What Is A Statutory Close Corporation . When these concerns are present but owners still want the flexibility of an llc or partnership, they should consider using a “statutory close. Close corporations are also known as statutory close corporations because they are governed by state statutes and have a small number of shareholders. This type of corporation is held by a. A close corporation is a type of corporation that is held by a limited number of shareholders and is not publicly traded. The purpose of a statutory close corporation is to provide small business owners with the advantages of incorporation. A statutory close corporation (also known as “close corporation”) is a corporation that does not publicly trade stock and is formed under a special statute. In california, for example, the. A closed corporation is a company whose shares are held by a select few individuals who are usually closely associated with the business.
from www.chegg.com
Close corporations are also known as statutory close corporations because they are governed by state statutes and have a small number of shareholders. This type of corporation is held by a. A statutory close corporation (also known as “close corporation”) is a corporation that does not publicly trade stock and is formed under a special statute. The purpose of a statutory close corporation is to provide small business owners with the advantages of incorporation. In california, for example, the. A closed corporation is a company whose shares are held by a select few individuals who are usually closely associated with the business. A close corporation is a type of corporation that is held by a limited number of shareholders and is not publicly traded. When these concerns are present but owners still want the flexibility of an llc or partnership, they should consider using a “statutory close.
Solved cannot distribute dividends.Statutory close
What Is A Statutory Close Corporation A close corporation is a type of corporation that is held by a limited number of shareholders and is not publicly traded. When these concerns are present but owners still want the flexibility of an llc or partnership, they should consider using a “statutory close. Close corporations are also known as statutory close corporations because they are governed by state statutes and have a small number of shareholders. A closed corporation is a company whose shares are held by a select few individuals who are usually closely associated with the business. This type of corporation is held by a. A statutory close corporation (also known as “close corporation”) is a corporation that does not publicly trade stock and is formed under a special statute. The purpose of a statutory close corporation is to provide small business owners with the advantages of incorporation. In california, for example, the. A close corporation is a type of corporation that is held by a limited number of shareholders and is not publicly traded.
From www.youtube.com
Statutory Company or Corporation Meaning with Examples YouTube What Is A Statutory Close Corporation A closed corporation is a company whose shares are held by a select few individuals who are usually closely associated with the business. This type of corporation is held by a. When these concerns are present but owners still want the flexibility of an llc or partnership, they should consider using a “statutory close. A statutory close corporation (also known. What Is A Statutory Close Corporation.
From www.templateroller.com
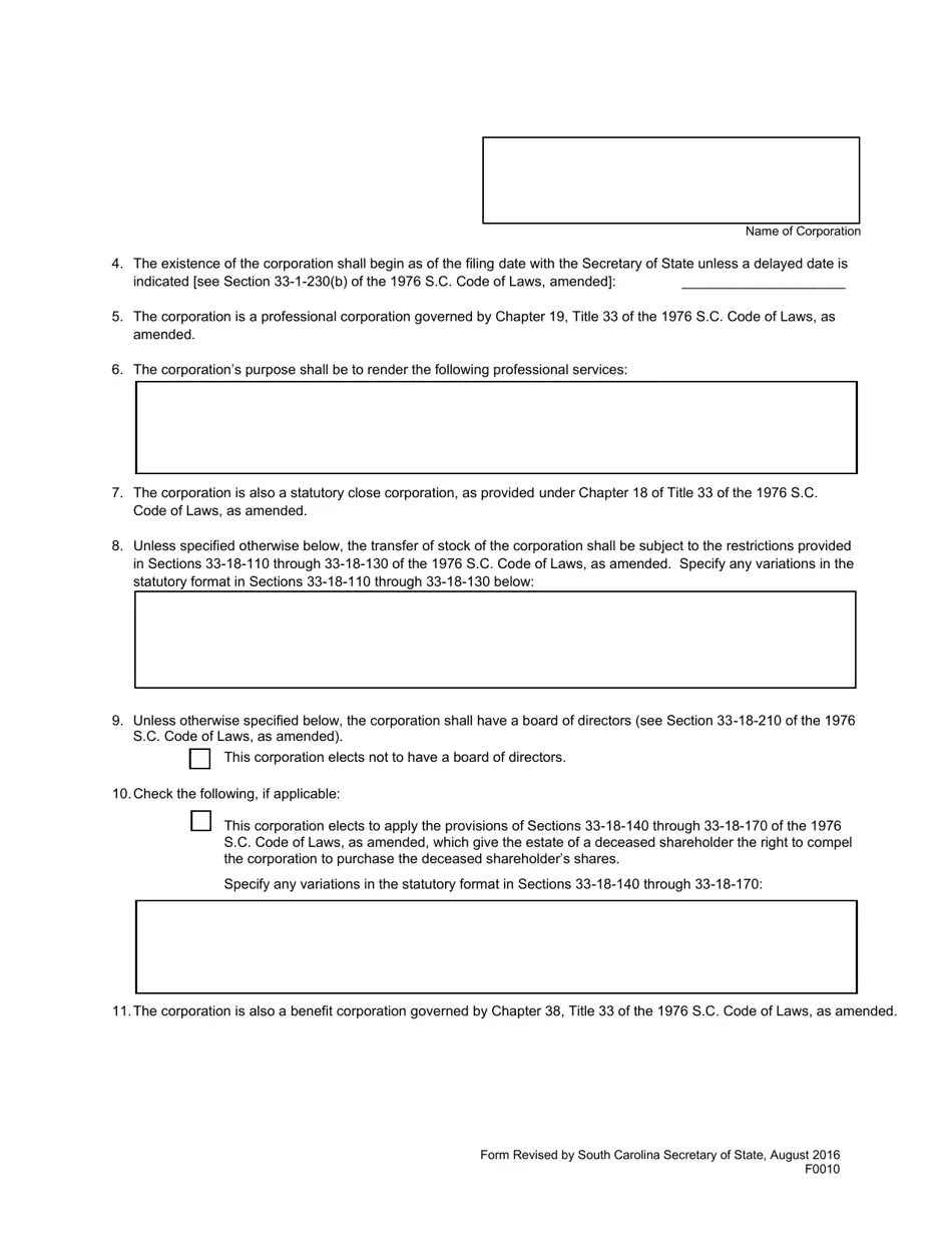
Form 0010 Fill Out, Sign Online and Download Printable PDF, South What Is A Statutory Close Corporation When these concerns are present but owners still want the flexibility of an llc or partnership, they should consider using a “statutory close. This type of corporation is held by a. The purpose of a statutory close corporation is to provide small business owners with the advantages of incorporation. Close corporations are also known as statutory close corporations because they. What Is A Statutory Close Corporation.
From www.templateroller.com
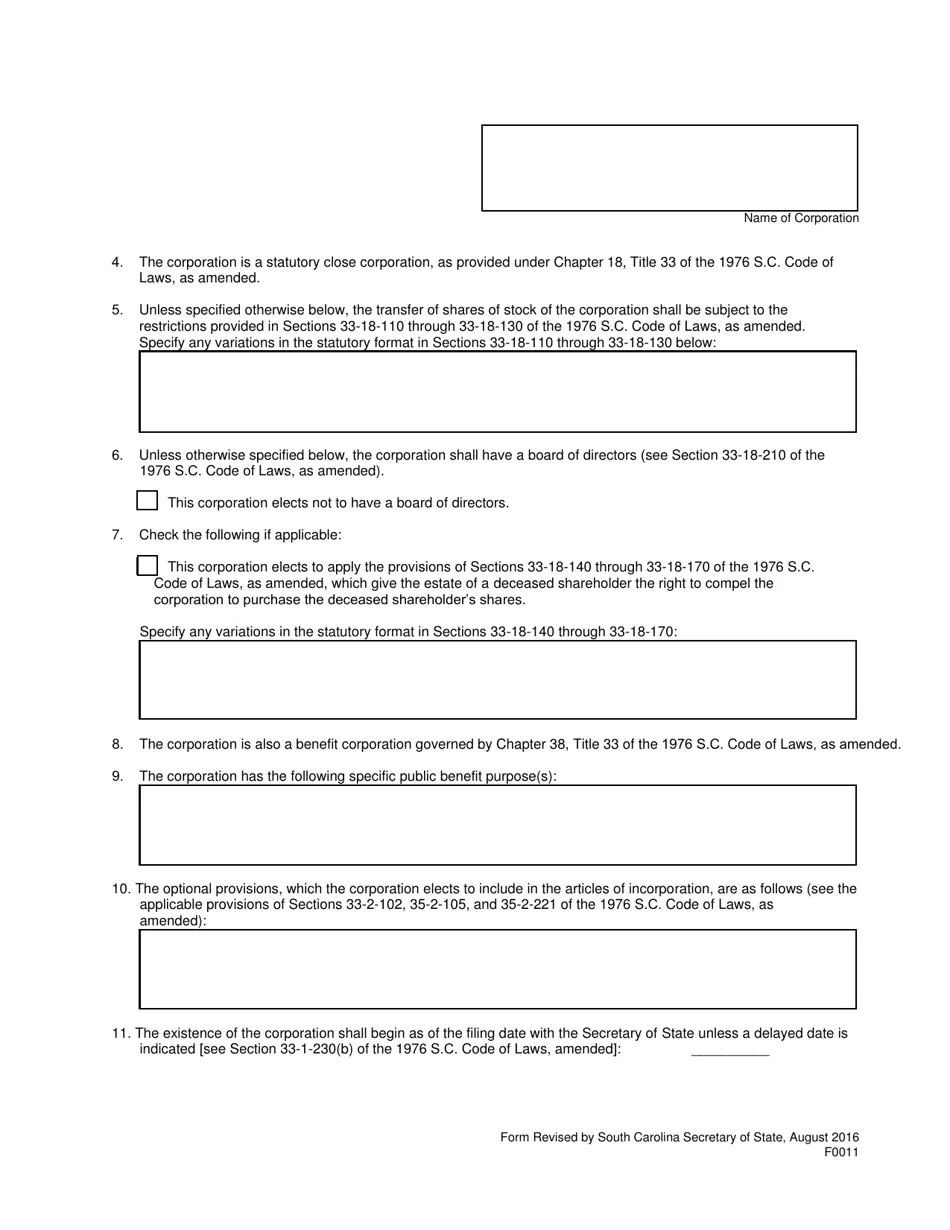
Form 0011 Fill Out, Sign Online and Download Printable PDF, South What Is A Statutory Close Corporation A close corporation is a type of corporation that is held by a limited number of shareholders and is not publicly traded. This type of corporation is held by a. A closed corporation is a company whose shares are held by a select few individuals who are usually closely associated with the business. The purpose of a statutory close corporation. What Is A Statutory Close Corporation.
From www.templateroller.com
Form DSCB152309A/2309B Fill Out, Sign Online and Download Fillable What Is A Statutory Close Corporation In california, for example, the. When these concerns are present but owners still want the flexibility of an llc or partnership, they should consider using a “statutory close. A statutory close corporation (also known as “close corporation”) is a corporation that does not publicly trade stock and is formed under a special statute. A close corporation is a type of. What Is A Statutory Close Corporation.
From slideplayer.com
© 2013 Delmar Cengage Learning ppt download What Is A Statutory Close Corporation A closed corporation is a company whose shares are held by a select few individuals who are usually closely associated with the business. This type of corporation is held by a. In california, for example, the. The purpose of a statutory close corporation is to provide small business owners with the advantages of incorporation. A statutory close corporation (also known. What Is A Statutory Close Corporation.
From www.signnow.com
Agreement of Shareholders of a Close Corporation with Management by What Is A Statutory Close Corporation A close corporation is a type of corporation that is held by a limited number of shareholders and is not publicly traded. A statutory close corporation (also known as “close corporation”) is a corporation that does not publicly trade stock and is formed under a special statute. The purpose of a statutory close corporation is to provide small business owners. What Is A Statutory Close Corporation.
From www.youtube.com
STATUTORY CORPORATIONS YouTube What Is A Statutory Close Corporation A closed corporation is a company whose shares are held by a select few individuals who are usually closely associated with the business. This type of corporation is held by a. When these concerns are present but owners still want the flexibility of an llc or partnership, they should consider using a “statutory close. In california, for example, the. The. What Is A Statutory Close Corporation.
From commercelesson.in
Features of Statutory Corporation CommerceLesson.in What Is A Statutory Close Corporation In california, for example, the. When these concerns are present but owners still want the flexibility of an llc or partnership, they should consider using a “statutory close. A closed corporation is a company whose shares are held by a select few individuals who are usually closely associated with the business. This type of corporation is held by a. A. What Is A Statutory Close Corporation.
From www.easylegalman.com
Features of Statutory or Public Corporation EASY LEGAL MAN What Is A Statutory Close Corporation This type of corporation is held by a. When these concerns are present but owners still want the flexibility of an llc or partnership, they should consider using a “statutory close. The purpose of a statutory close corporation is to provide small business owners with the advantages of incorporation. A closed corporation is a company whose shares are held by. What Is A Statutory Close Corporation.
From www.templateroller.com
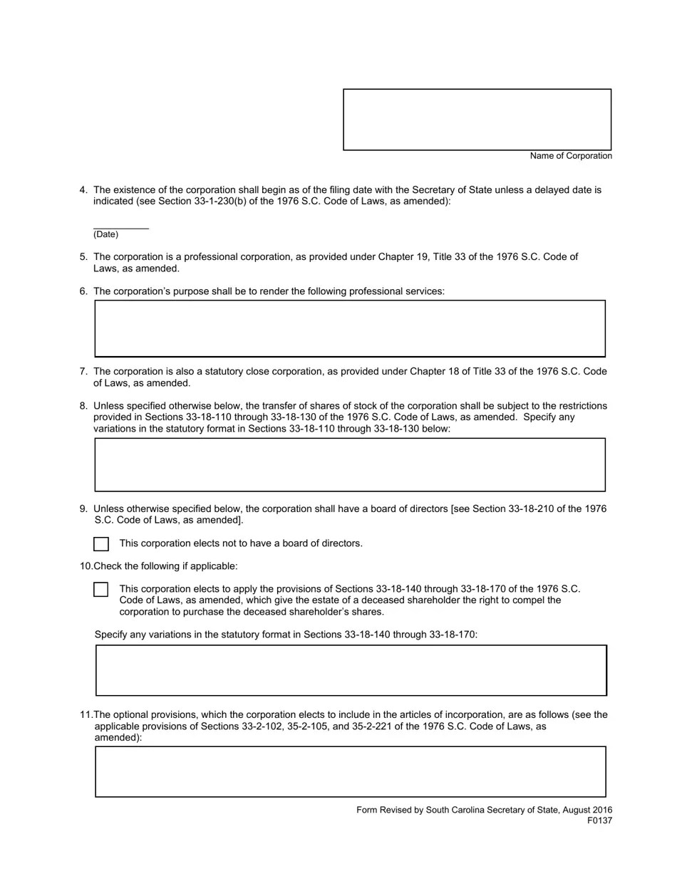
Form 0137 Fill Out, Sign Online and Download Printable PDF, South What Is A Statutory Close Corporation A closed corporation is a company whose shares are held by a select few individuals who are usually closely associated with the business. A statutory close corporation (also known as “close corporation”) is a corporation that does not publicly trade stock and is formed under a special statute. The purpose of a statutory close corporation is to provide small business. What Is A Statutory Close Corporation.
From www.templateroller.com
Form 0010 Fill Out, Sign Online and Download Printable PDF, South What Is A Statutory Close Corporation The purpose of a statutory close corporation is to provide small business owners with the advantages of incorporation. When these concerns are present but owners still want the flexibility of an llc or partnership, they should consider using a “statutory close. A close corporation is a type of corporation that is held by a limited number of shareholders and is. What Is A Statutory Close Corporation.
From www.templateroller.com
Form 0137 Fill Out, Sign Online and Download Printable PDF, South What Is A Statutory Close Corporation This type of corporation is held by a. When these concerns are present but owners still want the flexibility of an llc or partnership, they should consider using a “statutory close. The purpose of a statutory close corporation is to provide small business owners with the advantages of incorporation. A closed corporation is a company whose shares are held by. What Is A Statutory Close Corporation.
From www.youtube.com
59 Distinguish between Statutory Corporation and Government Companies What Is A Statutory Close Corporation When these concerns are present but owners still want the flexibility of an llc or partnership, they should consider using a “statutory close. A closed corporation is a company whose shares are held by a select few individuals who are usually closely associated with the business. A statutory close corporation (also known as “close corporation”) is a corporation that does. What Is A Statutory Close Corporation.
From www.youtube.com
Statutory corporations Meaning, features, Merits & Demerits Business What Is A Statutory Close Corporation A close corporation is a type of corporation that is held by a limited number of shareholders and is not publicly traded. This type of corporation is held by a. Close corporations are also known as statutory close corporations because they are governed by state statutes and have a small number of shareholders. A closed corporation is a company whose. What Is A Statutory Close Corporation.
From www.slideserve.com
PPT OH 34 PowerPoint Presentation, free download ID1320179 What Is A Statutory Close Corporation A closed corporation is a company whose shares are held by a select few individuals who are usually closely associated with the business. When these concerns are present but owners still want the flexibility of an llc or partnership, they should consider using a “statutory close. This type of corporation is held by a. A statutory close corporation (also known. What Is A Statutory Close Corporation.
From www.templateroller.com
Form 0026 Fill Out, Sign Online and Download Printable PDF, South What Is A Statutory Close Corporation Close corporations are also known as statutory close corporations because they are governed by state statutes and have a small number of shareholders. This type of corporation is held by a. A statutory close corporation (also known as “close corporation”) is a corporation that does not publicly trade stock and is formed under a special statute. A close corporation is. What Is A Statutory Close Corporation.
From www.slideserve.com
PPT CHAPTER 36 PowerPoint Presentation, free download ID852351 What Is A Statutory Close Corporation The purpose of a statutory close corporation is to provide small business owners with the advantages of incorporation. A closed corporation is a company whose shares are held by a select few individuals who are usually closely associated with the business. When these concerns are present but owners still want the flexibility of an llc or partnership, they should consider. What Is A Statutory Close Corporation.
From www.studocu.com
Close Corporations Close Corporations What is a close corporation What Is A Statutory Close Corporation This type of corporation is held by a. The purpose of a statutory close corporation is to provide small business owners with the advantages of incorporation. In california, for example, the. A closed corporation is a company whose shares are held by a select few individuals who are usually closely associated with the business. A statutory close corporation (also known. What Is A Statutory Close Corporation.
From www.pdffiller.com
Fillable Online ORGANIZING A STATUTORY CLOSE CORPORATION Fax Email What Is A Statutory Close Corporation A closed corporation is a company whose shares are held by a select few individuals who are usually closely associated with the business. In california, for example, the. The purpose of a statutory close corporation is to provide small business owners with the advantages of incorporation. When these concerns are present but owners still want the flexibility of an llc. What Is A Statutory Close Corporation.
From www.templateroller.com
Form 0026 Fill Out, Sign Online and Download Printable PDF, South What Is A Statutory Close Corporation A statutory close corporation (also known as “close corporation”) is a corporation that does not publicly trade stock and is formed under a special statute. A closed corporation is a company whose shares are held by a select few individuals who are usually closely associated with the business. The purpose of a statutory close corporation is to provide small business. What Is A Statutory Close Corporation.
From www.templateroller.com
Form 0011 Fill Out, Sign Online and Download Printable PDF, South What Is A Statutory Close Corporation A statutory close corporation (also known as “close corporation”) is a corporation that does not publicly trade stock and is formed under a special statute. The purpose of a statutory close corporation is to provide small business owners with the advantages of incorporation. A closed corporation is a company whose shares are held by a select few individuals who are. What Is A Statutory Close Corporation.
From articlesofincorporation.org
Free South Carolina Articles of Incorporation Benefit Corporation What Is A Statutory Close Corporation In california, for example, the. Close corporations are also known as statutory close corporations because they are governed by state statutes and have a small number of shareholders. A statutory close corporation (also known as “close corporation”) is a corporation that does not publicly trade stock and is formed under a special statute. The purpose of a statutory close corporation. What Is A Statutory Close Corporation.
From www.pdffiller.com
Fillable Online STATUTORY CLOSE CORPORATION Fax Email Print pdfFiller What Is A Statutory Close Corporation The purpose of a statutory close corporation is to provide small business owners with the advantages of incorporation. A closed corporation is a company whose shares are held by a select few individuals who are usually closely associated with the business. This type of corporation is held by a. Close corporations are also known as statutory close corporations because they. What Is A Statutory Close Corporation.
From tradeflock.com
Get a detailed insight to what is a statutory company What Is A Statutory Close Corporation The purpose of a statutory close corporation is to provide small business owners with the advantages of incorporation. This type of corporation is held by a. A closed corporation is a company whose shares are held by a select few individuals who are usually closely associated with the business. When these concerns are present but owners still want the flexibility. What Is A Statutory Close Corporation.
From www.moneyweb.co.za
Close Corporations’ Members’ Agreement Moneyweb What Is A Statutory Close Corporation A closed corporation is a company whose shares are held by a select few individuals who are usually closely associated with the business. A statutory close corporation (also known as “close corporation”) is a corporation that does not publicly trade stock and is formed under a special statute. The purpose of a statutory close corporation is to provide small business. What Is A Statutory Close Corporation.
From www.youtube.com
51 Features of Statutory Corporation YouTube What Is A Statutory Close Corporation Close corporations are also known as statutory close corporations because they are governed by state statutes and have a small number of shareholders. A close corporation is a type of corporation that is held by a limited number of shareholders and is not publicly traded. A statutory close corporation (also known as “close corporation”) is a corporation that does not. What Is A Statutory Close Corporation.
From www.educba.com
Closed Corporation A Complete Guide on Closed Corporation What Is A Statutory Close Corporation A statutory close corporation (also known as “close corporation”) is a corporation that does not publicly trade stock and is formed under a special statute. A close corporation is a type of corporation that is held by a limited number of shareholders and is not publicly traded. This type of corporation is held by a. The purpose of a statutory. What Is A Statutory Close Corporation.
From www.chegg.com
Solved cannot distribute dividends.Statutory close What Is A Statutory Close Corporation In california, for example, the. Close corporations are also known as statutory close corporations because they are governed by state statutes and have a small number of shareholders. A closed corporation is a company whose shares are held by a select few individuals who are usually closely associated with the business. The purpose of a statutory close corporation is to. What Is A Statutory Close Corporation.
From articlesofincorporation.org
Free South Carolina Articles of Incorporation Benefit Corporation What Is A Statutory Close Corporation A statutory close corporation (also known as “close corporation”) is a corporation that does not publicly trade stock and is formed under a special statute. The purpose of a statutory close corporation is to provide small business owners with the advantages of incorporation. This type of corporation is held by a. In california, for example, the. A closed corporation is. What Is A Statutory Close Corporation.
From www.signnow.com
Close Corporation Agreement Complete with ease airSlate SignNow What Is A Statutory Close Corporation Close corporations are also known as statutory close corporations because they are governed by state statutes and have a small number of shareholders. The purpose of a statutory close corporation is to provide small business owners with the advantages of incorporation. This type of corporation is held by a. In california, for example, the. A statutory close corporation (also known. What Is A Statutory Close Corporation.
From www.corpnet.com
What is a Statutory Close Corporation? What Is A Statutory Close Corporation A closed corporation is a company whose shares are held by a select few individuals who are usually closely associated with the business. The purpose of a statutory close corporation is to provide small business owners with the advantages of incorporation. A close corporation is a type of corporation that is held by a limited number of shareholders and is. What Is A Statutory Close Corporation.
From www.iedunote.com
Statutory Corporation Definition, Features, Advantages, Disadvantages What Is A Statutory Close Corporation Close corporations are also known as statutory close corporations because they are governed by state statutes and have a small number of shareholders. When these concerns are present but owners still want the flexibility of an llc or partnership, they should consider using a “statutory close. A statutory close corporation (also known as “close corporation”) is a corporation that does. What Is A Statutory Close Corporation.
From www.iedunote.com
Statutory Corporation Definition, Features, Advantages, Disadvantages What Is A Statutory Close Corporation A close corporation is a type of corporation that is held by a limited number of shareholders and is not publicly traded. A statutory close corporation (also known as “close corporation”) is a corporation that does not publicly trade stock and is formed under a special statute. A closed corporation is a company whose shares are held by a select. What Is A Statutory Close Corporation.
From www.scribd.com
A Statutory Corporation is a Corporation Created by Statute Preferred What Is A Statutory Close Corporation A closed corporation is a company whose shares are held by a select few individuals who are usually closely associated with the business. Close corporations are also known as statutory close corporations because they are governed by state statutes and have a small number of shareholders. The purpose of a statutory close corporation is to provide small business owners with. What Is A Statutory Close Corporation.
From www.templateroller.com
Form 0010 Fill Out, Sign Online and Download Printable PDF, South What Is A Statutory Close Corporation In california, for example, the. This type of corporation is held by a. Close corporations are also known as statutory close corporations because they are governed by state statutes and have a small number of shareholders. A closed corporation is a company whose shares are held by a select few individuals who are usually closely associated with the business. When. What Is A Statutory Close Corporation.