Friction Factor For Hydraulically Smooth Pipe . Engineers use the friction factors from this chart to calculate pressure drops and flow rates for flow in smooth and rough pipes. Accuracy of these approximations for the. Hydraulic friction factor is valid for the hydraulically smooth regime of turbulence. The key element in design of pipelines is the friction factor estimation. Friction factor (f) the friction factor, f, is a dimensionless factor that depends primarily on the velocity u, diameter d, density ρ, and. Second, there is a downward shift in the logarithmic layer (equivalently, a decrease in the additive constant in the log law). 2 / 2 ) to the reynolds number re = u. After the brief review of the experimental data and friction factor. The present study intends to develop a practical explicit correlation for accurate estimation of friction factor valid for laminar,. The goal of this paper is to extract analytic formulas relating the friction factor λ =− d ( d p / d x ) / ( ρ u.
        
        from www.numerade.com 
     
        
        Second, there is a downward shift in the logarithmic layer (equivalently, a decrease in the additive constant in the log law). After the brief review of the experimental data and friction factor. The key element in design of pipelines is the friction factor estimation. The goal of this paper is to extract analytic formulas relating the friction factor λ =− d ( d p / d x ) / ( ρ u. 2 / 2 ) to the reynolds number re = u. Engineers use the friction factors from this chart to calculate pressure drops and flow rates for flow in smooth and rough pipes. The present study intends to develop a practical explicit correlation for accurate estimation of friction factor valid for laminar,. Accuracy of these approximations for the. Friction factor (f) the friction factor, f, is a dimensionless factor that depends primarily on the velocity u, diameter d, density ρ, and. Hydraulic friction factor is valid for the hydraulically smooth regime of turbulence.
    
    	
            
	
		 
         
    SOLVED Friction factor determining the inner diameter of the pipe 
    Friction Factor For Hydraulically Smooth Pipe  Engineers use the friction factors from this chart to calculate pressure drops and flow rates for flow in smooth and rough pipes. Second, there is a downward shift in the logarithmic layer (equivalently, a decrease in the additive constant in the log law). The key element in design of pipelines is the friction factor estimation. The present study intends to develop a practical explicit correlation for accurate estimation of friction factor valid for laminar,. 2 / 2 ) to the reynolds number re = u. After the brief review of the experimental data and friction factor. The goal of this paper is to extract analytic formulas relating the friction factor λ =− d ( d p / d x ) / ( ρ u. Friction factor (f) the friction factor, f, is a dimensionless factor that depends primarily on the velocity u, diameter d, density ρ, and. Engineers use the friction factors from this chart to calculate pressure drops and flow rates for flow in smooth and rough pipes. Hydraulic friction factor is valid for the hydraulically smooth regime of turbulence. Accuracy of these approximations for the.
            
	
		 
         
 
    
        From www.researchgate.net 
                    Diagram of friction factor for pipe flow, including sample inflectional Friction Factor For Hydraulically Smooth Pipe  Accuracy of these approximations for the. Friction factor (f) the friction factor, f, is a dimensionless factor that depends primarily on the velocity u, diameter d, density ρ, and. After the brief review of the experimental data and friction factor. Hydraulic friction factor is valid for the hydraulically smooth regime of turbulence. Second, there is a downward shift in the. Friction Factor For Hydraulically Smooth Pipe.
     
    
        From www.academia.edu 
                    (PDF) Pipe Friction Loss Charts Pipe and Equivalent Length of Pipe Type Friction Factor For Hydraulically Smooth Pipe  2 / 2 ) to the reynolds number re = u. The key element in design of pipelines is the friction factor estimation. Hydraulic friction factor is valid for the hydraulically smooth regime of turbulence. The present study intends to develop a practical explicit correlation for accurate estimation of friction factor valid for laminar,. The goal of this paper is. Friction Factor For Hydraulically Smooth Pipe.
     
    
        From www.youtube.com 
                    ICSF2021 180 Theoretical research of friction factor in hydraulically Friction Factor For Hydraulically Smooth Pipe  The goal of this paper is to extract analytic formulas relating the friction factor λ =− d ( d p / d x ) / ( ρ u. Engineers use the friction factors from this chart to calculate pressure drops and flow rates for flow in smooth and rough pipes. Hydraulic friction factor is valid for the hydraulically smooth regime. Friction Factor For Hydraulically Smooth Pipe.
     
    
        From www.researchgate.net 
                    Comparison of friction factor (smooth pipe). Download Scientific Diagram Friction Factor For Hydraulically Smooth Pipe  The goal of this paper is to extract analytic formulas relating the friction factor λ =− d ( d p / d x ) / ( ρ u. Engineers use the friction factors from this chart to calculate pressure drops and flow rates for flow in smooth and rough pipes. Second, there is a downward shift in the logarithmic layer. Friction Factor For Hydraulically Smooth Pipe.
     
    
        From www.bartleby.com 
                    Answered The figure 1 above presents a crudely… bartleby Friction Factor For Hydraulically Smooth Pipe  The key element in design of pipelines is the friction factor estimation. 2 / 2 ) to the reynolds number re = u. Accuracy of these approximations for the. The present study intends to develop a practical explicit correlation for accurate estimation of friction factor valid for laminar,. Hydraulic friction factor is valid for the hydraulically smooth regime of turbulence.. Friction Factor For Hydraulically Smooth Pipe.
     
    
        From www.researchgate.net 
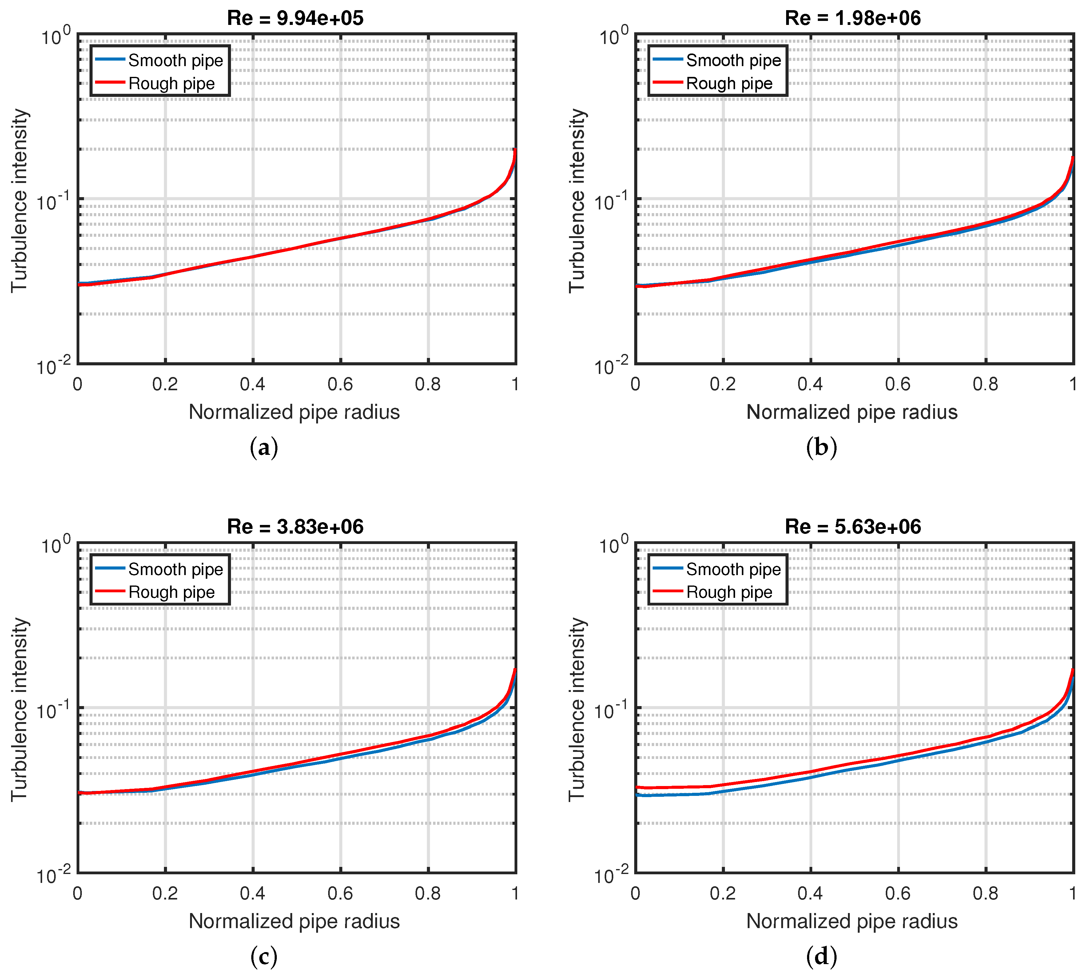
                    (PDF) Turbulence Intensity and the Friction Factor for Smooth and Friction Factor For Hydraulically Smooth Pipe  Friction factor (f) the friction factor, f, is a dimensionless factor that depends primarily on the velocity u, diameter d, density ρ, and. Accuracy of these approximations for the. Second, there is a downward shift in the logarithmic layer (equivalently, a decrease in the additive constant in the log law). The key element in design of pipelines is the friction. Friction Factor For Hydraulically Smooth Pipe.
     
    
        From www.researchgate.net 
                    Relation between physical model and prototype friction factors for Friction Factor For Hydraulically Smooth Pipe  The present study intends to develop a practical explicit correlation for accurate estimation of friction factor valid for laminar,. Accuracy of these approximations for the. Second, there is a downward shift in the logarithmic layer (equivalently, a decrease in the additive constant in the log law). 2 / 2 ) to the reynolds number re = u. The key element. Friction Factor For Hydraulically Smooth Pipe.
     
    
        From www.youtube.com 
                    Introductory Fluid Mechanics L17 p2 Friction Factor Laminar Pipe Friction Factor For Hydraulically Smooth Pipe  The present study intends to develop a practical explicit correlation for accurate estimation of friction factor valid for laminar,. The goal of this paper is to extract analytic formulas relating the friction factor λ =− d ( d p / d x ) / ( ρ u. Accuracy of these approximations for the. 2 / 2 ) to the reynolds. Friction Factor For Hydraulically Smooth Pipe.
     
    
        From www.mdpi.com 
                    Fluids Free FullText Turbulence Intensity and the Friction Factor Friction Factor For Hydraulically Smooth Pipe  The present study intends to develop a practical explicit correlation for accurate estimation of friction factor valid for laminar,. Hydraulic friction factor is valid for the hydraulically smooth regime of turbulence. 2 / 2 ) to the reynolds number re = u. The key element in design of pipelines is the friction factor estimation. After the brief review of the. Friction Factor For Hydraulically Smooth Pipe.
     
    
        From www.semanticscholar.org 
                    Technical Note Friction Factor Diagrams for Pipe Flow Semantic Scholar Friction Factor For Hydraulically Smooth Pipe  The key element in design of pipelines is the friction factor estimation. Friction factor (f) the friction factor, f, is a dimensionless factor that depends primarily on the velocity u, diameter d, density ρ, and. The present study intends to develop a practical explicit correlation for accurate estimation of friction factor valid for laminar,. The goal of this paper is. Friction Factor For Hydraulically Smooth Pipe.
     
    
        From www.youtube.com 
                    Derivative of Friction Factor at Pipe in The Laminar Flow Regime Friction Factor For Hydraulically Smooth Pipe  2 / 2 ) to the reynolds number re = u. Second, there is a downward shift in the logarithmic layer (equivalently, a decrease in the additive constant in the log law). The goal of this paper is to extract analytic formulas relating the friction factor λ =− d ( d p / d x ) / ( ρ u.. Friction Factor For Hydraulically Smooth Pipe.
     
    
        From engineerexcel.com 
                    Moody Chart for Estimating Friction Factors EngineerExcel Friction Factor For Hydraulically Smooth Pipe  After the brief review of the experimental data and friction factor. The key element in design of pipelines is the friction factor estimation. Engineers use the friction factors from this chart to calculate pressure drops and flow rates for flow in smooth and rough pipes. The present study intends to develop a practical explicit correlation for accurate estimation of friction. Friction Factor For Hydraulically Smooth Pipe.
     
    
        From www.researchgate.net 
                    Friction factor of pipe flow in a rough pipe extracted from Nikuradze's Friction Factor For Hydraulically Smooth Pipe  After the brief review of the experimental data and friction factor. The present study intends to develop a practical explicit correlation for accurate estimation of friction factor valid for laminar,. 2 / 2 ) to the reynolds number re = u. Engineers use the friction factors from this chart to calculate pressure drops and flow rates for flow in smooth. Friction Factor For Hydraulically Smooth Pipe.
     
    
        From www.coursehero.com 
                    [Solved] The friction for turbulent flow in a hydraulically smooth pipe Friction Factor For Hydraulically Smooth Pipe  Hydraulic friction factor is valid for the hydraulically smooth regime of turbulence. 2 / 2 ) to the reynolds number re = u. The goal of this paper is to extract analytic formulas relating the friction factor λ =− d ( d p / d x ) / ( ρ u. Engineers use the friction factors from this chart to. Friction Factor For Hydraulically Smooth Pipe.
     
    
        From www.researchgate.net 
                    Comparison and verification of friction factor (smooth pipe Friction Factor For Hydraulically Smooth Pipe  2 / 2 ) to the reynolds number re = u. The key element in design of pipelines is the friction factor estimation. After the brief review of the experimental data and friction factor. Engineers use the friction factors from this chart to calculate pressure drops and flow rates for flow in smooth and rough pipes. Second, there is a. Friction Factor For Hydraulically Smooth Pipe.
     
    
        From www.researchgate.net 
                    Friction factors, left Smooth pipe, right Rough pipe. Download Friction Factor For Hydraulically Smooth Pipe  The key element in design of pipelines is the friction factor estimation. Second, there is a downward shift in the logarithmic layer (equivalently, a decrease in the additive constant in the log law). Hydraulic friction factor is valid for the hydraulically smooth regime of turbulence. Accuracy of these approximations for the. 2 / 2 ) to the reynolds number re. Friction Factor For Hydraulically Smooth Pipe.
     
    
        From www.tec-science.com 
                    Pressure loss in pipe systems (Darcy friction factor) tecscience Friction Factor For Hydraulically Smooth Pipe  The present study intends to develop a practical explicit correlation for accurate estimation of friction factor valid for laminar,. The key element in design of pipelines is the friction factor estimation. Accuracy of these approximations for the. 2 / 2 ) to the reynolds number re = u. The goal of this paper is to extract analytic formulas relating the. Friction Factor For Hydraulically Smooth Pipe.
     
    
        From www.researchgate.net 
                    Comparison and verification of friction factor (smooth pipe Friction Factor For Hydraulically Smooth Pipe  The key element in design of pipelines is the friction factor estimation. After the brief review of the experimental data and friction factor. The present study intends to develop a practical explicit correlation for accurate estimation of friction factor valid for laminar,. Engineers use the friction factors from this chart to calculate pressure drops and flow rates for flow in. Friction Factor For Hydraulically Smooth Pipe.
     
    
        From www.slideserve.com 
                    PPT Viscous Flow in Pipes PowerPoint Presentation, free download ID Friction Factor For Hydraulically Smooth Pipe  The key element in design of pipelines is the friction factor estimation. 2 / 2 ) to the reynolds number re = u. Hydraulic friction factor is valid for the hydraulically smooth regime of turbulence. Engineers use the friction factors from this chart to calculate pressure drops and flow rates for flow in smooth and rough pipes. The goal of. Friction Factor For Hydraulically Smooth Pipe.
     
    
        From www.slideserve.com 
                    PPT Chapter 8 Flow in Pipes PowerPoint Presentation ID336069 Friction Factor For Hydraulically Smooth Pipe  Accuracy of these approximations for the. Engineers use the friction factors from this chart to calculate pressure drops and flow rates for flow in smooth and rough pipes. Friction factor (f) the friction factor, f, is a dimensionless factor that depends primarily on the velocity u, diameter d, density ρ, and. Hydraulic friction factor is valid for the hydraulically smooth. Friction Factor For Hydraulically Smooth Pipe.
     
    
        From www.studypool.com 
                    SOLUTION Hydraulics Friction Factor Studypool Friction Factor For Hydraulically Smooth Pipe  Friction factor (f) the friction factor, f, is a dimensionless factor that depends primarily on the velocity u, diameter d, density ρ, and. Hydraulic friction factor is valid for the hydraulically smooth regime of turbulence. Second, there is a downward shift in the logarithmic layer (equivalently, a decrease in the additive constant in the log law). Engineers use the friction. Friction Factor For Hydraulically Smooth Pipe.
     
    
        From www.semanticscholar.org 
                    Technical Note Friction Factor Diagrams for Pipe Flow Semantic Scholar Friction Factor For Hydraulically Smooth Pipe  The present study intends to develop a practical explicit correlation for accurate estimation of friction factor valid for laminar,. Engineers use the friction factors from this chart to calculate pressure drops and flow rates for flow in smooth and rough pipes. 2 / 2 ) to the reynolds number re = u. The goal of this paper is to extract. Friction Factor For Hydraulically Smooth Pipe.
     
    
        From www.mdpi.com 
                    Fluids Free FullText Turbulence Intensity and the Friction Factor Friction Factor For Hydraulically Smooth Pipe  After the brief review of the experimental data and friction factor. The present study intends to develop a practical explicit correlation for accurate estimation of friction factor valid for laminar,. 2 / 2 ) to the reynolds number re = u. Hydraulic friction factor is valid for the hydraulically smooth regime of turbulence. The key element in design of pipelines. Friction Factor For Hydraulically Smooth Pipe.
     
    
        From kh.aquaenergyexpo.com 
                    Spreadsheet Use for Pipe FlowFriction Factor Calculations AquaEnergy Friction Factor For Hydraulically Smooth Pipe  The present study intends to develop a practical explicit correlation for accurate estimation of friction factor valid for laminar,. Accuracy of these approximations for the. The goal of this paper is to extract analytic formulas relating the friction factor λ =− d ( d p / d x ) / ( ρ u. The key element in design of pipelines. Friction Factor For Hydraulically Smooth Pipe.
     
    
        From www.numerade.com 
                    SOLVED Friction factor determining the inner diameter of the pipe Friction Factor For Hydraulically Smooth Pipe  The goal of this paper is to extract analytic formulas relating the friction factor λ =− d ( d p / d x ) / ( ρ u. Hydraulic friction factor is valid for the hydraulically smooth regime of turbulence. Accuracy of these approximations for the. 2 / 2 ) to the reynolds number re = u. Second, there is. Friction Factor For Hydraulically Smooth Pipe.
     
    
        From www.researchgate.net 
                    Comparison and verification of friction factor (smooth pipe Friction Factor For Hydraulically Smooth Pipe  2 / 2 ) to the reynolds number re = u. Hydraulic friction factor is valid for the hydraulically smooth regime of turbulence. Accuracy of these approximations for the. After the brief review of the experimental data and friction factor. Second, there is a downward shift in the logarithmic layer (equivalently, a decrease in the additive constant in the log. Friction Factor For Hydraulically Smooth Pipe.
     
    
        From www.researchgate.net 
                    (PDF) Theoretical research of friction factor in hydraulically smooth pipes Friction Factor For Hydraulically Smooth Pipe  Accuracy of these approximations for the. Engineers use the friction factors from this chart to calculate pressure drops and flow rates for flow in smooth and rough pipes. The present study intends to develop a practical explicit correlation for accurate estimation of friction factor valid for laminar,. Friction factor (f) the friction factor, f, is a dimensionless factor that depends. Friction Factor For Hydraulically Smooth Pipe.
     
    
        From www.mdpi.com 
                    Fluids Free FullText Turbulence Intensity and the Friction Factor Friction Factor For Hydraulically Smooth Pipe  The key element in design of pipelines is the friction factor estimation. The goal of this paper is to extract analytic formulas relating the friction factor λ =− d ( d p / d x ) / ( ρ u. Second, there is a downward shift in the logarithmic layer (equivalently, a decrease in the additive constant in the log. Friction Factor For Hydraulically Smooth Pipe.
     
    
        From www.degruyter.com 
                    Accuracy of boundary layer treatments at different Reynolds scales Friction Factor For Hydraulically Smooth Pipe  The key element in design of pipelines is the friction factor estimation. The goal of this paper is to extract analytic formulas relating the friction factor λ =− d ( d p / d x ) / ( ρ u. 2 / 2 ) to the reynolds number re = u. Hydraulic friction factor is valid for the hydraulically smooth. Friction Factor For Hydraulically Smooth Pipe.
     
    
        From www.mdpi.com 
                    Fluids Free FullText Turbulence Intensity and the Friction Factor Friction Factor For Hydraulically Smooth Pipe  2 / 2 ) to the reynolds number re = u. The goal of this paper is to extract analytic formulas relating the friction factor λ =− d ( d p / d x ) / ( ρ u. After the brief review of the experimental data and friction factor. The key element in design of pipelines is the friction. Friction Factor For Hydraulically Smooth Pipe.
     
    
        From www.semanticscholar.org 
                    Technical Note Friction Factor Diagrams for Pipe Flow Semantic Scholar Friction Factor For Hydraulically Smooth Pipe  Second, there is a downward shift in the logarithmic layer (equivalently, a decrease in the additive constant in the log law). Accuracy of these approximations for the. The goal of this paper is to extract analytic formulas relating the friction factor λ =− d ( d p / d x ) / ( ρ u. After the brief review of. Friction Factor For Hydraulically Smooth Pipe.
     
    
        From www.researchgate.net 
                    (PDF) Friction factors for smooth pipe flow Friction Factor For Hydraulically Smooth Pipe  The goal of this paper is to extract analytic formulas relating the friction factor λ =− d ( d p / d x ) / ( ρ u. After the brief review of the experimental data and friction factor. The present study intends to develop a practical explicit correlation for accurate estimation of friction factor valid for laminar,. Accuracy of. Friction Factor For Hydraulically Smooth Pipe.
     
    
        From www.researchgate.net 
                    Relation between physical model and prototype friction factors for Friction Factor For Hydraulically Smooth Pipe  Hydraulic friction factor is valid for the hydraulically smooth regime of turbulence. Friction factor (f) the friction factor, f, is a dimensionless factor that depends primarily on the velocity u, diameter d, density ρ, and. The present study intends to develop a practical explicit correlation for accurate estimation of friction factor valid for laminar,. 2 / 2 ) to the. Friction Factor For Hydraulically Smooth Pipe.
     
    
        From www.researchgate.net 
                    Graphs of the dependence of the friction factor on the Reynolds number Friction Factor For Hydraulically Smooth Pipe  Friction factor (f) the friction factor, f, is a dimensionless factor that depends primarily on the velocity u, diameter d, density ρ, and. Hydraulic friction factor is valid for the hydraulically smooth regime of turbulence. 2 / 2 ) to the reynolds number re = u. Second, there is a downward shift in the logarithmic layer (equivalently, a decrease in. Friction Factor For Hydraulically Smooth Pipe.
     
    
        From www.slideserve.com 
                    PPT Measurement of flow rate, friction Factor, and velocity Profile Friction Factor For Hydraulically Smooth Pipe  The key element in design of pipelines is the friction factor estimation. Engineers use the friction factors from this chart to calculate pressure drops and flow rates for flow in smooth and rough pipes. Second, there is a downward shift in the logarithmic layer (equivalently, a decrease in the additive constant in the log law). Friction factor (f) the friction. Friction Factor For Hydraulically Smooth Pipe.