Cone Formula Density . Start by calculating the volume of the cone. Learn how to calculate the volume of a cone using the formula volume = (1/3) × π × r² × h, where r is the base radius and h is the height. You need to know the volume of an object before you. H = 2 cm → the height of the cone. Learn how to find the radius of a cone with a given density, mass and height using the formula density. Find the equation of the right circular cone with a vertex at the origin. In your case, you have. Plug your values into the equation to get. Find the surface area of a cone using the formula a = π r (r + √ (r 2 + h 2 )) or the online calculator. Volume is the amount of space an object occupies while density is the mass of an object per unit volume. Enter the radius or the slant height and get the height, volume, lateral area and total. R = 5 cm → the radius of the cone. Learn the shape of a cone and how to find its surface area, volume, height, slant height, and radius with formulas, solved examples, and diagrams
from www.dreamstime.com
R = 5 cm → the radius of the cone. Find the surface area of a cone using the formula a = π r (r + √ (r 2 + h 2 )) or the online calculator. Start by calculating the volume of the cone. You need to know the volume of an object before you. Learn the shape of a cone and how to find its surface area, volume, height, slant height, and radius with formulas, solved examples, and diagrams Learn how to calculate the volume of a cone using the formula volume = (1/3) × π × r² × h, where r is the base radius and h is the height. In your case, you have. Find the equation of the right circular cone with a vertex at the origin. Plug your values into the equation to get. Volume is the amount of space an object occupies while density is the mass of an object per unit volume.
Right Circular Cone Formula. Shape in Mathematics. Inscribed with
Cone Formula Density H = 2 cm → the height of the cone. Enter the radius or the slant height and get the height, volume, lateral area and total. Learn how to calculate the volume of a cone using the formula volume = (1/3) × π × r² × h, where r is the base radius and h is the height. Start by calculating the volume of the cone. Volume is the amount of space an object occupies while density is the mass of an object per unit volume. Find the equation of the right circular cone with a vertex at the origin. You need to know the volume of an object before you. Learn how to find the radius of a cone with a given density, mass and height using the formula density. R = 5 cm → the radius of the cone. H = 2 cm → the height of the cone. Plug your values into the equation to get. Find the surface area of a cone using the formula a = π r (r + √ (r 2 + h 2 )) or the online calculator. Learn the shape of a cone and how to find its surface area, volume, height, slant height, and radius with formulas, solved examples, and diagrams In your case, you have.
From www.toppr.com
A uniform solid right circular cone of base radius R is joined to a Cone Formula Density In your case, you have. Learn the shape of a cone and how to find its surface area, volume, height, slant height, and radius with formulas, solved examples, and diagrams You need to know the volume of an object before you. R = 5 cm → the radius of the cone. Learn how to find the radius of a cone. Cone Formula Density.
From www.youtube.com
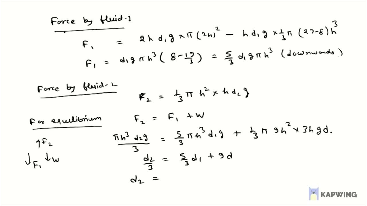
A solid cone of density d has 1/3rd of its length in a fluid of density Cone Formula Density Learn how to calculate the volume of a cone using the formula volume = (1/3) × π × r² × h, where r is the base radius and h is the height. Learn the shape of a cone and how to find its surface area, volume, height, slant height, and radius with formulas, solved examples, and diagrams Plug your values. Cone Formula Density.
From www.youtube.com
Centre of Mass of a Solid Cone kamaldheeriya YouTube Cone Formula Density Find the equation of the right circular cone with a vertex at the origin. Learn the shape of a cone and how to find its surface area, volume, height, slant height, and radius with formulas, solved examples, and diagrams Learn how to find the radius of a cone with a given density, mass and height using the formula density. In. Cone Formula Density.
From www.cuemath.com
Cone What is Cone? Formula, Definition, Examples, Types Cone Formula Density In your case, you have. Start by calculating the volume of the cone. H = 2 cm → the height of the cone. R = 5 cm → the radius of the cone. Volume is the amount of space an object occupies while density is the mass of an object per unit volume. Find the equation of the right circular. Cone Formula Density.
From www.grc.nasa.gov
Volume Cone Formula Density Start by calculating the volume of the cone. Learn the shape of a cone and how to find its surface area, volume, height, slant height, and radius with formulas, solved examples, and diagrams Enter the radius or the slant height and get the height, volume, lateral area and total. Volume is the amount of space an object occupies while density. Cone Formula Density.
From mathmonks.com
Right Circular Cone Formulas, Examples, and Diagrams Cone Formula Density Plug your values into the equation to get. You need to know the volume of an object before you. Learn how to find the radius of a cone with a given density, mass and height using the formula density. Enter the radius or the slant height and get the height, volume, lateral area and total. H = 2 cm →. Cone Formula Density.
From www.doubtnut.com
Doubt Solutions Maths, Science, CBSE, NCERT, IIT JEE, NEET Cone Formula Density Enter the radius or the slant height and get the height, volume, lateral area and total. Learn how to find the radius of a cone with a given density, mass and height using the formula density. Start by calculating the volume of the cone. Find the equation of the right circular cone with a vertex at the origin. You need. Cone Formula Density.
From ispitna.blogspot.com
L Formula For Cone Ispitna Cone Formula Density Learn the shape of a cone and how to find its surface area, volume, height, slant height, and radius with formulas, solved examples, and diagrams You need to know the volume of an object before you. Plug your values into the equation to get. In your case, you have. R = 5 cm → the radius of the cone. H. Cone Formula Density.
From www.pinterest.com
Cone Formulas Volume, Surface Area, Lateral Area & Base Area Cone Formula Density In your case, you have. Learn the shape of a cone and how to find its surface area, volume, height, slant height, and radius with formulas, solved examples, and diagrams Learn how to find the radius of a cone with a given density, mass and height using the formula density. Enter the radius or the slant height and get the. Cone Formula Density.
From www.scribd.com
Cone Formula Surface Area Sa Volume V PDF Cone Formula Density Find the equation of the right circular cone with a vertex at the origin. Plug your values into the equation to get. You need to know the volume of an object before you. Find the surface area of a cone using the formula a = π r (r + √ (r 2 + h 2 )) or the online calculator.. Cone Formula Density.
From cookinglove.com
Surface area of a cone formula explained Cone Formula Density Plug your values into the equation to get. Learn how to calculate the volume of a cone using the formula volume = (1/3) × π × r² × h, where r is the base radius and h is the height. In your case, you have. Learn how to find the radius of a cone with a given density, mass and. Cone Formula Density.
From www.cuemath.com
Frustum of Cone Formula, Properties, Definition, Examples Cone Formula Density You need to know the volume of an object before you. In your case, you have. Find the surface area of a cone using the formula a = π r (r + √ (r 2 + h 2 )) or the online calculator. Plug your values into the equation to get. H = 2 cm → the height of the. Cone Formula Density.
From conceptera.in
Cone Formula Sheet ConceptEra Cone Formula Density Learn the shape of a cone and how to find its surface area, volume, height, slant height, and radius with formulas, solved examples, and diagrams Learn how to find the radius of a cone with a given density, mass and height using the formula density. R = 5 cm → the radius of the cone. Learn how to calculate the. Cone Formula Density.
From curvebreakerstestprep.com
Volume of a Cone Formula & Examples Curvebreakers Cone Formula Density Plug your values into the equation to get. Find the surface area of a cone using the formula a = π r (r + √ (r 2 + h 2 )) or the online calculator. In your case, you have. Learn how to find the radius of a cone with a given density, mass and height using the formula density.. Cone Formula Density.
From www.nagwa.com
Question Video Finding the Density of a Cone in a RealWorld Context Cone Formula Density R = 5 cm → the radius of the cone. Learn how to calculate the volume of a cone using the formula volume = (1/3) × π × r² × h, where r is the base radius and h is the height. H = 2 cm → the height of the cone. Find the surface area of a cone using. Cone Formula Density.
From www.nagwa.com
Question Video Calculating the Density of a Cone Nagwa Cone Formula Density Start by calculating the volume of the cone. Learn the shape of a cone and how to find its surface area, volume, height, slant height, and radius with formulas, solved examples, and diagrams R = 5 cm → the radius of the cone. Find the equation of the right circular cone with a vertex at the origin. Volume is the. Cone Formula Density.
From www.cuemath.com
What is Cone Formula, Properties, Examples Cuemath Cone Formula Density Find the surface area of a cone using the formula a = π r (r + √ (r 2 + h 2 )) or the online calculator. Learn how to find the radius of a cone with a given density, mass and height using the formula density. R = 5 cm → the radius of the cone. Volume is the. Cone Formula Density.
From www.cuemath.com
Frustum of Cone Formula, Properties, Definition, Examples Cone Formula Density H = 2 cm → the height of the cone. Learn how to calculate the volume of a cone using the formula volume = (1/3) × π × r² × h, where r is the base radius and h is the height. You need to know the volume of an object before you. Volume is the amount of space an. Cone Formula Density.
From byjus.com
Volume of Cone Formula, Derivation and Examples Cone Formula Density Learn the shape of a cone and how to find its surface area, volume, height, slant height, and radius with formulas, solved examples, and diagrams In your case, you have. Plug your values into the equation to get. Find the equation of the right circular cone with a vertex at the origin. H = 2 cm → the height of. Cone Formula Density.
From www.cuemath.com
Frustum of Cone Formula, Properties, Definition, Examples Cone Formula Density In your case, you have. R = 5 cm → the radius of the cone. Find the equation of the right circular cone with a vertex at the origin. Volume is the amount of space an object occupies while density is the mass of an object per unit volume. Learn the shape of a cone and how to find its. Cone Formula Density.
From civilengineering-softstudies.com
Sand Cone Method to Determine Density A Solved Example Civil Cone Formula Density Volume is the amount of space an object occupies while density is the mass of an object per unit volume. R = 5 cm → the radius of the cone. Learn how to find the radius of a cone with a given density, mass and height using the formula density. Start by calculating the volume of the cone. Learn the. Cone Formula Density.
From formulainmaths.in
Cone Formula In English » Formula In Maths Cone Formula Density Plug your values into the equation to get. Find the surface area of a cone using the formula a = π r (r + √ (r 2 + h 2 )) or the online calculator. H = 2 cm → the height of the cone. In your case, you have. Find the equation of the right circular cone with a. Cone Formula Density.
From www.cuemath.com
Volume of a Cone with Diameter Formula, Definition, Examples Cone Formula Density R = 5 cm → the radius of the cone. H = 2 cm → the height of the cone. Plug your values into the equation to get. Volume is the amount of space an object occupies while density is the mass of an object per unit volume. Find the surface area of a cone using the formula a =. Cone Formula Density.
From cookinglove.com
Surface area of a cone formula explained Cone Formula Density Learn how to calculate the volume of a cone using the formula volume = (1/3) × π × r² × h, where r is the base radius and h is the height. Find the surface area of a cone using the formula a = π r (r + √ (r 2 + h 2 )) or the online calculator. H. Cone Formula Density.
From study.com
Center of Mass of a Cone Overview, Equation & Examples Lesson Cone Formula Density You need to know the volume of an object before you. Start by calculating the volume of the cone. In your case, you have. Learn how to find the radius of a cone with a given density, mass and height using the formula density. R = 5 cm → the radius of the cone. Enter the radius or the slant. Cone Formula Density.
From www.cuemath.com
What is Cone Formula, Properties, Examples Cuemath Cone Formula Density R = 5 cm → the radius of the cone. Enter the radius or the slant height and get the height, volume, lateral area and total. Find the equation of the right circular cone with a vertex at the origin. Learn how to find the radius of a cone with a given density, mass and height using the formula density.. Cone Formula Density.
From www.teachoo.com
Ex 6.5, 26 Show that semivertical angle of cone Class 12 Cone Formula Density In your case, you have. R = 5 cm → the radius of the cone. Enter the radius or the slant height and get the height, volume, lateral area and total. Find the equation of the right circular cone with a vertex at the origin. Learn the shape of a cone and how to find its surface area, volume, height,. Cone Formula Density.
From www.animalia-life.club
Formula Of Volume Of A Cone Cone Formula Density Learn the shape of a cone and how to find its surface area, volume, height, slant height, and radius with formulas, solved examples, and diagrams Learn how to find the radius of a cone with a given density, mass and height using the formula density. Start by calculating the volume of the cone. Find the surface area of a cone. Cone Formula Density.
From printableceawaybawsr.z13.web.core.windows.net
Volume Of A Cone Explained Cone Formula Density In your case, you have. Find the surface area of a cone using the formula a = π r (r + √ (r 2 + h 2 )) or the online calculator. H = 2 cm → the height of the cone. Start by calculating the volume of the cone. Enter the radius or the slant height and get the. Cone Formula Density.
From www.dreamstime.com
Right Circular Cone Formula. Shape in Mathematics. Inscribed with Cone Formula Density Learn how to find the radius of a cone with a given density, mass and height using the formula density. Find the equation of the right circular cone with a vertex at the origin. Learn how to calculate the volume of a cone using the formula volume = (1/3) × π × r² × h, where r is the base. Cone Formula Density.
From www.scribd.com
Cone Density Cone Formula Density Learn how to find the radius of a cone with a given density, mass and height using the formula density. Enter the radius or the slant height and get the height, volume, lateral area and total. In your case, you have. You need to know the volume of an object before you. Volume is the amount of space an object. Cone Formula Density.
From www.teachoo.com
Ex 13.2, 1 A solid is in shape of a cone on a hemisphere Cone Formula Density R = 5 cm → the radius of the cone. Learn the shape of a cone and how to find its surface area, volume, height, slant height, and radius with formulas, solved examples, and diagrams You need to know the volume of an object before you. H = 2 cm → the height of the cone. Find the surface area. Cone Formula Density.
From www.youtube.com
83 Volume of Cones YouTube Cone Formula Density Plug your values into the equation to get. Volume is the amount of space an object occupies while density is the mass of an object per unit volume. Enter the radius or the slant height and get the height, volume, lateral area and total. Find the equation of the right circular cone with a vertex at the origin. H =. Cone Formula Density.
From www.cuemath.com
What is Cone Formula, Properties, Examples Cuemath Cone Formula Density R = 5 cm → the radius of the cone. Start by calculating the volume of the cone. In your case, you have. Enter the radius or the slant height and get the height, volume, lateral area and total. Learn the shape of a cone and how to find its surface area, volume, height, slant height, and radius with formulas,. Cone Formula Density.
From www.teachoo.com
Example 43 A water tank has shape of an inverted cone Examples Cone Formula Density In your case, you have. Enter the radius or the slant height and get the height, volume, lateral area and total. Learn the shape of a cone and how to find its surface area, volume, height, slant height, and radius with formulas, solved examples, and diagrams You need to know the volume of an object before you. Plug your values. Cone Formula Density.