How To Evaluate Cot . 26 rows use the cot calculator to find the cotangent of an angle in radians or degrees, plus learn the trigonometric formulas and steps to solve it. What are csc sec cot formulas? This tool evaluates the cotangent of a number: Use this cotangent calculator to easily calculate the cotangent of an angle given in degrees or radians. The function is defined in the range from 0. Enter the argument x, in radians or degrees, below. The formulas of csc sec cot are as follows: Csc sec cot are the reciprocal functions of sin cos tan, respectively. Solve right traingles, circles, and other figures with this free trigonometry calculator for. Csc x = hypotenuse / perpendicular.
from www.youtube.com
26 rows use the cot calculator to find the cotangent of an angle in radians or degrees, plus learn the trigonometric formulas and steps to solve it. This tool evaluates the cotangent of a number: What are csc sec cot formulas? Csc x = hypotenuse / perpendicular. Use this cotangent calculator to easily calculate the cotangent of an angle given in degrees or radians. Enter the argument x, in radians or degrees, below. The formulas of csc sec cot are as follows: Csc sec cot are the reciprocal functions of sin cos tan, respectively. Solve right traingles, circles, and other figures with this free trigonometry calculator for. The function is defined in the range from 0.
Learn How to Evaluate the Inverse of Cotangent Using the Unit Circle
How To Evaluate Cot Enter the argument x, in radians or degrees, below. Csc sec cot are the reciprocal functions of sin cos tan, respectively. The function is defined in the range from 0. This tool evaluates the cotangent of a number: Solve right traingles, circles, and other figures with this free trigonometry calculator for. What are csc sec cot formulas? Use this cotangent calculator to easily calculate the cotangent of an angle given in degrees or radians. Csc x = hypotenuse / perpendicular. 26 rows use the cot calculator to find the cotangent of an angle in radians or degrees, plus learn the trigonometric formulas and steps to solve it. The formulas of csc sec cot are as follows: Enter the argument x, in radians or degrees, below.
From www.youtube.com
Value of cot^(1)(tan(x)) What is the value of cot^(1)(tan(x)) How How To Evaluate Cot Csc sec cot are the reciprocal functions of sin cos tan, respectively. Enter the argument x, in radians or degrees, below. Use this cotangent calculator to easily calculate the cotangent of an angle given in degrees or radians. The formulas of csc sec cot are as follows: This tool evaluates the cotangent of a number: Solve right traingles, circles, and. How To Evaluate Cot.
From www.youtube.com
Evaluate Cot(345 Degrees) YouTube How To Evaluate Cot This tool evaluates the cotangent of a number: Solve right traingles, circles, and other figures with this free trigonometry calculator for. What are csc sec cot formulas? Csc x = hypotenuse / perpendicular. Use this cotangent calculator to easily calculate the cotangent of an angle given in degrees or radians. Enter the argument x, in radians or degrees, below. 26. How To Evaluate Cot.
From www.youtube.com
Evaluate the following `sec( cot^(1). 16/63)` YouTube How To Evaluate Cot The function is defined in the range from 0. Csc x = hypotenuse / perpendicular. Csc sec cot are the reciprocal functions of sin cos tan, respectively. What are csc sec cot formulas? Use this cotangent calculator to easily calculate the cotangent of an angle given in degrees or radians. 26 rows use the cot calculator to find the cotangent. How To Evaluate Cot.
From www.youtube.com
Ex Evaluate an Inverse Cotangent Expression Using a Calculator YouTube How To Evaluate Cot The function is defined in the range from 0. Csc x = hypotenuse / perpendicular. The formulas of csc sec cot are as follows: Enter the argument x, in radians or degrees, below. Solve right traingles, circles, and other figures with this free trigonometry calculator for. What are csc sec cot formulas? This tool evaluates the cotangent of a number:. How To Evaluate Cot.
From www.chegg.com
Solved EXAMPLE 6 Evaluate the following integral. To cot(x) How To Evaluate Cot 26 rows use the cot calculator to find the cotangent of an angle in radians or degrees, plus learn the trigonometric formulas and steps to solve it. Use this cotangent calculator to easily calculate the cotangent of an angle given in degrees or radians. Solve right traingles, circles, and other figures with this free trigonometry calculator for. Enter the argument. How To Evaluate Cot.
From www.teachoo.com
Ex 8.1, 7 If cot = 7/8, evaluate (i) (1 + sin) (1 sin) How To Evaluate Cot Csc sec cot are the reciprocal functions of sin cos tan, respectively. 26 rows use the cot calculator to find the cotangent of an angle in radians or degrees, plus learn the trigonometric formulas and steps to solve it. Csc x = hypotenuse / perpendicular. Enter the argument x, in radians or degrees, below. The function is defined in the. How To Evaluate Cot.
From www.youtube.com
How to evaluate the composition of tangent inverse and cotangent YouTube How To Evaluate Cot Use this cotangent calculator to easily calculate the cotangent of an angle given in degrees or radians. This tool evaluates the cotangent of a number: Csc x = hypotenuse / perpendicular. 26 rows use the cot calculator to find the cotangent of an angle in radians or degrees, plus learn the trigonometric formulas and steps to solve it. Enter the. How To Evaluate Cot.
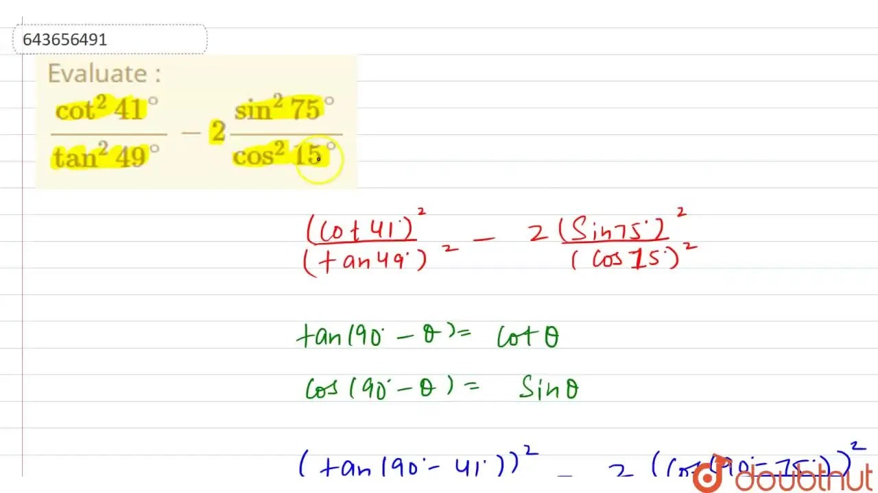
From www.doubtnut.com
Evaluate (cot^(2)41^())/(tan^(2)49^())2(sin^(2)75^())/(cos^(2) How To Evaluate Cot Enter the argument x, in radians or degrees, below. What are csc sec cot formulas? 26 rows use the cot calculator to find the cotangent of an angle in radians or degrees, plus learn the trigonometric formulas and steps to solve it. Csc sec cot are the reciprocal functions of sin cos tan, respectively. Use this cotangent calculator to easily. How To Evaluate Cot.
From scipitutor.blogspot.com
Find the value of cot15° FAQs Trigonometry SciPi How To Evaluate Cot Enter the argument x, in radians or degrees, below. The formulas of csc sec cot are as follows: What are csc sec cot formulas? Solve right traingles, circles, and other figures with this free trigonometry calculator for. Csc x = hypotenuse / perpendicular. Use this cotangent calculator to easily calculate the cotangent of an angle given in degrees or radians.. How To Evaluate Cot.
From www.youtube.com
Q55 Evaluate cot square 30 degree sec square 45 degree + cosec How To Evaluate Cot This tool evaluates the cotangent of a number: What are csc sec cot formulas? Csc x = hypotenuse / perpendicular. The function is defined in the range from 0. 26 rows use the cot calculator to find the cotangent of an angle in radians or degrees, plus learn the trigonometric formulas and steps to solve it. Enter the argument x,. How To Evaluate Cot.
From www.youtube.com
How to find cosec, sec, and cot values of angles in trigonometry using How To Evaluate Cot Csc sec cot are the reciprocal functions of sin cos tan, respectively. Enter the argument x, in radians or degrees, below. Solve right traingles, circles, and other figures with this free trigonometry calculator for. Csc x = hypotenuse / perpendicular. 26 rows use the cot calculator to find the cotangent of an angle in radians or degrees, plus learn the. How To Evaluate Cot.
From www.numerade.com
SOLVEDUse a calculator to evaluate the given expressions. cot^1 0.2846 How To Evaluate Cot Enter the argument x, in radians or degrees, below. Solve right traingles, circles, and other figures with this free trigonometry calculator for. What are csc sec cot formulas? This tool evaluates the cotangent of a number: Csc sec cot are the reciprocal functions of sin cos tan, respectively. 26 rows use the cot calculator to find the cotangent of an. How To Evaluate Cot.
From www.youtube.com
Quotient Identities Evaluating Tangent and Cotangent Functions YouTube How To Evaluate Cot Csc x = hypotenuse / perpendicular. This tool evaluates the cotangent of a number: Solve right traingles, circles, and other figures with this free trigonometry calculator for. The function is defined in the range from 0. 26 rows use the cot calculator to find the cotangent of an angle in radians or degrees, plus learn the trigonometric formulas and steps. How To Evaluate Cot.
From dxogeopqx.blob.core.windows.net
What Is Cot Math at Melissa Rosa blog How To Evaluate Cot This tool evaluates the cotangent of a number: What are csc sec cot formulas? 26 rows use the cot calculator to find the cotangent of an angle in radians or degrees, plus learn the trigonometric formulas and steps to solve it. Csc x = hypotenuse / perpendicular. Enter the argument x, in radians or degrees, below. Csc sec cot are. How To Evaluate Cot.
From www.youtube.com
How to evaluate cotangent using a calculator YouTube How To Evaluate Cot This tool evaluates the cotangent of a number: The formulas of csc sec cot are as follows: The function is defined in the range from 0. Enter the argument x, in radians or degrees, below. Csc sec cot are the reciprocal functions of sin cos tan, respectively. Solve right traingles, circles, and other figures with this free trigonometry calculator for.. How To Evaluate Cot.
From www.youtube.com
Evaluate `cot(tan^(1)a+cot^(1)a)` YouTube How To Evaluate Cot What are csc sec cot formulas? This tool evaluates the cotangent of a number: Enter the argument x, in radians or degrees, below. Csc sec cot are the reciprocal functions of sin cos tan, respectively. Solve right traingles, circles, and other figures with this free trigonometry calculator for. The formulas of csc sec cot are as follows: Csc x =. How To Evaluate Cot.
From www.youtube.com
Evaluate the indefinite integral.(Remember to use absolute values where How To Evaluate Cot Enter the argument x, in radians or degrees, below. The function is defined in the range from 0. Solve right traingles, circles, and other figures with this free trigonometry calculator for. What are csc sec cot formulas? Csc sec cot are the reciprocal functions of sin cos tan, respectively. Csc x = hypotenuse / perpendicular. 26 rows use the cot. How To Evaluate Cot.
From www.teachoo.com
Example 39 Evaluate integral [root cot x + root tan x] dx How To Evaluate Cot This tool evaluates the cotangent of a number: Csc sec cot are the reciprocal functions of sin cos tan, respectively. 26 rows use the cot calculator to find the cotangent of an angle in radians or degrees, plus learn the trigonometric formulas and steps to solve it. What are csc sec cot formulas? Use this cotangent calculator to easily calculate. How To Evaluate Cot.
From brainly.in
7. If cot 0=7/8 evaluate (i)(1 + sin 0) (1 sin o)(1 + cos 0) (1 How To Evaluate Cot The function is defined in the range from 0. This tool evaluates the cotangent of a number: Use this cotangent calculator to easily calculate the cotangent of an angle given in degrees or radians. Solve right traingles, circles, and other figures with this free trigonometry calculator for. Csc x = hypotenuse / perpendicular. What are csc sec cot formulas? 26. How To Evaluate Cot.
From www.teachoo.com
Example 41 Evaluate integral [root cot x + root tan x] dx How To Evaluate Cot Enter the argument x, in radians or degrees, below. This tool evaluates the cotangent of a number: Solve right traingles, circles, and other figures with this free trigonometry calculator for. What are csc sec cot formulas? Use this cotangent calculator to easily calculate the cotangent of an angle given in degrees or radians. The formulas of csc sec cot are. How To Evaluate Cot.
From klamyqfpr.blob.core.windows.net
How To Find The Value Of Inverse Cotangent at Rickie Davis blog How To Evaluate Cot This tool evaluates the cotangent of a number: The function is defined in the range from 0. Csc sec cot are the reciprocal functions of sin cos tan, respectively. 26 rows use the cot calculator to find the cotangent of an angle in radians or degrees, plus learn the trigonometric formulas and steps to solve it. What are csc sec. How To Evaluate Cot.
From www.youtube.com
Q70 Evaluate cot square 30 degree 2 cos square 60 degree 3/4 sec How To Evaluate Cot Enter the argument x, in radians or degrees, below. Solve right traingles, circles, and other figures with this free trigonometry calculator for. The formulas of csc sec cot are as follows: What are csc sec cot formulas? The function is defined in the range from 0. Csc x = hypotenuse / perpendicular. Use this cotangent calculator to easily calculate the. How To Evaluate Cot.
From loecjmkyv.blob.core.windows.net
Given Csc X Cot X Sqrt 2 at Arlene Baker blog How To Evaluate Cot Use this cotangent calculator to easily calculate the cotangent of an angle given in degrees or radians. The function is defined in the range from 0. The formulas of csc sec cot are as follows: Solve right traingles, circles, and other figures with this free trigonometry calculator for. What are csc sec cot formulas? 26 rows use the cot calculator. How To Evaluate Cot.
From www.teachoo.com
Example 14 Prove that cot A cos A / cot A + cos A Evaluating usi How To Evaluate Cot The formulas of csc sec cot are as follows: This tool evaluates the cotangent of a number: 26 rows use the cot calculator to find the cotangent of an angle in radians or degrees, plus learn the trigonometric formulas and steps to solve it. What are csc sec cot formulas? Use this cotangent calculator to easily calculate the cotangent of. How To Evaluate Cot.
From www.youtube.com
Learn How to Evaluate the Inverse of Cotangent Using the Unit Circle How To Evaluate Cot Csc x = hypotenuse / perpendicular. The function is defined in the range from 0. This tool evaluates the cotangent of a number: What are csc sec cot formulas? Csc sec cot are the reciprocal functions of sin cos tan, respectively. 26 rows use the cot calculator to find the cotangent of an angle in radians or degrees, plus learn. How To Evaluate Cot.
From www.youtube.com
Evaluate Limit using Trig Identity in (cot^2x 3)/(csc x 2) YouTube How To Evaluate Cot Use this cotangent calculator to easily calculate the cotangent of an angle given in degrees or radians. Solve right traingles, circles, and other figures with this free trigonometry calculator for. The function is defined in the range from 0. What are csc sec cot formulas? Enter the argument x, in radians or degrees, below. 26 rows use the cot calculator. How To Evaluate Cot.
From www.teachoo.com
Example 39 Evaluate integral [root cot x + root tan x] dx How To Evaluate Cot Csc x = hypotenuse / perpendicular. What are csc sec cot formulas? Use this cotangent calculator to easily calculate the cotangent of an angle given in degrees or radians. Enter the argument x, in radians or degrees, below. The function is defined in the range from 0. The formulas of csc sec cot are as follows: Csc sec cot are. How To Evaluate Cot.
From www.youtube.com
Evaluate `("Lim")_(x0^+)(cotx)^(1/(lnx))` YouTube How To Evaluate Cot Csc x = hypotenuse / perpendicular. Solve right traingles, circles, and other figures with this free trigonometry calculator for. The formulas of csc sec cot are as follows: This tool evaluates the cotangent of a number: The function is defined in the range from 0. 26 rows use the cot calculator to find the cotangent of an angle in radians. How To Evaluate Cot.
From www.youtube.com
Evaluate (cot 54^())/(tan 36^())+(tan 20^())/(cot 70^())2 9 How To Evaluate Cot Csc x = hypotenuse / perpendicular. 26 rows use the cot calculator to find the cotangent of an angle in radians or degrees, plus learn the trigonometric formulas and steps to solve it. This tool evaluates the cotangent of a number: The function is defined in the range from 0. Use this cotangent calculator to easily calculate the cotangent of. How To Evaluate Cot.
From www.youtube.com
Evaluate the Integral cot^5 sin^4 x dx USubstitution. Example 14 YouTube How To Evaluate Cot The function is defined in the range from 0. Solve right traingles, circles, and other figures with this free trigonometry calculator for. This tool evaluates the cotangent of a number: Csc x = hypotenuse / perpendicular. Csc sec cot are the reciprocal functions of sin cos tan, respectively. The formulas of csc sec cot are as follows: Use this cotangent. How To Evaluate Cot.
From www.toppr.com
Evaluate cot (tan^{1}x+cot^{1}x) How To Evaluate Cot This tool evaluates the cotangent of a number: The function is defined in the range from 0. The formulas of csc sec cot are as follows: Enter the argument x, in radians or degrees, below. Use this cotangent calculator to easily calculate the cotangent of an angle given in degrees or radians. What are csc sec cot formulas? 26 rows. How To Evaluate Cot.
From www.gauthmath.com
Thanks (170) How To Evaluate Cot Csc x = hypotenuse / perpendicular. Use this cotangent calculator to easily calculate the cotangent of an angle given in degrees or radians. Solve right traingles, circles, and other figures with this free trigonometry calculator for. The formulas of csc sec cot are as follows: 26 rows use the cot calculator to find the cotangent of an angle in radians. How To Evaluate Cot.
From www.doubtnut.com
Evaluate cot{sec^(1)((13)/5)} How To Evaluate Cot This tool evaluates the cotangent of a number: The formulas of csc sec cot are as follows: The function is defined in the range from 0. What are csc sec cot formulas? Use this cotangent calculator to easily calculate the cotangent of an angle given in degrees or radians. Csc sec cot are the reciprocal functions of sin cos tan,. How To Evaluate Cot.
From www.teachoo.com
Question 1 Evaluate tan 65 / cot 25 Chapter 8 Class 10 How To Evaluate Cot The function is defined in the range from 0. Enter the argument x, in radians or degrees, below. What are csc sec cot formulas? 26 rows use the cot calculator to find the cotangent of an angle in radians or degrees, plus learn the trigonometric formulas and steps to solve it. Csc x = hypotenuse / perpendicular. The formulas of. How To Evaluate Cot.
From www.cuemath.com
Cotangent Formula, Graph, Domain, Range Cot x Formula How To Evaluate Cot What are csc sec cot formulas? Csc sec cot are the reciprocal functions of sin cos tan, respectively. Enter the argument x, in radians or degrees, below. Csc x = hypotenuse / perpendicular. Solve right traingles, circles, and other figures with this free trigonometry calculator for. Use this cotangent calculator to easily calculate the cotangent of an angle given in. How To Evaluate Cot.