A Grandfather Clock Has A Pendulum That Consists . a grandfather clock has a pendulum that consists of a thin brass disk of radius r = 13.62 cm and mass 1.199 kg that is. The length of the rod of a grandfather clock to the nearest tenth of a millimeter is 830 mm. one of the key components of a grandfather clock is the pendulum, which swings back and forth to keep the clock ticking accurately. Understanding the different parts of a grandfather clock and their functions can help you appreciate the inner workings of this timeless piece of furniture. a grandfather clock has a pendulum that consists of a thin brass disk of. A grandfather clock has a pendulum that consists of a thin brass disk of radius 26 cm and mass 1.9 kg that is. a grandfather clock has a pendulum that consists of a thin brass disk of radius $r=15.00 \mathrm{cm}$ and. a grandfather clock has a pendulum that consists of a thin brass disk of radius r = 15.00 c m and mass 1.000 k g that is attached to a long thin rod of negligible.
from www.homenish.com
a grandfather clock has a pendulum that consists of a thin brass disk of radius $r=15.00 \mathrm{cm}$ and. a grandfather clock has a pendulum that consists of a thin brass disk of radius r = 13.62 cm and mass 1.199 kg that is. A grandfather clock has a pendulum that consists of a thin brass disk of radius 26 cm and mass 1.9 kg that is. one of the key components of a grandfather clock is the pendulum, which swings back and forth to keep the clock ticking accurately. a grandfather clock has a pendulum that consists of a thin brass disk of radius r = 15.00 c m and mass 1.000 k g that is attached to a long thin rod of negligible. The length of the rod of a grandfather clock to the nearest tenth of a millimeter is 830 mm. a grandfather clock has a pendulum that consists of a thin brass disk of. Understanding the different parts of a grandfather clock and their functions can help you appreciate the inner workings of this timeless piece of furniture.
Essential Parts of a Grandfather Clock (Pendulum Clock) with Diagram
A Grandfather Clock Has A Pendulum That Consists A grandfather clock has a pendulum that consists of a thin brass disk of radius 26 cm and mass 1.9 kg that is. A grandfather clock has a pendulum that consists of a thin brass disk of radius 26 cm and mass 1.9 kg that is. a grandfather clock has a pendulum that consists of a thin brass disk of radius $r=15.00 \mathrm{cm}$ and. Understanding the different parts of a grandfather clock and their functions can help you appreciate the inner workings of this timeless piece of furniture. one of the key components of a grandfather clock is the pendulum, which swings back and forth to keep the clock ticking accurately. a grandfather clock has a pendulum that consists of a thin brass disk of radius r = 15.00 c m and mass 1.000 k g that is attached to a long thin rod of negligible. a grandfather clock has a pendulum that consists of a thin brass disk of radius r = 13.62 cm and mass 1.199 kg that is. a grandfather clock has a pendulum that consists of a thin brass disk of. The length of the rod of a grandfather clock to the nearest tenth of a millimeter is 830 mm.
From mungfali.com
Grandfather Clock Pendulum Diagram A Grandfather Clock Has A Pendulum That Consists a grandfather clock has a pendulum that consists of a thin brass disk of radius $r=15.00 \mathrm{cm}$ and. Understanding the different parts of a grandfather clock and their functions can help you appreciate the inner workings of this timeless piece of furniture. A grandfather clock has a pendulum that consists of a thin brass disk of radius 26 cm. A Grandfather Clock Has A Pendulum That Consists.
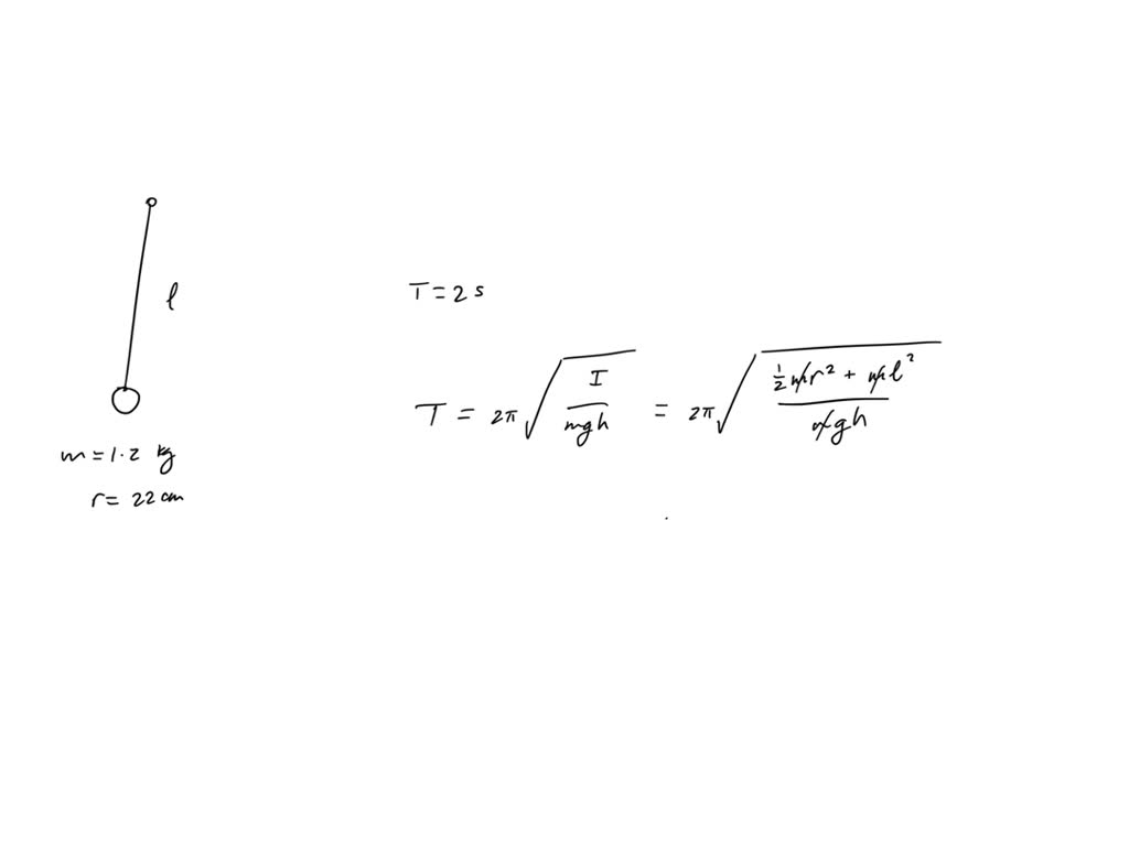
From www.chegg.com
Solved A grandfather clock has a pendulum that consists of a A Grandfather Clock Has A Pendulum That Consists The length of the rod of a grandfather clock to the nearest tenth of a millimeter is 830 mm. Understanding the different parts of a grandfather clock and their functions can help you appreciate the inner workings of this timeless piece of furniture. a grandfather clock has a pendulum that consists of a thin brass disk of. a. A Grandfather Clock Has A Pendulum That Consists.
From www.wilburauction.com
AA3355 Vintage TEMPUS FUGIT PIPER Grandfather Clock w/ FRANZ A Grandfather Clock Has A Pendulum That Consists The length of the rod of a grandfather clock to the nearest tenth of a millimeter is 830 mm. a grandfather clock has a pendulum that consists of a thin brass disk of radius r = 15.00 c m and mass 1.000 k g that is attached to a long thin rod of negligible. one of the key. A Grandfather Clock Has A Pendulum That Consists.
From www.chegg.com
Solved A grandfather clock has a pendulum that consists of a A Grandfather Clock Has A Pendulum That Consists one of the key components of a grandfather clock is the pendulum, which swings back and forth to keep the clock ticking accurately. Understanding the different parts of a grandfather clock and their functions can help you appreciate the inner workings of this timeless piece of furniture. a grandfather clock has a pendulum that consists of a thin. A Grandfather Clock Has A Pendulum That Consists.
From mungfali.com
Grandfather Clock Pendulum Diagram A Grandfather Clock Has A Pendulum That Consists a grandfather clock has a pendulum that consists of a thin brass disk of. a grandfather clock has a pendulum that consists of a thin brass disk of radius $r=15.00 \mathrm{cm}$ and. a grandfather clock has a pendulum that consists of a thin brass disk of radius r = 13.62 cm and mass 1.199 kg that is.. A Grandfather Clock Has A Pendulum That Consists.
From www.homenish.com
Essential Parts of a Grandfather Clock (Pendulum Clock) with Diagram A Grandfather Clock Has A Pendulum That Consists a grandfather clock has a pendulum that consists of a thin brass disk of radius r = 15.00 c m and mass 1.000 k g that is attached to a long thin rod of negligible. a grandfather clock has a pendulum that consists of a thin brass disk of. The length of the rod of a grandfather clock. A Grandfather Clock Has A Pendulum That Consists.
From techdiagrammer.com
The Complete Guide to Understanding Pendulum Grandfather Clock Parts A A Grandfather Clock Has A Pendulum That Consists a grandfather clock has a pendulum that consists of a thin brass disk of radius r = 13.62 cm and mass 1.199 kg that is. a grandfather clock has a pendulum that consists of a thin brass disk of. Understanding the different parts of a grandfather clock and their functions can help you appreciate the inner workings of. A Grandfather Clock Has A Pendulum That Consists.
From www.chegg.com
Solved A grandfather clock has a pendulum that consists of a A Grandfather Clock Has A Pendulum That Consists Understanding the different parts of a grandfather clock and their functions can help you appreciate the inner workings of this timeless piece of furniture. A grandfather clock has a pendulum that consists of a thin brass disk of radius 26 cm and mass 1.9 kg that is. a grandfather clock has a pendulum that consists of a thin brass. A Grandfather Clock Has A Pendulum That Consists.
From www.chegg.com
Solved A grandfather clock has a pendulum that consists of a A Grandfather Clock Has A Pendulum That Consists a grandfather clock has a pendulum that consists of a thin brass disk of. a grandfather clock has a pendulum that consists of a thin brass disk of radius r = 15.00 c m and mass 1.000 k g that is attached to a long thin rod of negligible. one of the key components of a grandfather. A Grandfather Clock Has A Pendulum That Consists.
From www.premierclocks.com
The Terminology and Parts Of A Grandfather Clock Premier Clocks A Grandfather Clock Has A Pendulum That Consists Understanding the different parts of a grandfather clock and their functions can help you appreciate the inner workings of this timeless piece of furniture. a grandfather clock has a pendulum that consists of a thin brass disk of radius $r=15.00 \mathrm{cm}$ and. a grandfather clock has a pendulum that consists of a thin brass disk of radius r. A Grandfather Clock Has A Pendulum That Consists.
From www.homestratosphere.com
9 Different Types of Grandfather Clocks Home Stratosphere A Grandfather Clock Has A Pendulum That Consists a grandfather clock has a pendulum that consists of a thin brass disk of radius r = 13.62 cm and mass 1.199 kg that is. Understanding the different parts of a grandfather clock and their functions can help you appreciate the inner workings of this timeless piece of furniture. a grandfather clock has a pendulum that consists of. A Grandfather Clock Has A Pendulum That Consists.
From www.pendulumofmayfair.co.uk
Antique Grandfather Clock by Higgs & Diego (James) Evans London C1775 A Grandfather Clock Has A Pendulum That Consists Understanding the different parts of a grandfather clock and their functions can help you appreciate the inner workings of this timeless piece of furniture. a grandfather clock has a pendulum that consists of a thin brass disk of radius r = 13.62 cm and mass 1.199 kg that is. one of the key components of a grandfather clock. A Grandfather Clock Has A Pendulum That Consists.
From www.chegg.com
Solved A grandfather clock has a pendulum that consists of a A Grandfather Clock Has A Pendulum That Consists The length of the rod of a grandfather clock to the nearest tenth of a millimeter is 830 mm. one of the key components of a grandfather clock is the pendulum, which swings back and forth to keep the clock ticking accurately. a grandfather clock has a pendulum that consists of a thin brass disk of. a. A Grandfather Clock Has A Pendulum That Consists.
From www.sciencefacts.net
Simple Pendulum Theory, Diagram, and Formula. A Grandfather Clock Has A Pendulum That Consists A grandfather clock has a pendulum that consists of a thin brass disk of radius 26 cm and mass 1.9 kg that is. a grandfather clock has a pendulum that consists of a thin brass disk of. The length of the rod of a grandfather clock to the nearest tenth of a millimeter is 830 mm. a grandfather. A Grandfather Clock Has A Pendulum That Consists.
From www.ebay.co.uk
GRANDFATHER CLOCK longcase pendulum 35501 ASK FOR UK DELIVERY A Grandfather Clock Has A Pendulum That Consists Understanding the different parts of a grandfather clock and their functions can help you appreciate the inner workings of this timeless piece of furniture. The length of the rod of a grandfather clock to the nearest tenth of a millimeter is 830 mm. a grandfather clock has a pendulum that consists of a thin brass disk of. one. A Grandfather Clock Has A Pendulum That Consists.
From www.numerade.com
SOLVED A grandfather clock has a pendulum that consists of a thin A Grandfather Clock Has A Pendulum That Consists a grandfather clock has a pendulum that consists of a thin brass disk of radius r = 15.00 c m and mass 1.000 k g that is attached to a long thin rod of negligible. Understanding the different parts of a grandfather clock and their functions can help you appreciate the inner workings of this timeless piece of furniture.. A Grandfather Clock Has A Pendulum That Consists.
From www.chegg.com
Solved Chapter 15, Problem 94 SN A grandfather clock has a A Grandfather Clock Has A Pendulum That Consists one of the key components of a grandfather clock is the pendulum, which swings back and forth to keep the clock ticking accurately. a grandfather clock has a pendulum that consists of a thin brass disk of radius r = 15.00 c m and mass 1.000 k g that is attached to a long thin rod of negligible.. A Grandfather Clock Has A Pendulum That Consists.
From www.ebay.co.uk
LONDON CLOCK COMPANY MAHOGANY FINISH WESTMINSTER CHIME 4x4 PENDULUM A Grandfather Clock Has A Pendulum That Consists a grandfather clock has a pendulum that consists of a thin brass disk of radius r = 13.62 cm and mass 1.199 kg that is. a grandfather clock has a pendulum that consists of a thin brass disk of radius r = 15.00 c m and mass 1.000 k g that is attached to a long thin rod. A Grandfather Clock Has A Pendulum That Consists.
From www.pepperfry.com
Buy Brown Grandfather Solid Wood Pendulum Clock by home Online A Grandfather Clock Has A Pendulum That Consists a grandfather clock has a pendulum that consists of a thin brass disk of radius r = 15.00 c m and mass 1.000 k g that is attached to a long thin rod of negligible. a grandfather clock has a pendulum that consists of a thin brass disk of radius r = 13.62 cm and mass 1.199 kg. A Grandfather Clock Has A Pendulum That Consists.
From www.buzzle.com
Parts of a Grandfather Clock and an Explaination of Their Functions A Grandfather Clock Has A Pendulum That Consists Understanding the different parts of a grandfather clock and their functions can help you appreciate the inner workings of this timeless piece of furniture. a grandfather clock has a pendulum that consists of a thin brass disk of radius r = 13.62 cm and mass 1.199 kg that is. a grandfather clock has a pendulum that consists of. A Grandfather Clock Has A Pendulum That Consists.
From www.chegg.com
Solved A grandfather clock has a pendulum that consists of a A Grandfather Clock Has A Pendulum That Consists a grandfather clock has a pendulum that consists of a thin brass disk of radius r = 13.62 cm and mass 1.199 kg that is. Understanding the different parts of a grandfather clock and their functions can help you appreciate the inner workings of this timeless piece of furniture. a grandfather clock has a pendulum that consists of. A Grandfather Clock Has A Pendulum That Consists.
From www.coursehero.com
[Solved] Christy has a grandfather clock with a pendulum that is 1.440 A Grandfather Clock Has A Pendulum That Consists The length of the rod of a grandfather clock to the nearest tenth of a millimeter is 830 mm. a grandfather clock has a pendulum that consists of a thin brass disk of radius r = 15.00 c m and mass 1.000 k g that is attached to a long thin rod of negligible. one of the key. A Grandfather Clock Has A Pendulum That Consists.
From www.vectorstock.com
Antique grandfather pendulum clock Royalty Free Vector Image A Grandfather Clock Has A Pendulum That Consists A grandfather clock has a pendulum that consists of a thin brass disk of radius 26 cm and mass 1.9 kg that is. The length of the rod of a grandfather clock to the nearest tenth of a millimeter is 830 mm. one of the key components of a grandfather clock is the pendulum, which swings back and forth. A Grandfather Clock Has A Pendulum That Consists.
From www.chegg.com
Solved A grandfather clock has a pendulum that consists of a A Grandfather Clock Has A Pendulum That Consists a grandfather clock has a pendulum that consists of a thin brass disk of radius $r=15.00 \mathrm{cm}$ and. one of the key components of a grandfather clock is the pendulum, which swings back and forth to keep the clock ticking accurately. a grandfather clock has a pendulum that consists of a thin brass disk of radius r. A Grandfather Clock Has A Pendulum That Consists.
From www.chegg.com
Solved A grandfather clock has a pendulum that consists of a A Grandfather Clock Has A Pendulum That Consists a grandfather clock has a pendulum that consists of a thin brass disk of radius r = 13.62 cm and mass 1.199 kg that is. Understanding the different parts of a grandfather clock and their functions can help you appreciate the inner workings of this timeless piece of furniture. one of the key components of a grandfather clock. A Grandfather Clock Has A Pendulum That Consists.
From www.chegg.com
Solved A grandfather clock has a pendulum that consists of a A Grandfather Clock Has A Pendulum That Consists a grandfather clock has a pendulum that consists of a thin brass disk of. one of the key components of a grandfather clock is the pendulum, which swings back and forth to keep the clock ticking accurately. A grandfather clock has a pendulum that consists of a thin brass disk of radius 26 cm and mass 1.9 kg. A Grandfather Clock Has A Pendulum That Consists.
From www.chegg.com
Solved A grandfather clock has a pendulum that consists of a A Grandfather Clock Has A Pendulum That Consists a grandfather clock has a pendulum that consists of a thin brass disk of radius r = 15.00 c m and mass 1.000 k g that is attached to a long thin rod of negligible. Understanding the different parts of a grandfather clock and their functions can help you appreciate the inner workings of this timeless piece of furniture.. A Grandfather Clock Has A Pendulum That Consists.
From ar.inspiredpencil.com
Pendulum Grandfather Clock A Grandfather Clock Has A Pendulum That Consists a grandfather clock has a pendulum that consists of a thin brass disk of radius r = 13.62 cm and mass 1.199 kg that is. The length of the rod of a grandfather clock to the nearest tenth of a millimeter is 830 mm. a grandfather clock has a pendulum that consists of a thin brass disk of. A Grandfather Clock Has A Pendulum That Consists.
From www.scienceabc.com
How Does A Pendulum Clock Work? » ScienceABC A Grandfather Clock Has A Pendulum That Consists Understanding the different parts of a grandfather clock and their functions can help you appreciate the inner workings of this timeless piece of furniture. a grandfather clock has a pendulum that consists of a thin brass disk of radius $r=15.00 \mathrm{cm}$ and. a grandfather clock has a pendulum that consists of a thin brass disk of radius r. A Grandfather Clock Has A Pendulum That Consists.
From www.chegg.com
Solved A Grandfather Clock Has A Pendulum That Consists O... A Grandfather Clock Has A Pendulum That Consists A grandfather clock has a pendulum that consists of a thin brass disk of radius 26 cm and mass 1.9 kg that is. one of the key components of a grandfather clock is the pendulum, which swings back and forth to keep the clock ticking accurately. a grandfather clock has a pendulum that consists of a thin brass. A Grandfather Clock Has A Pendulum That Consists.
From the-shed.nz
Build a grandfather clock case The Shed A Grandfather Clock Has A Pendulum That Consists a grandfather clock has a pendulum that consists of a thin brass disk of. a grandfather clock has a pendulum that consists of a thin brass disk of radius $r=15.00 \mathrm{cm}$ and. A grandfather clock has a pendulum that consists of a thin brass disk of radius 26 cm and mass 1.9 kg that is. a grandfather. A Grandfather Clock Has A Pendulum That Consists.
From www.ebay.com
Grandfather Wall Clock Vintage Decor Wood Pendulum Antique Brown A Grandfather Clock Has A Pendulum That Consists a grandfather clock has a pendulum that consists of a thin brass disk of radius $r=15.00 \mathrm{cm}$ and. a grandfather clock has a pendulum that consists of a thin brass disk of radius r = 13.62 cm and mass 1.199 kg that is. a grandfather clock has a pendulum that consists of a thin brass disk of. A Grandfather Clock Has A Pendulum That Consists.
From www.numerade.com
SOLVEDA grandfather clock has a pendulum that consists of a thin brass A Grandfather Clock Has A Pendulum That Consists A grandfather clock has a pendulum that consists of a thin brass disk of radius 26 cm and mass 1.9 kg that is. a grandfather clock has a pendulum that consists of a thin brass disk of radius r = 15.00 c m and mass 1.000 k g that is attached to a long thin rod of negligible. The. A Grandfather Clock Has A Pendulum That Consists.
From foter.com
White Grandfather Clocks Ideas on Foter A Grandfather Clock Has A Pendulum That Consists Understanding the different parts of a grandfather clock and their functions can help you appreciate the inner workings of this timeless piece of furniture. The length of the rod of a grandfather clock to the nearest tenth of a millimeter is 830 mm. a grandfather clock has a pendulum that consists of a thin brass disk of. a. A Grandfather Clock Has A Pendulum That Consists.
From mungfali.com
Grandfather Clock Pendulum Diagram A Grandfather Clock Has A Pendulum That Consists one of the key components of a grandfather clock is the pendulum, which swings back and forth to keep the clock ticking accurately. A grandfather clock has a pendulum that consists of a thin brass disk of radius 26 cm and mass 1.9 kg that is. a grandfather clock has a pendulum that consists of a thin brass. A Grandfather Clock Has A Pendulum That Consists.