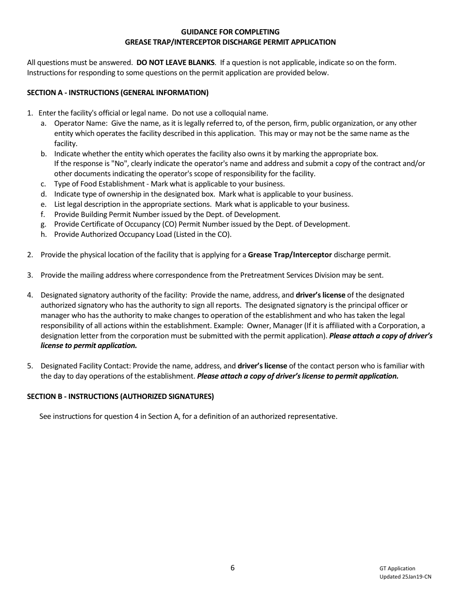
Grease Interceptor Permit . Is an oil & grease. Grease interceptors are installed on “gray” water drain lines and are designed to remove fats, oils and grease (fog) from wastewater. Metro vanc ouver’s food sector grease interceptor bylaw 365 requires commercial and institutional kitchens to install and maintain a. Requirements of this permit including pumping frequency and grease trap/interceptor size are subject to change with change in operations or. There are two types of grease interceptors that are accepted by the. Minimize grease in the city’s wastewater collection system, in an effort to decrease sanitary sewer overflows* 1. You will need to fill out a grease interceptor permit application and a plumbing permit application. Have a grease interceptor to prevent fog from discharging to the city sewer. The retained fog should be regularly removed or. List of accepted gravity grease interceptors as approved by the florida department of environmental protection. Forms are available at the.
from www.drain-tech.com
Grease interceptors are installed on “gray” water drain lines and are designed to remove fats, oils and grease (fog) from wastewater. The retained fog should be regularly removed or. List of accepted gravity grease interceptors as approved by the florida department of environmental protection. There are two types of grease interceptors that are accepted by the. Minimize grease in the city’s wastewater collection system, in an effort to decrease sanitary sewer overflows* 1. Metro vanc ouver’s food sector grease interceptor bylaw 365 requires commercial and institutional kitchens to install and maintain a. Forms are available at the. Have a grease interceptor to prevent fog from discharging to the city sewer. Requirements of this permit including pumping frequency and grease trap/interceptor size are subject to change with change in operations or. Is an oil & grease.
Grease Interceptor 70LBS / 35GPM Technologies
Grease Interceptor Permit Forms are available at the. You will need to fill out a grease interceptor permit application and a plumbing permit application. Metro vanc ouver’s food sector grease interceptor bylaw 365 requires commercial and institutional kitchens to install and maintain a. Is an oil & grease. Forms are available at the. The retained fog should be regularly removed or. Minimize grease in the city’s wastewater collection system, in an effort to decrease sanitary sewer overflows* 1. Have a grease interceptor to prevent fog from discharging to the city sewer. There are two types of grease interceptors that are accepted by the. Grease interceptors are installed on “gray” water drain lines and are designed to remove fats, oils and grease (fog) from wastewater. List of accepted gravity grease interceptors as approved by the florida department of environmental protection. Requirements of this permit including pumping frequency and grease trap/interceptor size are subject to change with change in operations or.
From www.bnh.co.uk
Grease Interceptors in Dorset Buckland Newton Hire Grease Interceptor Permit Minimize grease in the city’s wastewater collection system, in an effort to decrease sanitary sewer overflows* 1. Forms are available at the. Is an oil & grease. Have a grease interceptor to prevent fog from discharging to the city sewer. The retained fog should be regularly removed or. You will need to fill out a grease interceptor permit application and. Grease Interceptor Permit.
From www.templateroller.com
City of Fort Worth, Texas Grease Trap/Interceptor Discharge Permit Grease Interceptor Permit There are two types of grease interceptors that are accepted by the. Minimize grease in the city’s wastewater collection system, in an effort to decrease sanitary sewer overflows* 1. You will need to fill out a grease interceptor permit application and a plumbing permit application. Forms are available at the. Metro vanc ouver’s food sector grease interceptor bylaw 365 requires. Grease Interceptor Permit.
From schierproducts.com
GB50 product image Grease Interceptor Permit Grease interceptors are installed on “gray” water drain lines and are designed to remove fats, oils and grease (fog) from wastewater. List of accepted gravity grease interceptors as approved by the florida department of environmental protection. Have a grease interceptor to prevent fog from discharging to the city sewer. You will need to fill out a grease interceptor permit application. Grease Interceptor Permit.
From www.tacomapermits.org
Grease Interceptor Sizing and Installation Guidelines — Permits Grease Interceptor Permit There are two types of grease interceptors that are accepted by the. Requirements of this permit including pumping frequency and grease trap/interceptor size are subject to change with change in operations or. Minimize grease in the city’s wastewater collection system, in an effort to decrease sanitary sewer overflows* 1. Have a grease interceptor to prevent fog from discharging to the. Grease Interceptor Permit.
From www.scribd.com
Instructions For Completing Food Establishment'S Grease Trap Grease Interceptor Permit Forms are available at the. Metro vanc ouver’s food sector grease interceptor bylaw 365 requires commercial and institutional kitchens to install and maintain a. You will need to fill out a grease interceptor permit application and a plumbing permit application. Grease interceptors are installed on “gray” water drain lines and are designed to remove fats, oils and grease (fog) from. Grease Interceptor Permit.
From www.templateroller.com
City of Fort Worth, Texas Grease Trap/Interceptor Discharge Permit Grease Interceptor Permit Metro vanc ouver’s food sector grease interceptor bylaw 365 requires commercial and institutional kitchens to install and maintain a. The retained fog should be regularly removed or. List of accepted gravity grease interceptors as approved by the florida department of environmental protection. There are two types of grease interceptors that are accepted by the. Forms are available at the. Minimize. Grease Interceptor Permit.
From www.youtube.com
How It Works Automatic Grease Interceptors YouTube Grease Interceptor Permit List of accepted gravity grease interceptors as approved by the florida department of environmental protection. Metro vanc ouver’s food sector grease interceptor bylaw 365 requires commercial and institutional kitchens to install and maintain a. You will need to fill out a grease interceptor permit application and a plumbing permit application. Have a grease interceptor to prevent fog from discharging to. Grease Interceptor Permit.
From www.pdffiller.com
Fillable Online Grease Interceptor Permit Application Fax Email Print Grease Interceptor Permit Metro vanc ouver’s food sector grease interceptor bylaw 365 requires commercial and institutional kitchens to install and maintain a. You will need to fill out a grease interceptor permit application and a plumbing permit application. Grease interceptors are installed on “gray” water drain lines and are designed to remove fats, oils and grease (fog) from wastewater. There are two types. Grease Interceptor Permit.
From www.templateroller.com
City of Fort Worth, Texas Grease Trap/Interceptor Discharge Permit Grease Interceptor Permit Grease interceptors are installed on “gray” water drain lines and are designed to remove fats, oils and grease (fog) from wastewater. Is an oil & grease. Have a grease interceptor to prevent fog from discharging to the city sewer. Forms are available at the. Requirements of this permit including pumping frequency and grease trap/interceptor size are subject to change with. Grease Interceptor Permit.
From dokumen.tips
(PDF) GREASE INTERCEPTOR INSTALLATION /USE & CARE MANUALs3.supplyhouse Grease Interceptor Permit Is an oil & grease. Requirements of this permit including pumping frequency and grease trap/interceptor size are subject to change with change in operations or. Metro vanc ouver’s food sector grease interceptor bylaw 365 requires commercial and institutional kitchens to install and maintain a. There are two types of grease interceptors that are accepted by the. The retained fog should. Grease Interceptor Permit.
From www.templateroller.com
City of Fort Worth, Texas Grease Trap/Interceptor Discharge Permit Grease Interceptor Permit Metro vanc ouver’s food sector grease interceptor bylaw 365 requires commercial and institutional kitchens to install and maintain a. Have a grease interceptor to prevent fog from discharging to the city sewer. You will need to fill out a grease interceptor permit application and a plumbing permit application. Requirements of this permit including pumping frequency and grease trap/interceptor size are. Grease Interceptor Permit.
From www.pdffiller.com
Fillable Online Grease, Sand, Oil & Water Interceptor Permit Grease Interceptor Permit Requirements of this permit including pumping frequency and grease trap/interceptor size are subject to change with change in operations or. Metro vanc ouver’s food sector grease interceptor bylaw 365 requires commercial and institutional kitchens to install and maintain a. There are two types of grease interceptors that are accepted by the. Minimize grease in the city’s wastewater collection system, in. Grease Interceptor Permit.
From www.templateroller.com
City of Fort Worth, Texas Grease Trap/Interceptor Discharge Permit Grease Interceptor Permit Minimize grease in the city’s wastewater collection system, in an effort to decrease sanitary sewer overflows* 1. Forms are available at the. Grease interceptors are installed on “gray” water drain lines and are designed to remove fats, oils and grease (fog) from wastewater. Requirements of this permit including pumping frequency and grease trap/interceptor size are subject to change with change. Grease Interceptor Permit.
From www.tanksdirect.com
How Does a Grease Interceptor Work? Tanks Direct Grease Interceptor Permit You will need to fill out a grease interceptor permit application and a plumbing permit application. Metro vanc ouver’s food sector grease interceptor bylaw 365 requires commercial and institutional kitchens to install and maintain a. There are two types of grease interceptors that are accepted by the. Forms are available at the. List of accepted gravity grease interceptors as approved. Grease Interceptor Permit.
From www.pdffiller.com
Fillable Online Grease Trap/Interceptor Discharge Permit Application Grease Interceptor Permit There are two types of grease interceptors that are accepted by the. You will need to fill out a grease interceptor permit application and a plumbing permit application. Metro vanc ouver’s food sector grease interceptor bylaw 365 requires commercial and institutional kitchens to install and maintain a. Requirements of this permit including pumping frequency and grease trap/interceptor size are subject. Grease Interceptor Permit.
From nationalplumbingbahamas.com
Zurn Grease Trap Interceptor National Plumbing & Building Supplies Grease Interceptor Permit Metro vanc ouver’s food sector grease interceptor bylaw 365 requires commercial and institutional kitchens to install and maintain a. Minimize grease in the city’s wastewater collection system, in an effort to decrease sanitary sewer overflows* 1. Forms are available at the. You will need to fill out a grease interceptor permit application and a plumbing permit application. List of accepted. Grease Interceptor Permit.
From www.templateroller.com
City of Fort Worth, Texas Grease Trap/Interceptor Discharge Permit Grease Interceptor Permit Is an oil & grease. Have a grease interceptor to prevent fog from discharging to the city sewer. List of accepted gravity grease interceptors as approved by the florida department of environmental protection. Minimize grease in the city’s wastewater collection system, in an effort to decrease sanitary sewer overflows* 1. Grease interceptors are installed on “gray” water drain lines and. Grease Interceptor Permit.
From www.piercecountywa.gov
Grease Interceptor Pierce County, WA Official site Grease Interceptor Permit The retained fog should be regularly removed or. There are two types of grease interceptors that are accepted by the. Have a grease interceptor to prevent fog from discharging to the city sewer. Metro vanc ouver’s food sector grease interceptor bylaw 365 requires commercial and institutional kitchens to install and maintain a. You will need to fill out a grease. Grease Interceptor Permit.
From coateconcreteproducts.com
Grease Interceptors Coate Concrete Products Grease Interceptor Permit List of accepted gravity grease interceptors as approved by the florida department of environmental protection. The retained fog should be regularly removed or. Metro vanc ouver’s food sector grease interceptor bylaw 365 requires commercial and institutional kitchens to install and maintain a. Is an oil & grease. Forms are available at the. Requirements of this permit including pumping frequency and. Grease Interceptor Permit.
From www.phcppros.com
Grease Interceptors 101 phcppros Grease Interceptor Permit There are two types of grease interceptors that are accepted by the. Minimize grease in the city’s wastewater collection system, in an effort to decrease sanitary sewer overflows* 1. Have a grease interceptor to prevent fog from discharging to the city sewer. You will need to fill out a grease interceptor permit application and a plumbing permit application. List of. Grease Interceptor Permit.
From parkusa.com
Grease Interceptor ParkUSA Grease Interceptor Permit Minimize grease in the city’s wastewater collection system, in an effort to decrease sanitary sewer overflows* 1. Grease interceptors are installed on “gray” water drain lines and are designed to remove fats, oils and grease (fog) from wastewater. Metro vanc ouver’s food sector grease interceptor bylaw 365 requires commercial and institutional kitchens to install and maintain a. Requirements of this. Grease Interceptor Permit.
From dokumen.tips
(PDF) Grease Trap and Grease Interceptor · PDF fileGrease Trap/Grease Grease Interceptor Permit Forms are available at the. Minimize grease in the city’s wastewater collection system, in an effort to decrease sanitary sewer overflows* 1. You will need to fill out a grease interceptor permit application and a plumbing permit application. List of accepted gravity grease interceptors as approved by the florida department of environmental protection. The retained fog should be regularly removed. Grease Interceptor Permit.
From www.drain-tech.com
XL Grease Interceptor 100 GPM Technologies Grease Interceptor Permit Minimize grease in the city’s wastewater collection system, in an effort to decrease sanitary sewer overflows* 1. Grease interceptors are installed on “gray” water drain lines and are designed to remove fats, oils and grease (fog) from wastewater. Forms are available at the. There are two types of grease interceptors that are accepted by the. Metro vanc ouver’s food sector. Grease Interceptor Permit.
From www.templateroller.com
City of Fort Worth, Texas Grease Trap/Interceptor Discharge Permit Grease Interceptor Permit Requirements of this permit including pumping frequency and grease trap/interceptor size are subject to change with change in operations or. Grease interceptors are installed on “gray” water drain lines and are designed to remove fats, oils and grease (fog) from wastewater. There are two types of grease interceptors that are accepted by the. Have a grease interceptor to prevent fog. Grease Interceptor Permit.
From www.templateroller.com
City of Fort Worth, Texas Grease Trap/Interceptor Discharge Permit Grease Interceptor Permit Is an oil & grease. Requirements of this permit including pumping frequency and grease trap/interceptor size are subject to change with change in operations or. Forms are available at the. There are two types of grease interceptors that are accepted by the. Minimize grease in the city’s wastewater collection system, in an effort to decrease sanitary sewer overflows* 1. Metro. Grease Interceptor Permit.
From www.drain-tech.com
Grease Interceptor 70LBS / 35GPM Technologies Grease Interceptor Permit Forms are available at the. List of accepted gravity grease interceptors as approved by the florida department of environmental protection. Grease interceptors are installed on “gray” water drain lines and are designed to remove fats, oils and grease (fog) from wastewater. Minimize grease in the city’s wastewater collection system, in an effort to decrease sanitary sewer overflows* 1. There are. Grease Interceptor Permit.
From parkusa.com
Grease Interceptor ParkUSA Grease Interceptor Permit List of accepted gravity grease interceptors as approved by the florida department of environmental protection. Is an oil & grease. There are two types of grease interceptors that are accepted by the. Forms are available at the. Minimize grease in the city’s wastewater collection system, in an effort to decrease sanitary sewer overflows* 1. Requirements of this permit including pumping. Grease Interceptor Permit.
From septicmedicaz.blogspot.com
Septic Medic Pumping and Plumbing What is a Commercial Grease Trap Grease Interceptor Permit Have a grease interceptor to prevent fog from discharging to the city sewer. Grease interceptors are installed on “gray” water drain lines and are designed to remove fats, oils and grease (fog) from wastewater. Requirements of this permit including pumping frequency and grease trap/interceptor size are subject to change with change in operations or. Is an oil & grease. You. Grease Interceptor Permit.
From tacomapermits.org
Grease Interceptor Sizing and Installation Guidelines — Permits Grease Interceptor Permit Minimize grease in the city’s wastewater collection system, in an effort to decrease sanitary sewer overflows* 1. Forms are available at the. List of accepted gravity grease interceptors as approved by the florida department of environmental protection. There are two types of grease interceptors that are accepted by the. The retained fog should be regularly removed or. Grease interceptors are. Grease Interceptor Permit.
From www.ny-engineers.com
Grease Interceptor Sizing and Installation Guidelines Grease Interceptor Permit You will need to fill out a grease interceptor permit application and a plumbing permit application. Grease interceptors are installed on “gray” water drain lines and are designed to remove fats, oils and grease (fog) from wastewater. The retained fog should be regularly removed or. Forms are available at the. Have a grease interceptor to prevent fog from discharging to. Grease Interceptor Permit.
From www.templateroller.com
City of Fort Worth, Texas Grease Trap/Interceptor Discharge Permit Grease Interceptor Permit Minimize grease in the city’s wastewater collection system, in an effort to decrease sanitary sewer overflows* 1. List of accepted gravity grease interceptors as approved by the florida department of environmental protection. The retained fog should be regularly removed or. Have a grease interceptor to prevent fog from discharging to the city sewer. Requirements of this permit including pumping frequency. Grease Interceptor Permit.
From www.leesburgflorida.gov
S15 Grease Interceptor Details Grease Interceptor Permit Minimize grease in the city’s wastewater collection system, in an effort to decrease sanitary sewer overflows* 1. Requirements of this permit including pumping frequency and grease trap/interceptor size are subject to change with change in operations or. Metro vanc ouver’s food sector grease interceptor bylaw 365 requires commercial and institutional kitchens to install and maintain a. There are two types. Grease Interceptor Permit.
From www.templateroller.com
City of Fort Worth, Texas Grease Trap/Interceptor Discharge Permit Grease Interceptor Permit Grease interceptors are installed on “gray” water drain lines and are designed to remove fats, oils and grease (fog) from wastewater. Forms are available at the. List of accepted gravity grease interceptors as approved by the florida department of environmental protection. Minimize grease in the city’s wastewater collection system, in an effort to decrease sanitary sewer overflows* 1. Metro vanc. Grease Interceptor Permit.
From www.youtube.com
Learn How To Size a Grease Interceptor in 3 Easy Steps Plumbing Grease Interceptor Permit List of accepted gravity grease interceptors as approved by the florida department of environmental protection. Grease interceptors are installed on “gray” water drain lines and are designed to remove fats, oils and grease (fog) from wastewater. You will need to fill out a grease interceptor permit application and a plumbing permit application. Have a grease interceptor to prevent fog from. Grease Interceptor Permit.
From coralgablesplumbing.com
Grease Trap Assessments in Miami, FL Coral Gables Plumbing Grease Interceptor Permit There are two types of grease interceptors that are accepted by the. Is an oil & grease. Have a grease interceptor to prevent fog from discharging to the city sewer. Forms are available at the. The retained fog should be regularly removed or. List of accepted gravity grease interceptors as approved by the florida department of environmental protection. Requirements of. Grease Interceptor Permit.