Antioxidants Levels Maize . Hybrid 351 and giza 2) differentially. Additionally, tg88 demonstrated higher enzymatic antioxidant capacity (superoxide dismutase, peroxidase, ascorbate peroxidase,. The higher levels of apod corresponded to the decreasing levels of h 2 o 2 and mda in maize leaves. Several studies report that maize cob, silk, husk and pollen are rich in the phenolic compounds, but the content changes of. In this study, we investigated changes in the antioxidant system, sucrose metabolism, and abscisic acid and gibberellin. We suggest that the differential intercellular partitioning of antioxidants between the bs and m cells of maize limits bs (and.
from www.mdpi.com
The higher levels of apod corresponded to the decreasing levels of h 2 o 2 and mda in maize leaves. We suggest that the differential intercellular partitioning of antioxidants between the bs and m cells of maize limits bs (and. Hybrid 351 and giza 2) differentially. Several studies report that maize cob, silk, husk and pollen are rich in the phenolic compounds, but the content changes of. Additionally, tg88 demonstrated higher enzymatic antioxidant capacity (superoxide dismutase, peroxidase, ascorbate peroxidase,. In this study, we investigated changes in the antioxidant system, sucrose metabolism, and abscisic acid and gibberellin.
Antioxidants Free FullText LArginine Alleviates the Reduction in
Antioxidants Levels Maize The higher levels of apod corresponded to the decreasing levels of h 2 o 2 and mda in maize leaves. Additionally, tg88 demonstrated higher enzymatic antioxidant capacity (superoxide dismutase, peroxidase, ascorbate peroxidase,. The higher levels of apod corresponded to the decreasing levels of h 2 o 2 and mda in maize leaves. Several studies report that maize cob, silk, husk and pollen are rich in the phenolic compounds, but the content changes of. We suggest that the differential intercellular partitioning of antioxidants between the bs and m cells of maize limits bs (and. In this study, we investigated changes in the antioxidant system, sucrose metabolism, and abscisic acid and gibberellin. Hybrid 351 and giza 2) differentially.
From peerj.com
Responses of maize hybrids to water stress conditions at different Antioxidants Levels Maize Hybrid 351 and giza 2) differentially. The higher levels of apod corresponded to the decreasing levels of h 2 o 2 and mda in maize leaves. We suggest that the differential intercellular partitioning of antioxidants between the bs and m cells of maize limits bs (and. Several studies report that maize cob, silk, husk and pollen are rich in the. Antioxidants Levels Maize.
From www.reddit.com
Is corn bad for you? r/HealthyFood Antioxidants Levels Maize The higher levels of apod corresponded to the decreasing levels of h 2 o 2 and mda in maize leaves. Hybrid 351 and giza 2) differentially. Additionally, tg88 demonstrated higher enzymatic antioxidant capacity (superoxide dismutase, peroxidase, ascorbate peroxidase,. Several studies report that maize cob, silk, husk and pollen are rich in the phenolic compounds, but the content changes of. In. Antioxidants Levels Maize.
From healthilicioustips.blogspot.com
Health & nutrition tips Foods with High Levels of Antioxidants Antioxidants Levels Maize Several studies report that maize cob, silk, husk and pollen are rich in the phenolic compounds, but the content changes of. In this study, we investigated changes in the antioxidant system, sucrose metabolism, and abscisic acid and gibberellin. Hybrid 351 and giza 2) differentially. We suggest that the differential intercellular partitioning of antioxidants between the bs and m cells of. Antioxidants Levels Maize.
From www.mdpi.com
Antioxidants Free FullText Integrated Transcriptomic and Proteomic Antioxidants Levels Maize Hybrid 351 and giza 2) differentially. In this study, we investigated changes in the antioxidant system, sucrose metabolism, and abscisic acid and gibberellin. Additionally, tg88 demonstrated higher enzymatic antioxidant capacity (superoxide dismutase, peroxidase, ascorbate peroxidase,. We suggest that the differential intercellular partitioning of antioxidants between the bs and m cells of maize limits bs (and. The higher levels of apod. Antioxidants Levels Maize.
From www.researchgate.net
Oxidative stress analysis and antioxidants levels in the renal Antioxidants Levels Maize The higher levels of apod corresponded to the decreasing levels of h 2 o 2 and mda in maize leaves. Hybrid 351 and giza 2) differentially. We suggest that the differential intercellular partitioning of antioxidants between the bs and m cells of maize limits bs (and. Additionally, tg88 demonstrated higher enzymatic antioxidant capacity (superoxide dismutase, peroxidase, ascorbate peroxidase,. In this. Antioxidants Levels Maize.
From www2.mdpi.com
Antioxidants Free FullText Differences in Cadmium Accumulation Antioxidants Levels Maize Hybrid 351 and giza 2) differentially. Several studies report that maize cob, silk, husk and pollen are rich in the phenolic compounds, but the content changes of. The higher levels of apod corresponded to the decreasing levels of h 2 o 2 and mda in maize leaves. Additionally, tg88 demonstrated higher enzymatic antioxidant capacity (superoxide dismutase, peroxidase, ascorbate peroxidase,. We. Antioxidants Levels Maize.
From www.mdpi.com
Antioxidants Free FullText Titanium Oxide and Zinc Oxide Antioxidants Levels Maize Hybrid 351 and giza 2) differentially. We suggest that the differential intercellular partitioning of antioxidants between the bs and m cells of maize limits bs (and. The higher levels of apod corresponded to the decreasing levels of h 2 o 2 and mda in maize leaves. Several studies report that maize cob, silk, husk and pollen are rich in the. Antioxidants Levels Maize.
From www.pinterest.com
Sources of Antioxidants 8 Antioxidant Foods You Should Eat Anti Antioxidants Levels Maize Hybrid 351 and giza 2) differentially. Several studies report that maize cob, silk, husk and pollen are rich in the phenolic compounds, but the content changes of. The higher levels of apod corresponded to the decreasing levels of h 2 o 2 and mda in maize leaves. Additionally, tg88 demonstrated higher enzymatic antioxidant capacity (superoxide dismutase, peroxidase, ascorbate peroxidase,. In. Antioxidants Levels Maize.
From www.healthyforlifemeals.com
Antioxidants what are they and why are they important? — Healthy For Antioxidants Levels Maize We suggest that the differential intercellular partitioning of antioxidants between the bs and m cells of maize limits bs (and. Additionally, tg88 demonstrated higher enzymatic antioxidant capacity (superoxide dismutase, peroxidase, ascorbate peroxidase,. The higher levels of apod corresponded to the decreasing levels of h 2 o 2 and mda in maize leaves. Hybrid 351 and giza 2) differentially. Several studies. Antioxidants Levels Maize.
From www.mdpi.com
Antioxidants Free FullText Comparative Transcriptomics Reveal Antioxidants Levels Maize Additionally, tg88 demonstrated higher enzymatic antioxidant capacity (superoxide dismutase, peroxidase, ascorbate peroxidase,. We suggest that the differential intercellular partitioning of antioxidants between the bs and m cells of maize limits bs (and. Several studies report that maize cob, silk, husk and pollen are rich in the phenolic compounds, but the content changes of. Hybrid 351 and giza 2) differentially. The. Antioxidants Levels Maize.
From www.researchgate.net
Germinated maize grain extract (gMGE) content of osmoprotectants Antioxidants Levels Maize Additionally, tg88 demonstrated higher enzymatic antioxidant capacity (superoxide dismutase, peroxidase, ascorbate peroxidase,. We suggest that the differential intercellular partitioning of antioxidants between the bs and m cells of maize limits bs (and. In this study, we investigated changes in the antioxidant system, sucrose metabolism, and abscisic acid and gibberellin. Several studies report that maize cob, silk, husk and pollen are. Antioxidants Levels Maize.
From www.mdpi.com
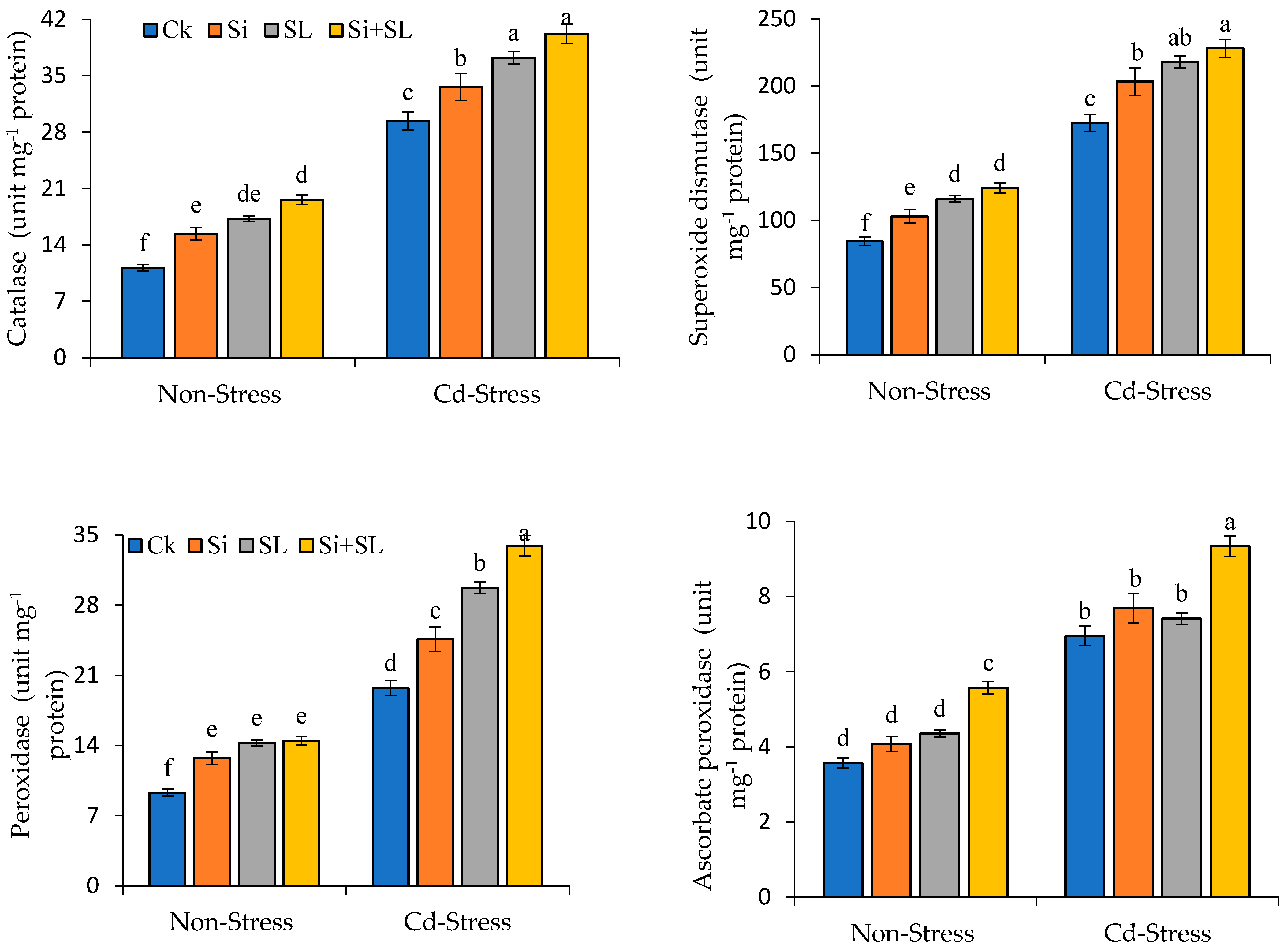
Agronomy Free FullText Silicon and Strigolecton Application Antioxidants Levels Maize In this study, we investigated changes in the antioxidant system, sucrose metabolism, and abscisic acid and gibberellin. The higher levels of apod corresponded to the decreasing levels of h 2 o 2 and mda in maize leaves. We suggest that the differential intercellular partitioning of antioxidants between the bs and m cells of maize limits bs (and. Several studies report. Antioxidants Levels Maize.
From www.mdpi.com
Antioxidants Free FullText Effects of Different Dietary βGlucan Antioxidants Levels Maize The higher levels of apod corresponded to the decreasing levels of h 2 o 2 and mda in maize leaves. Several studies report that maize cob, silk, husk and pollen are rich in the phenolic compounds, but the content changes of. Hybrid 351 and giza 2) differentially. In this study, we investigated changes in the antioxidant system, sucrose metabolism, and. Antioxidants Levels Maize.
From www.slideshare.net
12.2 India Maize area production and yield whole map 2016 2017 Antioxidants Levels Maize In this study, we investigated changes in the antioxidant system, sucrose metabolism, and abscisic acid and gibberellin. Additionally, tg88 demonstrated higher enzymatic antioxidant capacity (superoxide dismutase, peroxidase, ascorbate peroxidase,. We suggest that the differential intercellular partitioning of antioxidants between the bs and m cells of maize limits bs (and. Hybrid 351 and giza 2) differentially. Several studies report that maize. Antioxidants Levels Maize.
From www.researchgate.net
(PDF) Improving Alkaline Stress Tolerance in Maize through Seed Priming Antioxidants Levels Maize We suggest that the differential intercellular partitioning of antioxidants between the bs and m cells of maize limits bs (and. Hybrid 351 and giza 2) differentially. In this study, we investigated changes in the antioxidant system, sucrose metabolism, and abscisic acid and gibberellin. The higher levels of apod corresponded to the decreasing levels of h 2 o 2 and mda. Antioxidants Levels Maize.
From www.mdpi.com
Antioxidants Free FullText Interactive Effects of Melatonin and Antioxidants Levels Maize We suggest that the differential intercellular partitioning of antioxidants between the bs and m cells of maize limits bs (and. Hybrid 351 and giza 2) differentially. The higher levels of apod corresponded to the decreasing levels of h 2 o 2 and mda in maize leaves. Several studies report that maize cob, silk, husk and pollen are rich in the. Antioxidants Levels Maize.
From www.mdpi.com
Antioxidants Free FullText LArginine Alleviates the Reduction in Antioxidants Levels Maize The higher levels of apod corresponded to the decreasing levels of h 2 o 2 and mda in maize leaves. In this study, we investigated changes in the antioxidant system, sucrose metabolism, and abscisic acid and gibberellin. Additionally, tg88 demonstrated higher enzymatic antioxidant capacity (superoxide dismutase, peroxidase, ascorbate peroxidase,. Hybrid 351 and giza 2) differentially. We suggest that the differential. Antioxidants Levels Maize.
From www.mdpi.com
Antioxidants Free FullText NonEnzymatic Antioxidants against Antioxidants Levels Maize Several studies report that maize cob, silk, husk and pollen are rich in the phenolic compounds, but the content changes of. Additionally, tg88 demonstrated higher enzymatic antioxidant capacity (superoxide dismutase, peroxidase, ascorbate peroxidase,. In this study, we investigated changes in the antioxidant system, sucrose metabolism, and abscisic acid and gibberellin. We suggest that the differential intercellular partitioning of antioxidants between. Antioxidants Levels Maize.
From www.mdpi.com
Antioxidants Free FullText Role of Cytochrome P450 Enzymes in Antioxidants Levels Maize Additionally, tg88 demonstrated higher enzymatic antioxidant capacity (superoxide dismutase, peroxidase, ascorbate peroxidase,. Hybrid 351 and giza 2) differentially. Several studies report that maize cob, silk, husk and pollen are rich in the phenolic compounds, but the content changes of. The higher levels of apod corresponded to the decreasing levels of h 2 o 2 and mda in maize leaves. In. Antioxidants Levels Maize.
From www.semanticscholar.org
Figure 1 from Changes of antioxidants levels in two maize lines Antioxidants Levels Maize Several studies report that maize cob, silk, husk and pollen are rich in the phenolic compounds, but the content changes of. Additionally, tg88 demonstrated higher enzymatic antioxidant capacity (superoxide dismutase, peroxidase, ascorbate peroxidase,. In this study, we investigated changes in the antioxidant system, sucrose metabolism, and abscisic acid and gibberellin. We suggest that the differential intercellular partitioning of antioxidants between. Antioxidants Levels Maize.
From www.mdpi.com
Agronomy Free FullText Silicon and Strigolecton Application Antioxidants Levels Maize Hybrid 351 and giza 2) differentially. The higher levels of apod corresponded to the decreasing levels of h 2 o 2 and mda in maize leaves. Additionally, tg88 demonstrated higher enzymatic antioxidant capacity (superoxide dismutase, peroxidase, ascorbate peroxidase,. We suggest that the differential intercellular partitioning of antioxidants between the bs and m cells of maize limits bs (and. Several studies. Antioxidants Levels Maize.
From www.academia.edu
(PDF) Comparative response of maize and rice genotypes to heat stress Antioxidants Levels Maize Hybrid 351 and giza 2) differentially. Additionally, tg88 demonstrated higher enzymatic antioxidant capacity (superoxide dismutase, peroxidase, ascorbate peroxidase,. The higher levels of apod corresponded to the decreasing levels of h 2 o 2 and mda in maize leaves. We suggest that the differential intercellular partitioning of antioxidants between the bs and m cells of maize limits bs (and. Several studies. Antioxidants Levels Maize.
From www.mdpi.com
Antioxidants Free FullText Integrated Transcriptomic and Proteomic Antioxidants Levels Maize In this study, we investigated changes in the antioxidant system, sucrose metabolism, and abscisic acid and gibberellin. Additionally, tg88 demonstrated higher enzymatic antioxidant capacity (superoxide dismutase, peroxidase, ascorbate peroxidase,. The higher levels of apod corresponded to the decreasing levels of h 2 o 2 and mda in maize leaves. Several studies report that maize cob, silk, husk and pollen are. Antioxidants Levels Maize.
From www.mdpi.com
Antioxidants Free FullText LArginine Alleviates the Reduction in Antioxidants Levels Maize Several studies report that maize cob, silk, husk and pollen are rich in the phenolic compounds, but the content changes of. We suggest that the differential intercellular partitioning of antioxidants between the bs and m cells of maize limits bs (and. Additionally, tg88 demonstrated higher enzymatic antioxidant capacity (superoxide dismutase, peroxidase, ascorbate peroxidase,. Hybrid 351 and giza 2) differentially. In. Antioxidants Levels Maize.
From www.researchgate.net
Expression levels of antioxidant genes of maize in the absence and Antioxidants Levels Maize In this study, we investigated changes in the antioxidant system, sucrose metabolism, and abscisic acid and gibberellin. Additionally, tg88 demonstrated higher enzymatic antioxidant capacity (superoxide dismutase, peroxidase, ascorbate peroxidase,. We suggest that the differential intercellular partitioning of antioxidants between the bs and m cells of maize limits bs (and. The higher levels of apod corresponded to the decreasing levels of. Antioxidants Levels Maize.
From mavink.com
High Antioxidant Foods Printable List Antioxidants Levels Maize Additionally, tg88 demonstrated higher enzymatic antioxidant capacity (superoxide dismutase, peroxidase, ascorbate peroxidase,. Hybrid 351 and giza 2) differentially. We suggest that the differential intercellular partitioning of antioxidants between the bs and m cells of maize limits bs (and. In this study, we investigated changes in the antioxidant system, sucrose metabolism, and abscisic acid and gibberellin. The higher levels of apod. Antioxidants Levels Maize.
From www.mdpi.com
Antioxidants Free FullText LArginine Alleviates the Reduction in Antioxidants Levels Maize The higher levels of apod corresponded to the decreasing levels of h 2 o 2 and mda in maize leaves. In this study, we investigated changes in the antioxidant system, sucrose metabolism, and abscisic acid and gibberellin. Additionally, tg88 demonstrated higher enzymatic antioxidant capacity (superoxide dismutase, peroxidase, ascorbate peroxidase,. Several studies report that maize cob, silk, husk and pollen are. Antioxidants Levels Maize.
From www.mdpi.com
Antioxidants Free FullText Titanium Oxide and Zinc Oxide Antioxidants Levels Maize Hybrid 351 and giza 2) differentially. Additionally, tg88 demonstrated higher enzymatic antioxidant capacity (superoxide dismutase, peroxidase, ascorbate peroxidase,. In this study, we investigated changes in the antioxidant system, sucrose metabolism, and abscisic acid and gibberellin. Several studies report that maize cob, silk, husk and pollen are rich in the phenolic compounds, but the content changes of. The higher levels of. Antioxidants Levels Maize.
From www.mdpi.com
Antioxidants Free FullText LArginine Alleviates the Reduction in Antioxidants Levels Maize Additionally, tg88 demonstrated higher enzymatic antioxidant capacity (superoxide dismutase, peroxidase, ascorbate peroxidase,. The higher levels of apod corresponded to the decreasing levels of h 2 o 2 and mda in maize leaves. We suggest that the differential intercellular partitioning of antioxidants between the bs and m cells of maize limits bs (and. In this study, we investigated changes in the. Antioxidants Levels Maize.
From www.mdpi.com
Antioxidants Free FullText Integrated Transcriptomic and Proteomic Antioxidants Levels Maize Several studies report that maize cob, silk, husk and pollen are rich in the phenolic compounds, but the content changes of. Hybrid 351 and giza 2) differentially. The higher levels of apod corresponded to the decreasing levels of h 2 o 2 and mda in maize leaves. We suggest that the differential intercellular partitioning of antioxidants between the bs and. Antioxidants Levels Maize.
From www.researchgate.net
Levels of some antioxidant metabolites in immature maize grains from Antioxidants Levels Maize The higher levels of apod corresponded to the decreasing levels of h 2 o 2 and mda in maize leaves. We suggest that the differential intercellular partitioning of antioxidants between the bs and m cells of maize limits bs (and. Additionally, tg88 demonstrated higher enzymatic antioxidant capacity (superoxide dismutase, peroxidase, ascorbate peroxidase,. Several studies report that maize cob, silk, husk. Antioxidants Levels Maize.
From www.researchgate.net
Effect of different levels of maize supplementation on the cumulative Antioxidants Levels Maize The higher levels of apod corresponded to the decreasing levels of h 2 o 2 and mda in maize leaves. Hybrid 351 and giza 2) differentially. In this study, we investigated changes in the antioxidant system, sucrose metabolism, and abscisic acid and gibberellin. Additionally, tg88 demonstrated higher enzymatic antioxidant capacity (superoxide dismutase, peroxidase, ascorbate peroxidase,. We suggest that the differential. Antioxidants Levels Maize.
From www.researchgate.net
Corn cobs in maize plants treated with organic acids (salicylic acid Antioxidants Levels Maize We suggest that the differential intercellular partitioning of antioxidants between the bs and m cells of maize limits bs (and. Additionally, tg88 demonstrated higher enzymatic antioxidant capacity (superoxide dismutase, peroxidase, ascorbate peroxidase,. The higher levels of apod corresponded to the decreasing levels of h 2 o 2 and mda in maize leaves. Hybrid 351 and giza 2) differentially. Several studies. Antioxidants Levels Maize.
From www.frontiersin.org
Frontiers Recent developments in multiomics and breeding strategies Antioxidants Levels Maize Several studies report that maize cob, silk, husk and pollen are rich in the phenolic compounds, but the content changes of. In this study, we investigated changes in the antioxidant system, sucrose metabolism, and abscisic acid and gibberellin. Hybrid 351 and giza 2) differentially. We suggest that the differential intercellular partitioning of antioxidants between the bs and m cells of. Antioxidants Levels Maize.
From www.mdpi.com
Antioxidants Free FullText Comparative Transcriptomics Reveal Antioxidants Levels Maize In this study, we investigated changes in the antioxidant system, sucrose metabolism, and abscisic acid and gibberellin. The higher levels of apod corresponded to the decreasing levels of h 2 o 2 and mda in maize leaves. Additionally, tg88 demonstrated higher enzymatic antioxidant capacity (superoxide dismutase, peroxidase, ascorbate peroxidase,. We suggest that the differential intercellular partitioning of antioxidants between the. Antioxidants Levels Maize.