Differential Calculator Mathway . It helps you practice by showing. Replace x' x ′ with dx dy d x d y. For trigonometric, logarithmic, exponential, polynomial expressions. Free math problem solver answers your algebra, geometry, trigonometry, calculus, and statistics. Type in any function derivative to get the solution, steps and graph. The derivative calculator lets you calculate derivatives of functions online — for free! Our calculator allows you to check your solutions to calculus exercises. The derivative calculator supports solving first, second., fourth derivatives, as well as implicit differentiation and finding the zeros/roots.
from klapmrhqo.blob.core.windows.net
The derivative calculator supports solving first, second., fourth derivatives, as well as implicit differentiation and finding the zeros/roots. Replace x' x ′ with dx dy d x d y. Type in any function derivative to get the solution, steps and graph. The derivative calculator lets you calculate derivatives of functions online — for free! Free math problem solver answers your algebra, geometry, trigonometry, calculus, and statistics. It helps you practice by showing. For trigonometric, logarithmic, exponential, polynomial expressions. Our calculator allows you to check your solutions to calculus exercises.
Differentials Calculator With Steps at Tonya Maki blog
Differential Calculator Mathway The derivative calculator supports solving first, second., fourth derivatives, as well as implicit differentiation and finding the zeros/roots. The derivative calculator supports solving first, second., fourth derivatives, as well as implicit differentiation and finding the zeros/roots. Replace x' x ′ with dx dy d x d y. Type in any function derivative to get the solution, steps and graph. Our calculator allows you to check your solutions to calculus exercises. It helps you practice by showing. The derivative calculator lets you calculate derivatives of functions online — for free! Free math problem solver answers your algebra, geometry, trigonometry, calculus, and statistics. For trigonometric, logarithmic, exponential, polynomial expressions.
From joiqxpvxj.blob.core.windows.net
Math Differential Equations Solver at Owen Griffin blog Differential Calculator Mathway The derivative calculator lets you calculate derivatives of functions online — for free! For trigonometric, logarithmic, exponential, polynomial expressions. Free math problem solver answers your algebra, geometry, trigonometry, calculus, and statistics. Type in any function derivative to get the solution, steps and graph. Our calculator allows you to check your solutions to calculus exercises. It helps you practice by showing.. Differential Calculator Mathway.
From www.youtube.com
CASIO FX 991ES PLUS Calculator skills differentiation YouTube Differential Calculator Mathway The derivative calculator lets you calculate derivatives of functions online — for free! Our calculator allows you to check your solutions to calculus exercises. For trigonometric, logarithmic, exponential, polynomial expressions. It helps you practice by showing. Free math problem solver answers your algebra, geometry, trigonometry, calculus, and statistics. Replace x' x ′ with dx dy d x d y. The. Differential Calculator Mathway.
From www.slideserve.com
PPT Differential Calculus PowerPoint Presentation, free download ID Differential Calculator Mathway It helps you practice by showing. Free math problem solver answers your algebra, geometry, trigonometry, calculus, and statistics. The derivative calculator lets you calculate derivatives of functions online — for free! Our calculator allows you to check your solutions to calculus exercises. For trigonometric, logarithmic, exponential, polynomial expressions. Replace x' x ′ with dx dy d x d y. The. Differential Calculator Mathway.
From blog.symbolab.com
Symbolab Blog Advanced Math Solutions Ordinary Differential Differential Calculator Mathway It helps you practice by showing. The derivative calculator lets you calculate derivatives of functions online — for free! Replace x' x ′ with dx dy d x d y. Our calculator allows you to check your solutions to calculus exercises. For trigonometric, logarithmic, exponential, polynomial expressions. Type in any function derivative to get the solution, steps and graph. Free. Differential Calculator Mathway.
From blog.symbolab.com
Symbolab Blog Advanced Math Solutions Ordinary Differential Differential Calculator Mathway For trigonometric, logarithmic, exponential, polynomial expressions. Our calculator allows you to check your solutions to calculus exercises. The derivative calculator lets you calculate derivatives of functions online — for free! The derivative calculator supports solving first, second., fourth derivatives, as well as implicit differentiation and finding the zeros/roots. Replace x' x ′ with dx dy d x d y. It. Differential Calculator Mathway.
From www.printnpractice.com
7 Mathway Calculator Math Problem Solvers Show The Steps Differential Calculator Mathway Our calculator allows you to check your solutions to calculus exercises. It helps you practice by showing. Type in any function derivative to get the solution, steps and graph. Free math problem solver answers your algebra, geometry, trigonometry, calculus, and statistics. The derivative calculator supports solving first, second., fourth derivatives, as well as implicit differentiation and finding the zeros/roots. The. Differential Calculator Mathway.
From www.youtube.com
How to Differentiate using calculator YouTube Differential Calculator Mathway It helps you practice by showing. The derivative calculator lets you calculate derivatives of functions online — for free! The derivative calculator supports solving first, second., fourth derivatives, as well as implicit differentiation and finding the zeros/roots. Replace x' x ′ with dx dy d x d y. Our calculator allows you to check your solutions to calculus exercises. For. Differential Calculator Mathway.
From cuyhay.blogspot.com
Mathway Com Algebra Calculator itsa Differential Calculator Mathway It helps you practice by showing. Replace x' x ′ with dx dy d x d y. Our calculator allows you to check your solutions to calculus exercises. The derivative calculator supports solving first, second., fourth derivatives, as well as implicit differentiation and finding the zeros/roots. For trigonometric, logarithmic, exponential, polynomial expressions. Free math problem solver answers your algebra, geometry,. Differential Calculator Mathway.
From ellenwoods983viral.blogspot.com
Differentiation Calculator Product Rule Differential Calculator Mathway It helps you practice by showing. Free math problem solver answers your algebra, geometry, trigonometry, calculus, and statistics. The derivative calculator supports solving first, second., fourth derivatives, as well as implicit differentiation and finding the zeros/roots. Replace x' x ′ with dx dy d x d y. For trigonometric, logarithmic, exponential, polynomial expressions. The derivative calculator lets you calculate derivatives. Differential Calculator Mathway.
From www.youtube.com
Exact differential equations how to solve YouTube Differential Calculator Mathway The derivative calculator supports solving first, second., fourth derivatives, as well as implicit differentiation and finding the zeros/roots. For trigonometric, logarithmic, exponential, polynomial expressions. The derivative calculator lets you calculate derivatives of functions online — for free! Replace x' x ′ with dx dy d x d y. Our calculator allows you to check your solutions to calculus exercises. It. Differential Calculator Mathway.
From www.youtube.com
How to solve differential equation using calculator Roots of Differential Calculator Mathway The derivative calculator lets you calculate derivatives of functions online — for free! For trigonometric, logarithmic, exponential, polynomial expressions. Free math problem solver answers your algebra, geometry, trigonometry, calculus, and statistics. Type in any function derivative to get the solution, steps and graph. The derivative calculator supports solving first, second., fourth derivatives, as well as implicit differentiation and finding the. Differential Calculator Mathway.
From www.youtube.com
Differential Equations (Calculator Technique 4) YouTube Differential Calculator Mathway It helps you practice by showing. For trigonometric, logarithmic, exponential, polynomial expressions. Type in any function derivative to get the solution, steps and graph. Replace x' x ′ with dx dy d x d y. The derivative calculator lets you calculate derivatives of functions online — for free! The derivative calculator supports solving first, second., fourth derivatives, as well as. Differential Calculator Mathway.
From discoverynored.weebly.com
Differential equation calculator discoverynored Differential Calculator Mathway Free math problem solver answers your algebra, geometry, trigonometry, calculus, and statistics. Replace x' x ′ with dx dy d x d y. The derivative calculator supports solving first, second., fourth derivatives, as well as implicit differentiation and finding the zeros/roots. The derivative calculator lets you calculate derivatives of functions online — for free! Our calculator allows you to check. Differential Calculator Mathway.
From www.youtube.com
How to solve exact differential equations YouTube Differential Calculator Mathway The derivative calculator supports solving first, second., fourth derivatives, as well as implicit differentiation and finding the zeros/roots. The derivative calculator lets you calculate derivatives of functions online — for free! Our calculator allows you to check your solutions to calculus exercises. For trigonometric, logarithmic, exponential, polynomial expressions. Type in any function derivative to get the solution, steps and graph.. Differential Calculator Mathway.
From narodnatribuna.info
Differential Equation Calculator Differential Calculator Mathway Our calculator allows you to check your solutions to calculus exercises. The derivative calculator supports solving first, second., fourth derivatives, as well as implicit differentiation and finding the zeros/roots. Replace x' x ′ with dx dy d x d y. Free math problem solver answers your algebra, geometry, trigonometry, calculus, and statistics. The derivative calculator lets you calculate derivatives of. Differential Calculator Mathway.
From www.cuemath.com
Differential Equation Calculator Examples, Facts Differential Calculator Mathway For trigonometric, logarithmic, exponential, polynomial expressions. Our calculator allows you to check your solutions to calculus exercises. The derivative calculator supports solving first, second., fourth derivatives, as well as implicit differentiation and finding the zeros/roots. It helps you practice by showing. Type in any function derivative to get the solution, steps and graph. The derivative calculator lets you calculate derivatives. Differential Calculator Mathway.
From www.youtube.com
The total differential Calculus in a Nutshell LetThereBeMath Differential Calculator Mathway Free math problem solver answers your algebra, geometry, trigonometry, calculus, and statistics. Replace x' x ′ with dx dy d x d y. Our calculator allows you to check your solutions to calculus exercises. For trigonometric, logarithmic, exponential, polynomial expressions. The derivative calculator lets you calculate derivatives of functions online — for free! Type in any function derivative to get. Differential Calculator Mathway.
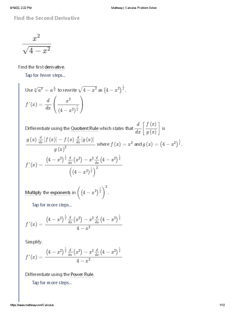
From www.scribd.com
Mathway Calculus Problem Solver PDF Mathematical Objects Differential Calculator Mathway Replace x' x ′ with dx dy d x d y. Our calculator allows you to check your solutions to calculus exercises. For trigonometric, logarithmic, exponential, polynomial expressions. The derivative calculator supports solving first, second., fourth derivatives, as well as implicit differentiation and finding the zeros/roots. The derivative calculator lets you calculate derivatives of functions online — for free! Free. Differential Calculator Mathway.
From byjus.com
Differential Calculus (Formulas and Examples) Differential Calculator Mathway Replace x' x ′ with dx dy d x d y. Free math problem solver answers your algebra, geometry, trigonometry, calculus, and statistics. For trigonometric, logarithmic, exponential, polynomial expressions. The derivative calculator supports solving first, second., fourth derivatives, as well as implicit differentiation and finding the zeros/roots. It helps you practice by showing. Our calculator allows you to check your. Differential Calculator Mathway.
From www.youtube.com
How to solve Differential Calculus in Calculator Casio MS Calculator Differential Calculator Mathway The derivative calculator lets you calculate derivatives of functions online — for free! The derivative calculator supports solving first, second., fourth derivatives, as well as implicit differentiation and finding the zeros/roots. For trigonometric, logarithmic, exponential, polynomial expressions. Free math problem solver answers your algebra, geometry, trigonometry, calculus, and statistics. Type in any function derivative to get the solution, steps and. Differential Calculator Mathway.
From www.youtube.com
Belajar Differential dengan Calculator Casio fx 991ID Plus YouTube Differential Calculator Mathway It helps you practice by showing. Type in any function derivative to get the solution, steps and graph. Free math problem solver answers your algebra, geometry, trigonometry, calculus, and statistics. For trigonometric, logarithmic, exponential, polynomial expressions. Our calculator allows you to check your solutions to calculus exercises. The derivative calculator lets you calculate derivatives of functions online — for free!. Differential Calculator Mathway.
From www.youtube.com
Differential Calculus Explained in Just 4 Minutes YouTube Differential Calculator Mathway For trigonometric, logarithmic, exponential, polynomial expressions. The derivative calculator supports solving first, second., fourth derivatives, as well as implicit differentiation and finding the zeros/roots. It helps you practice by showing. Replace x' x ′ with dx dy d x d y. Type in any function derivative to get the solution, steps and graph. The derivative calculator lets you calculate derivatives. Differential Calculator Mathway.
From idealcalculator.com
Differential equation calculator with initial condition Differential Differential Calculator Mathway Our calculator allows you to check your solutions to calculus exercises. It helps you practice by showing. Replace x' x ′ with dx dy d x d y. Type in any function derivative to get the solution, steps and graph. Free math problem solver answers your algebra, geometry, trigonometry, calculus, and statistics. The derivative calculator lets you calculate derivatives of. Differential Calculator Mathway.
From www.educatorstechnology.com
Mathway Calculator A Great Math Problem Solver for Students Differential Calculator Mathway For trigonometric, logarithmic, exponential, polynomial expressions. It helps you practice by showing. Our calculator allows you to check your solutions to calculus exercises. The derivative calculator supports solving first, second., fourth derivatives, as well as implicit differentiation and finding the zeros/roots. Free math problem solver answers your algebra, geometry, trigonometry, calculus, and statistics. The derivative calculator lets you calculate derivatives. Differential Calculator Mathway.
From www.youtube.com
How to solve differential equations in calculator any calculator Differential Calculator Mathway For trigonometric, logarithmic, exponential, polynomial expressions. Replace x' x ′ with dx dy d x d y. The derivative calculator supports solving first, second., fourth derivatives, as well as implicit differentiation and finding the zeros/roots. Free math problem solver answers your algebra, geometry, trigonometry, calculus, and statistics. The derivative calculator lets you calculate derivatives of functions online — for free!. Differential Calculator Mathway.
From stalfimidli.weebly.com
Differentialequationcalculator LINK Differential Calculator Mathway Our calculator allows you to check your solutions to calculus exercises. Free math problem solver answers your algebra, geometry, trigonometry, calculus, and statistics. The derivative calculator supports solving first, second., fourth derivatives, as well as implicit differentiation and finding the zeros/roots. It helps you practice by showing. For trigonometric, logarithmic, exponential, polynomial expressions. The derivative calculator lets you calculate derivatives. Differential Calculator Mathway.
From www.numerade.com
SOLVEDUse the total differential to approximate each quantity. Then Differential Calculator Mathway Free math problem solver answers your algebra, geometry, trigonometry, calculus, and statistics. It helps you practice by showing. The derivative calculator supports solving first, second., fourth derivatives, as well as implicit differentiation and finding the zeros/roots. For trigonometric, logarithmic, exponential, polynomial expressions. The derivative calculator lets you calculate derivatives of functions online — for free! Our calculator allows you to. Differential Calculator Mathway.
From blog.symbolab.com
Symbolab Blog Advanced Math Solutions Ordinary Differential Differential Calculator Mathway It helps you practice by showing. Our calculator allows you to check your solutions to calculus exercises. Type in any function derivative to get the solution, steps and graph. The derivative calculator supports solving first, second., fourth derivatives, as well as implicit differentiation and finding the zeros/roots. Replace x' x ′ with dx dy d x d y. Free math. Differential Calculator Mathway.
From blog.symbolab.com
Symbolab Blog Advanced Math Solutions Ordinary Differential Differential Calculator Mathway For trigonometric, logarithmic, exponential, polynomial expressions. Type in any function derivative to get the solution, steps and graph. The derivative calculator supports solving first, second., fourth derivatives, as well as implicit differentiation and finding the zeros/roots. Our calculator allows you to check your solutions to calculus exercises. Free math problem solver answers your algebra, geometry, trigonometry, calculus, and statistics. It. Differential Calculator Mathway.
From klapmrhqo.blob.core.windows.net
Differentials Calculator With Steps at Tonya Maki blog Differential Calculator Mathway Free math problem solver answers your algebra, geometry, trigonometry, calculus, and statistics. Type in any function derivative to get the solution, steps and graph. For trigonometric, logarithmic, exponential, polynomial expressions. Our calculator allows you to check your solutions to calculus exercises. The derivative calculator lets you calculate derivatives of functions online — for free! The derivative calculator supports solving first,. Differential Calculator Mathway.
From www.youtube.com
Determine if the differential equation is exact Example 2 YouTube Differential Calculator Mathway Type in any function derivative to get the solution, steps and graph. The derivative calculator lets you calculate derivatives of functions online — for free! For trigonometric, logarithmic, exponential, polynomial expressions. The derivative calculator supports solving first, second., fourth derivatives, as well as implicit differentiation and finding the zeros/roots. Replace x' x ′ with dx dy d x d y.. Differential Calculator Mathway.
From www.youtube.com
Solve Differential Equations in MATLAB and Simulink YouTube Differential Calculator Mathway It helps you practice by showing. For trigonometric, logarithmic, exponential, polynomial expressions. Free math problem solver answers your algebra, geometry, trigonometry, calculus, and statistics. Type in any function derivative to get the solution, steps and graph. Our calculator allows you to check your solutions to calculus exercises. Replace x' x ′ with dx dy d x d y. The derivative. Differential Calculator Mathway.
From www.youtube.com
How to Evaluate Derivatives and Draw the Derivative Function With a Differential Calculator Mathway Type in any function derivative to get the solution, steps and graph. It helps you practice by showing. Our calculator allows you to check your solutions to calculus exercises. The derivative calculator lets you calculate derivatives of functions online — for free! Free math problem solver answers your algebra, geometry, trigonometry, calculus, and statistics. For trigonometric, logarithmic, exponential, polynomial expressions.. Differential Calculator Mathway.
From www.youtube.com
Solution of First Order Differential Equations Calculator Technique Differential Calculator Mathway Type in any function derivative to get the solution, steps and graph. The derivative calculator supports solving first, second., fourth derivatives, as well as implicit differentiation and finding the zeros/roots. The derivative calculator lets you calculate derivatives of functions online — for free! Free math problem solver answers your algebra, geometry, trigonometry, calculus, and statistics. For trigonometric, logarithmic, exponential, polynomial. Differential Calculator Mathway.
From onlinecalculator.guru
Differential Equation Calculator Free Calculator Tool Differential Calculator Mathway The derivative calculator lets you calculate derivatives of functions online — for free! For trigonometric, logarithmic, exponential, polynomial expressions. It helps you practice by showing. The derivative calculator supports solving first, second., fourth derivatives, as well as implicit differentiation and finding the zeros/roots. Type in any function derivative to get the solution, steps and graph. Free math problem solver answers. Differential Calculator Mathway.