differentiate between noise and signal. Develop a sense of difference between the signal and noise parts of nmr spectra; These approaches include manipulation of the nmr. To estimate the snr of a peak, first zoom in to one peak and leave sufficient noise floor on either side or both sides. Signal To Noise Nmr.
From www.researchgate.net
(PDF) High signal to noise ratio in low field NMR on chip, simulations Signal To Noise Nmr Explore the connection between the magnetic field strength \(b_o\) and spectral resolution: Develop a sense of difference between the signal and noise parts of nmr spectra; These approaches include manipulation of the nmr. It allows to compare the sensitivity of experiments, the performance of hardware, etc. Linewidth in ppm and hz vs peak separation in ppm and hz • easier. Signal To Noise Nmr.
From u-of-o-nmr-facility.blogspot.com
University of Ottawa NMR Facility Blog Signal To Noise Nmr November 2021 nmr topic of the month: The use of data processing methods in high resolution nmr spectroscopy is explained. It allows to compare the sensitivity of experiments, the performance of hardware, etc. These approaches include manipulation of the nmr. Understand the link between the number of times the spectrum is recorded and spectral sensitivity; To estimate the snr of. Signal To Noise Nmr.
From www.researchgate.net
Measured spike noise and its spectrum (a) timedomain of ideal NMR Signal To Noise Nmr Explore the connection between the magnetic field strength \(b_o\) and spectral resolution: Linewidth in ppm and hz vs peak separation in ppm and hz These approaches include manipulation of the nmr. To estimate the snr of a peak, first zoom in to one peak and leave sufficient noise floor on either side or both sides of the peak, then enter. Signal To Noise Nmr.
From www.slideserve.com
PPT Solving NMR Problems PowerPoint Presentation ID3993442 Signal To Noise Nmr These approaches include manipulation of the nmr. Develop a sense of difference between the signal and noise parts of nmr spectra; The use of data processing methods in high resolution nmr spectroscopy is explained. November 2021 nmr topic of the month: • easier to differentiate between noise and signal. To estimate the snr of a peak, first zoom in to. Signal To Noise Nmr.
From www.researchgate.net
(PDF) Exploring Signaltonoise Ratio and Sensitivity in NonUniformly Signal To Noise Nmr Develop a sense of difference between the signal and noise parts of nmr spectra; It allows to compare the sensitivity of experiments, the performance of hardware, etc. The use of data processing methods in high resolution nmr spectroscopy is explained. • easier to differentiate between noise and signal. November 2021 nmr topic of the month: Explore the connection between the. Signal To Noise Nmr.
From www.researchgate.net
(A) Schematic representation of the variation in NMR signal intensity Signal To Noise Nmr Develop a sense of difference between the signal and noise parts of nmr spectra; These approaches include manipulation of the nmr. • easier to differentiate between noise and signal. Explore the connection between the magnetic field strength \(b_o\) and spectral resolution: The response of the (entire) sample to the experiment. November 2021 nmr topic of the month: To estimate the. Signal To Noise Nmr.
From www.researchgate.net
Fit of T2 relaxation data. The integral of the 19F NMR signal was Signal To Noise Nmr • easier to differentiate between noise and signal. November 2021 nmr topic of the month: Understand the link between the number of times the spectrum is recorded and spectral sensitivity; It allows to compare the sensitivity of experiments, the performance of hardware, etc. The response of the (entire) sample to the experiment. These approaches include manipulation of the nmr. Develop. Signal To Noise Nmr.
From www.semanticscholar.org
Figure 3 from Investigation of NMR signaltonoise ratio for RF scroll Signal To Noise Nmr Linewidth in ppm and hz vs peak separation in ppm and hz November 2021 nmr topic of the month: The use of data processing methods in high resolution nmr spectroscopy is explained. It allows to compare the sensitivity of experiments, the performance of hardware, etc. These approaches include manipulation of the nmr. Understand the link between the number of times. Signal To Noise Nmr.
From www.slideserve.com
PPT NMR Relaxation Measurements PowerPoint Presentation, free Signal To Noise Nmr Understand the link between the number of times the spectrum is recorded and spectral sensitivity; It allows to compare the sensitivity of experiments, the performance of hardware, etc. These approaches include manipulation of the nmr. Explore the connection between the magnetic field strength \(b_o\) and spectral resolution: To estimate the snr of a peak, first zoom in to one peak. Signal To Noise Nmr.
From pubs.acs.org
Improvement in SignaltoNoise Ratio of LiquidState NMR Spectroscopy Signal To Noise Nmr The response of the (entire) sample to the experiment. The use of data processing methods in high resolution nmr spectroscopy is explained. Linewidth in ppm and hz vs peak separation in ppm and hz November 2021 nmr topic of the month: • easier to differentiate between noise and signal. Develop a sense of difference between the signal and noise parts. Signal To Noise Nmr.
From www.researchgate.net
(PDF) Research on NMR Noise Reduction Method based on Improved CEEMD Signal To Noise Nmr November 2021 nmr topic of the month: To estimate the snr of a peak, first zoom in to one peak and leave sufficient noise floor on either side or both sides of the peak, then enter dsn in. Develop a sense of difference between the signal and noise parts of nmr spectra; The use of data processing methods in high. Signal To Noise Nmr.
From www.nmr.chemistry.manchester.ac.uk
Reference Deconvolution Methods Manchester NMR Methodology Group Signal To Noise Nmr November 2021 nmr topic of the month: Explore the connection between the magnetic field strength \(b_o\) and spectral resolution: The use of data processing methods in high resolution nmr spectroscopy is explained. These approaches include manipulation of the nmr. Linewidth in ppm and hz vs peak separation in ppm and hz Understand the link between the number of times the. Signal To Noise Nmr.
From analyticalsciencejournals.onlinelibrary.wiley.com
SAN plot A graphical representation of the signal, noise, and Signal To Noise Nmr • easier to differentiate between noise and signal. The response of the (entire) sample to the experiment. Understand the link between the number of times the spectrum is recorded and spectral sensitivity; These approaches include manipulation of the nmr. The use of data processing methods in high resolution nmr spectroscopy is explained. Develop a sense of difference between the signal. Signal To Noise Nmr.
From genomemedicine.biomedcentral.com
Identification and MSassisted interpretation of influenced Signal To Noise Nmr To estimate the snr of a peak, first zoom in to one peak and leave sufficient noise floor on either side or both sides of the peak, then enter dsn in. Develop a sense of difference between the signal and noise parts of nmr spectra; The use of data processing methods in high resolution nmr spectroscopy is explained. The response. Signal To Noise Nmr.
From u-of-o-nmr-facility.blogspot.com
University of Ottawa NMR Facility Blog Throwing Away Noise to Improve Signal To Noise Nmr Explore the connection between the magnetic field strength \(b_o\) and spectral resolution: Understand the link between the number of times the spectrum is recorded and spectral sensitivity; Develop a sense of difference between the signal and noise parts of nmr spectra; • easier to differentiate between noise and signal. It allows to compare the sensitivity of experiments, the performance of. Signal To Noise Nmr.
From u-of-o-nmr-facility.blogspot.com
University of Ottawa NMR Facility Blog Increasing the SignaltoNoise Signal To Noise Nmr The use of data processing methods in high resolution nmr spectroscopy is explained. Explore the connection between the magnetic field strength \(b_o\) and spectral resolution: These approaches include manipulation of the nmr. Understand the link between the number of times the spectrum is recorded and spectral sensitivity; The response of the (entire) sample to the experiment. It allows to compare. Signal To Noise Nmr.
From www.researchgate.net
Schematically shown signal to noise ratio (SNR) calculation based on Signal To Noise Nmr To estimate the snr of a peak, first zoom in to one peak and leave sufficient noise floor on either side or both sides of the peak, then enter dsn in. The response of the (entire) sample to the experiment. These approaches include manipulation of the nmr. The use of data processing methods in high resolution nmr spectroscopy is explained.. Signal To Noise Nmr.
From gbu-taganskij.ru
NMR Spectroscopy Threshold Signaltonoise Ratio, 45 OFF Signal To Noise Nmr To estimate the snr of a peak, first zoom in to one peak and leave sufficient noise floor on either side or both sides of the peak, then enter dsn in. It allows to compare the sensitivity of experiments, the performance of hardware, etc. These approaches include manipulation of the nmr. • easier to differentiate between noise and signal. Linewidth. Signal To Noise Nmr.
From www.researchgate.net
Illustration of the impact of phase noise on NMR signal. Multiple NMR Signal To Noise Nmr The response of the (entire) sample to the experiment. Linewidth in ppm and hz vs peak separation in ppm and hz The use of data processing methods in high resolution nmr spectroscopy is explained. November 2021 nmr topic of the month: To estimate the snr of a peak, first zoom in to one peak and leave sufficient noise floor on. Signal To Noise Nmr.
From u-of-o-nmr-facility.blogspot.com
University of Ottawa NMR Facility Blog Increasing the SignaltoNoise Signal To Noise Nmr Linewidth in ppm and hz vs peak separation in ppm and hz Develop a sense of difference between the signal and noise parts of nmr spectra; Understand the link between the number of times the spectrum is recorded and spectral sensitivity; It allows to compare the sensitivity of experiments, the performance of hardware, etc. The response of the (entire) sample. Signal To Noise Nmr.
From www.slideserve.com
PPT Nuclear Resonance (NMR) Spectroscopy PowerPoint Signal To Noise Nmr These approaches include manipulation of the nmr. Linewidth in ppm and hz vs peak separation in ppm and hz The use of data processing methods in high resolution nmr spectroscopy is explained. November 2021 nmr topic of the month: To estimate the snr of a peak, first zoom in to one peak and leave sufficient noise floor on either side. Signal To Noise Nmr.
From dotynmr.com
NMR Signal to Noise Ratio Calculation Applet Doty Scientific Signal To Noise Nmr To estimate the snr of a peak, first zoom in to one peak and leave sufficient noise floor on either side or both sides of the peak, then enter dsn in. November 2021 nmr topic of the month: Linewidth in ppm and hz vs peak separation in ppm and hz Develop a sense of difference between the signal and noise. Signal To Noise Nmr.
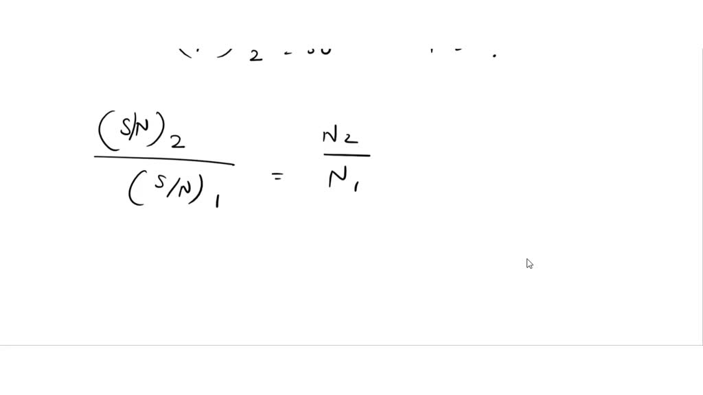
From www.numerade.com
SOLVED If a tenscan NMR spectrum has a signaltonoise ratio of 10 Signal To Noise Nmr Linewidth in ppm and hz vs peak separation in ppm and hz To estimate the snr of a peak, first zoom in to one peak and leave sufficient noise floor on either side or both sides of the peak, then enter dsn in. November 2021 nmr topic of the month: Explore the connection between the magnetic field strength \(b_o\) and. Signal To Noise Nmr.
From www.researchgate.net
The effect of T&M the NMR coil on the overall signaltonoise ratio Signal To Noise Nmr Linewidth in ppm and hz vs peak separation in ppm and hz The response of the (entire) sample to the experiment. To estimate the snr of a peak, first zoom in to one peak and leave sufficient noise floor on either side or both sides of the peak, then enter dsn in. Develop a sense of difference between the signal. Signal To Noise Nmr.
From www.slideserve.com
PPT Signal vs. Noise PowerPoint Presentation, free download ID335451 Signal To Noise Nmr The use of data processing methods in high resolution nmr spectroscopy is explained. Understand the link between the number of times the spectrum is recorded and spectral sensitivity; Explore the connection between the magnetic field strength \(b_o\) and spectral resolution: The response of the (entire) sample to the experiment. November 2021 nmr topic of the month: It allows to compare. Signal To Noise Nmr.