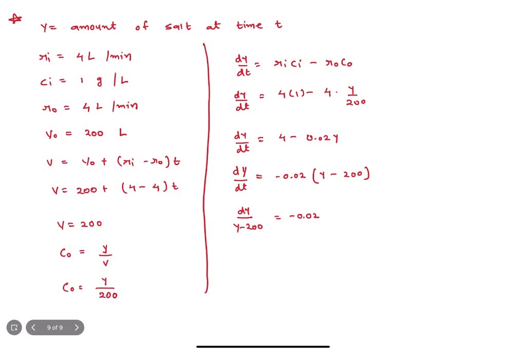
Well-Mixed Solution . A typical mixing problem deals with the amount of salt in a mixing tank. Find the general solution of the given differential equation: When studying separable differential equations, one. I took the following apparently. Y ″ − 2 y ′ + y = 0. First off, let’s address the “well mixed solution” bit. We are going to assume that the instant the water enters the tank it. This is the assumption that was mentioned earlier. If a well mixed solution leaves the tank at a rate of 6 gal/hr, how much salt is in the tank when it overflows? The rate at which a body cools is proportional to the difference in. A solution is a type of homogeneous mixture where one substance, called the solute, is dissolved in another substance, known as the. In all such problems one assumes that the solution is well mixed at each instant. Find the amount of salt after 30 minutes. Salt and water enter the tank at a certain rate, are mixed with what is already. Mixing tank separable differential equations examples.
from www.numerade.com
First off, let’s address the “well mixed solution” bit. A solution is a type of homogeneous mixture where one substance, called the solute, is dissolved in another substance, known as the. In all such problems one assumes that the solution is well mixed at each instant. Find the amount of salt in the tank at time \ (t \). This is the assumption that was mentioned earlier. A typical mixing problem deals with the amount of salt in a mixing tank. If a well mixed solution leaves the tank at a rate of 6 gal/hr, how much salt is in the tank when it overflows? We are going to assume that the instant the water enters the tank it. Mixing tank separable differential equations examples. Y ″ − 2 y ′ + y = 0.
SOLVED A tank initially contains 50 liters of water with 20kg of salt
Well-Mixed Solution If a well mixed solution leaves the tank at a rate of 6 gal/hr, how much salt is in the tank when it overflows? The rate at which a body cools is proportional to the difference in. We are going to assume that the instant the water enters the tank it. First off, let’s address the. In all such problems one assumes that the solution is well mixed at each instant. Find the general solution of the given differential equation: A typical mixing problem deals with the amount of salt in a mixing tank. Salt and water enter the tank at a certain rate, are mixed with what is already. This is the assumption that was mentioned earlier. Find the amount of salt in the tank at time \ (t \). Find the amount of salt after 30 minutes. Mixing tank separable differential equations examples. Y ″ − 2 y ′ + y = 0. If a well mixed solution leaves the tank at a rate of 6 gal/hr, how much salt is in the tank when it overflows? When studying separable differential equations, one. First off, let’s address the “well mixed solution” bit.
From www.solutionspile.com
[Solved] 1. [/1 Points] ZILLDIFFEQ9 3.1.021. A tank cont Well-Mixed Solution This is the assumption that was mentioned earlier. A typical mixing problem deals with the amount of salt in a mixing tank. First off, let’s address the. We are going to assume that the instant the water enters the tank it. First off, let’s address the “well mixed solution” bit. If a well mixed solution leaves the tank at a. Well-Mixed Solution.
From www.scribd.com
For Transfer From A WellMixed Solution Into Another Phase, Is Well-Mixed Solution Find the amount of salt after 30 minutes. A solution is a type of homogeneous mixture where one substance, called the solute, is dissolved in another substance, known as the. This is the assumption that was mentioned earlier. Y ″ − 2 y ′ + y = 0. Salt and water enter the tank at a certain rate, are mixed. Well-Mixed Solution.
From www.chegg.com
Solved 2. A tank initially contains 120 liters of pure Well-Mixed Solution This is the assumption that was mentioned earlier. Y ″ − 2 y ′ + y = 0. A typical mixing problem deals with the amount of salt in a mixing tank. Find the amount of salt after 30 minutes. Find the amount of salt in the tank at time \ (t \). We are going to assume that the. Well-Mixed Solution.
From www.numerade.com
A fish tank initially contains 40 liters of pure water. Brine of Well-Mixed Solution First off, let’s address the. I took the following apparently. In all such problems one assumes that the solution is well mixed at each instant. Find the amount of salt after 30 minutes. Find the general solution of the given differential equation: Y ″ − 2 y ′ + y = 0. If a well mixed solution leaves the tank. Well-Mixed Solution.
From www.pinterest.com
TIPS 276 CHARACTERISTICS OF WELL MIXED CONCRETE Concrete mix design Well-Mixed Solution A typical mixing problem deals with the amount of salt in a mixing tank. Mixing tank separable differential equations examples. A solution is a type of homogeneous mixture where one substance, called the solute, is dissolved in another substance, known as the. When studying separable differential equations, one. I took the following apparently. If a well mixed solution leaves the. Well-Mixed Solution.
From www.tec-science.com
Typs of alloys tecscience Well-Mixed Solution If a well mixed solution leaves the tank at a rate of 6 gal/hr, how much salt is in the tank when it overflows? Y ″ − 2 y ′ + y = 0. Mixing tank separable differential equations examples. When studying separable differential equations, one. I took the following apparently. Find the amount of salt in the tank at. Well-Mixed Solution.
From www.elephango.com
Some Liquids Just Don't Mix Educational Resources K12 Learning Well-Mixed Solution First off, let’s address the. Y ″ − 2 y ′ + y = 0. A typical mixing problem deals with the amount of salt in a mixing tank. Salt and water enter the tank at a certain rate, are mixed with what is already. The rate at which a body cools is proportional to the difference in. First off,. Well-Mixed Solution.
From www.chegg.com
Solved Practice Another Х A large tank is filled to capacity Well-Mixed Solution This is the assumption that was mentioned earlier. When studying separable differential equations, one. Y ″ − 2 y ′ + y = 0. In all such problems one assumes that the solution is well mixed at each instant. Find the amount of salt after 30 minutes. Find the general solution of the given differential equation: A typical mixing problem. Well-Mixed Solution.
From www.chegg.com
Solved A tank contains 60 gallons of a solution composed of Well-Mixed Solution Find the general solution of the given differential equation: Salt and water enter the tank at a certain rate, are mixed with what is already. If a well mixed solution leaves the tank at a rate of 6 gal/hr, how much salt is in the tank when it overflows? Mixing tank separable differential equations examples. First off, let’s address the. Well-Mixed Solution.
From www.chegg.com
Solved 0/1 POINTS PREVIOUS ANSWERS ZILLDIFFEQMODAP11 Well-Mixed Solution This is the assumption that was mentioned earlier. Mixing tank separable differential equations examples. First off, let’s address the. In all such problems one assumes that the solution is well mixed at each instant. Y ″ − 2 y ′ + y = 0. Find the amount of salt after 30 minutes. First off, let’s address the “well mixed solution”. Well-Mixed Solution.
From www.numerade.com
SOLVED A large tank is partially filled with 100 gallons of fluid in Well-Mixed Solution In all such problems one assumes that the solution is well mixed at each instant. Salt and water enter the tank at a certain rate, are mixed with what is already. Y ″ − 2 y ′ + y = 0. Mixing tank separable differential equations examples. A typical mixing problem deals with the amount of salt in a mixing. Well-Mixed Solution.
From www.chegg.com
Solved Initially 15 grams of salt are dissolved into 25 Well-Mixed Solution Mixing tank separable differential equations examples. Find the general solution of the given differential equation: Salt and water enter the tank at a certain rate, are mixed with what is already. A solution is a type of homogeneous mixture where one substance, called the solute, is dissolved in another substance, known as the. First off, let’s address the. Find the. Well-Mixed Solution.
From www.chegg.com
Solved A salt tank contains 50 lbs of salt dissolved in a Well-Mixed Solution I took the following apparently. First off, let’s address the “well mixed solution” bit. This is the assumption that was mentioned earlier. A solution is a type of homogeneous mixture where one substance, called the solute, is dissolved in another substance, known as the. A typical mixing problem deals with the amount of salt in a mixing tank. Find the. Well-Mixed Solution.
From www.chegg.com
Solved A fish tank initially contains 30 liters of pure Well-Mixed Solution First off, let’s address the “well mixed solution” bit. A typical mixing problem deals with the amount of salt in a mixing tank. Find the general solution of the given differential equation: We are going to assume that the instant the water enters the tank it. Mixing tank separable differential equations examples. Find the amount of salt after 30 minutes.. Well-Mixed Solution.
From www.numerade.com
SOLVEDA pipette contains exactly one bacterium in 4 cc of a wellmixed Well-Mixed Solution I took the following apparently. Y ″ − 2 y ′ + y = 0. A typical mixing problem deals with the amount of salt in a mixing tank. This is the assumption that was mentioned earlier. The rate at which a body cools is proportional to the difference in. We are going to assume that the instant the water. Well-Mixed Solution.
From www.chegg.com
Solved A tank contains 350 liters of fluid in which 10 grams Well-Mixed Solution A solution is a type of homogeneous mixture where one substance, called the solute, is dissolved in another substance, known as the. Mixing tank separable differential equations examples. If a well mixed solution leaves the tank at a rate of 6 gal/hr, how much salt is in the tank when it overflows? In all such problems one assumes that the. Well-Mixed Solution.
From www.numerade.com
SOLVED A tank contains 200 liters of fluid in which 30 grams of salt Well-Mixed Solution Find the general solution of the given differential equation: When studying separable differential equations, one. A typical mixing problem deals with the amount of salt in a mixing tank. The rate at which a body cools is proportional to the difference in. This is the assumption that was mentioned earlier. I took the following apparently. We are going to assume. Well-Mixed Solution.
From www.solnpharma.com
Difference Between Solid and Liquid Mixing Well-Mixed Solution This is the assumption that was mentioned earlier. A typical mixing problem deals with the amount of salt in a mixing tank. Y ″ − 2 y ′ + y = 0. Mixing tank separable differential equations examples. Find the general solution of the given differential equation: Find the amount of salt after 30 minutes. In all such problems one. Well-Mixed Solution.
From www.slideserve.com
PPT Atoms Elements Molecules Compounds Pure Substance Mixture Well-Mixed Solution In all such problems one assumes that the solution is well mixed at each instant. Find the general solution of the given differential equation: If a well mixed solution leaves the tank at a rate of 6 gal/hr, how much salt is in the tank when it overflows? Y ″ − 2 y ′ + y = 0. Salt and. Well-Mixed Solution.
From slideplayer.com
What is a Mixture? A mixture is a combination of 2 or more substances Well-Mixed Solution If a well mixed solution leaves the tank at a rate of 6 gal/hr, how much salt is in the tank when it overflows? Find the general solution of the given differential equation: A typical mixing problem deals with the amount of salt in a mixing tank. Find the amount of salt in the tank at time \ (t \).. Well-Mixed Solution.
From www.chegg.com
A 4,500 litre tank contains 2,500 litres of brine. Well-Mixed Solution I took the following apparently. Find the amount of salt in the tank at time \ (t \). Mixing tank separable differential equations examples. When studying separable differential equations, one. Find the general solution of the given differential equation: A solution is a type of homogeneous mixture where one substance, called the solute, is dissolved in another substance, known as. Well-Mixed Solution.
From www.chegg.com
Solved A tank contains 180 liters of fluid in which 30 grams Well-Mixed Solution Salt and water enter the tank at a certain rate, are mixed with what is already. Find the amount of salt in the tank at time \ (t \). First off, let’s address the. First off, let’s address the “well mixed solution” bit. This is the assumption that was mentioned earlier. A solution is a type of homogeneous mixture where. Well-Mixed Solution.
From www.chegg.com
Solved 3 A wellmixed vessel of volume, Vo 50 m*, is Well-Mixed Solution Find the general solution of the given differential equation: Find the amount of salt after 30 minutes. When studying separable differential equations, one. This is the assumption that was mentioned earlier. First off, let’s address the “well mixed solution” bit. Y ″ − 2 y ′ + y = 0. First off, let’s address the. I took the following apparently.. Well-Mixed Solution.
From www.thoughtco.com
Miscibility of Fluids in Chemistry Well-Mixed Solution First off, let’s address the. Find the amount of salt after 30 minutes. A typical mixing problem deals with the amount of salt in a mixing tank. In all such problems one assumes that the solution is well mixed at each instant. First off, let’s address the “well mixed solution” bit. When studying separable differential equations, one. Mixing tank separable. Well-Mixed Solution.
From www.transtutors.com
(Get Answer) What Is The Ph Of A 0.150M H2SO4 Solution? Q39; A Well Well-Mixed Solution When studying separable differential equations, one. First off, let’s address the “well mixed solution” bit. In all such problems one assumes that the solution is well mixed at each instant. Mixing tank separable differential equations examples. Find the amount of salt in the tank at time \ (t \). This is the assumption that was mentioned earlier. Find the amount. Well-Mixed Solution.
From dokumen.tips
(PDF) Chemical in wellmixed reactors · yrawlingsengr.wisc Well-Mixed Solution Mixing tank separable differential equations examples. This is the assumption that was mentioned earlier. Find the amount of salt after 30 minutes. Salt and water enter the tank at a certain rate, are mixed with what is already. The rate at which a body cools is proportional to the difference in. A typical mixing problem deals with the amount of. Well-Mixed Solution.
From www.numerade.com
SOLVED A tank initially contains 50 liters of water with 20kg of salt Well-Mixed Solution Find the general solution of the given differential equation: A typical mixing problem deals with the amount of salt in a mixing tank. A solution is a type of homogeneous mixture where one substance, called the solute, is dissolved in another substance, known as the. I took the following apparently. The rate at which a body cools is proportional to. Well-Mixed Solution.
From www.chegg.com
Solved QUESTION 3 A wellmixed vessel of volume, Vo = 50 m, Well-Mixed Solution The rate at which a body cools is proportional to the difference in. We are going to assume that the instant the water enters the tank it. First off, let’s address the “well mixed solution” bit. Find the amount of salt after 30 minutes. A typical mixing problem deals with the amount of salt in a mixing tank. When studying. Well-Mixed Solution.
From www.numerade.com
SOLVED large tank is filled to capacity with 700 gallons of pure water Well-Mixed Solution I took the following apparently. A typical mixing problem deals with the amount of salt in a mixing tank. Salt and water enter the tank at a certain rate, are mixed with what is already. Mixing tank separable differential equations examples. Find the general solution of the given differential equation: In all such problems one assumes that the solution is. Well-Mixed Solution.
From www.chegg.com
Solved A tank contains 200 liters of fluid in which 20 grams Well-Mixed Solution This is the assumption that was mentioned earlier. The rate at which a body cools is proportional to the difference in. I took the following apparently. A solution is a type of homogeneous mixture where one substance, called the solute, is dissolved in another substance, known as the. Find the amount of salt after 30 minutes. First off, let’s address. Well-Mixed Solution.
From www.chegg.com
Solved A 1000 liter tank contains a well mixed solution of Well-Mixed Solution Find the amount of salt in the tank at time \ (t \). First off, let’s address the. I took the following apparently. When studying separable differential equations, one. This is the assumption that was mentioned earlier. A solution is a type of homogeneous mixture where one substance, called the solute, is dissolved in another substance, known as the. The. Well-Mixed Solution.
From www.chegg.com
Solved 1. Two streams 1 and 2 are being mixed in a Well-Mixed Solution A typical mixing problem deals with the amount of salt in a mixing tank. Salt and water enter the tank at a certain rate, are mixed with what is already. In all such problems one assumes that the solution is well mixed at each instant. First off, let’s address the. A solution is a type of homogeneous mixture where one. Well-Mixed Solution.
From www.alamy.com
Chemical waves in a BelousovZhabotinsky (BZ) reagent. This is a well Well-Mixed Solution Y ″ − 2 y ′ + y = 0. We are going to assume that the instant the water enters the tank it. Find the amount of salt in the tank at time \ (t \). In all such problems one assumes that the solution is well mixed at each instant. If a well mixed solution leaves the tank. Well-Mixed Solution.
From www.chegg.com
Solved Iiters/hr. A wellmixed solution flows out at an Well-Mixed Solution A solution is a type of homogeneous mixture where one substance, called the solute, is dissolved in another substance, known as the. First off, let’s address the. Find the amount of salt in the tank at time \ (t \). We are going to assume that the instant the water enters the tank it. This is the assumption that was. Well-Mixed Solution.
From www.vrogue.co
Solved A Tank Initially Contains 50 Liters Of Water W vrogue.co Well-Mixed Solution Find the amount of salt in the tank at time \ (t \). Mixing tank separable differential equations examples. A typical mixing problem deals with the amount of salt in a mixing tank. I took the following apparently. First off, let’s address the. The rate at which a body cools is proportional to the difference in. This is the assumption. Well-Mixed Solution.