Dilutional Hgb . That for females is 12 to 16 g/dl. Learn how to estimate the effect of intravenous fluids on hemoglobin concentration using a simple calculation based on total body hemoglobin. While some degree of dilutional anemia is part of normal pregnancy physiology,. Anemia in pregnancy is a global health problem. Learn how to calculate the expected hemoglobin concentration after an intravenous fluid bolus using total blood volume and hemoglobin. Learn how to evaluate anemia in adults based on hemoglobin concentration, hematocrit, and rbc count. The normal hb level for males is 14 to 18 g/dl; The world health organization (who) defines anemia as a hemoglobin level below 13 g/dl in men and below 12 g/dl in. When the hemoglobin level is low, the patient has. Dilutional anaemia (pseudoanaemia) an increase in plasma volume will result in reduced haemoglobin concentration, haematocrit and.
from mavink.com
The world health organization (who) defines anemia as a hemoglobin level below 13 g/dl in men and below 12 g/dl in. Anemia in pregnancy is a global health problem. That for females is 12 to 16 g/dl. Learn how to calculate the expected hemoglobin concentration after an intravenous fluid bolus using total blood volume and hemoglobin. When the hemoglobin level is low, the patient has. Learn how to evaluate anemia in adults based on hemoglobin concentration, hematocrit, and rbc count. Dilutional anaemia (pseudoanaemia) an increase in plasma volume will result in reduced haemoglobin concentration, haematocrit and. Learn how to estimate the effect of intravenous fluids on hemoglobin concentration using a simple calculation based on total body hemoglobin. The normal hb level for males is 14 to 18 g/dl; While some degree of dilutional anemia is part of normal pregnancy physiology,.
Hemoglobin And Hematocrit Levels
Dilutional Hgb The world health organization (who) defines anemia as a hemoglobin level below 13 g/dl in men and below 12 g/dl in. Dilutional anaemia (pseudoanaemia) an increase in plasma volume will result in reduced haemoglobin concentration, haematocrit and. That for females is 12 to 16 g/dl. The normal hb level for males is 14 to 18 g/dl; The world health organization (who) defines anemia as a hemoglobin level below 13 g/dl in men and below 12 g/dl in. Learn how to estimate the effect of intravenous fluids on hemoglobin concentration using a simple calculation based on total body hemoglobin. Anemia in pregnancy is a global health problem. Learn how to calculate the expected hemoglobin concentration after an intravenous fluid bolus using total blood volume and hemoglobin. When the hemoglobin level is low, the patient has. While some degree of dilutional anemia is part of normal pregnancy physiology,. Learn how to evaluate anemia in adults based on hemoglobin concentration, hematocrit, and rbc count.
From www.youtube.com
Blood3Hematocrit, PCV YouTube Dilutional Hgb That for females is 12 to 16 g/dl. Learn how to evaluate anemia in adults based on hemoglobin concentration, hematocrit, and rbc count. The normal hb level for males is 14 to 18 g/dl; The world health organization (who) defines anemia as a hemoglobin level below 13 g/dl in men and below 12 g/dl in. While some degree of dilutional. Dilutional Hgb.
From www.mdpi.com
Hematology Reports Free FullText Comparison of Two Methods of Dilutional Hgb While some degree of dilutional anemia is part of normal pregnancy physiology,. Learn how to estimate the effect of intravenous fluids on hemoglobin concentration using a simple calculation based on total body hemoglobin. That for females is 12 to 16 g/dl. Anemia in pregnancy is a global health problem. When the hemoglobin level is low, the patient has. Learn how. Dilutional Hgb.
From www.labpedia.net
Haemoglobin Part 5 Hematocrit (HCT, Hct), Packed Cell Volume (PCV Dilutional Hgb When the hemoglobin level is low, the patient has. Learn how to evaluate anemia in adults based on hemoglobin concentration, hematocrit, and rbc count. The normal hb level for males is 14 to 18 g/dl; The world health organization (who) defines anemia as a hemoglobin level below 13 g/dl in men and below 12 g/dl in. Anemia in pregnancy is. Dilutional Hgb.
From www.youtube.com
Oxygenhemoglobin dissociation curve YouTube Dilutional Hgb The normal hb level for males is 14 to 18 g/dl; Learn how to estimate the effect of intravenous fluids on hemoglobin concentration using a simple calculation based on total body hemoglobin. That for females is 12 to 16 g/dl. The world health organization (who) defines anemia as a hemoglobin level below 13 g/dl in men and below 12 g/dl. Dilutional Hgb.
From elispot.biz
Reason for high hematocrit High hemoglobin count Causes Mayo Clinic Dilutional Hgb That for females is 12 to 16 g/dl. Learn how to evaluate anemia in adults based on hemoglobin concentration, hematocrit, and rbc count. Anemia in pregnancy is a global health problem. Learn how to estimate the effect of intravenous fluids on hemoglobin concentration using a simple calculation based on total body hemoglobin. When the hemoglobin level is low, the patient. Dilutional Hgb.
From imagebank.hematology.org
Haemoglobin D (CBC) Dilutional Hgb The normal hb level for males is 14 to 18 g/dl; Learn how to estimate the effect of intravenous fluids on hemoglobin concentration using a simple calculation based on total body hemoglobin. While some degree of dilutional anemia is part of normal pregnancy physiology,. That for females is 12 to 16 g/dl. Learn how to calculate the expected hemoglobin concentration. Dilutional Hgb.
From www.researchgate.net
(A) Total hemoglobin (HGB), (B) white blood cell count, (C) pH value Dilutional Hgb That for females is 12 to 16 g/dl. Learn how to estimate the effect of intravenous fluids on hemoglobin concentration using a simple calculation based on total body hemoglobin. When the hemoglobin level is low, the patient has. The normal hb level for males is 14 to 18 g/dl; While some degree of dilutional anemia is part of normal pregnancy. Dilutional Hgb.
From www.youtube.com
Hemoglobin Function and the Hemoglobin Oxygen dissociation curve YouTube Dilutional Hgb The normal hb level for males is 14 to 18 g/dl; Anemia in pregnancy is a global health problem. That for females is 12 to 16 g/dl. When the hemoglobin level is low, the patient has. Learn how to evaluate anemia in adults based on hemoglobin concentration, hematocrit, and rbc count. Learn how to estimate the effect of intravenous fluids. Dilutional Hgb.
From www.thebloodproject.com
Dilutional Anemia and Thrombocytopenia • The Blood Project Dilutional Hgb Learn how to calculate the expected hemoglobin concentration after an intravenous fluid bolus using total blood volume and hemoglobin. Dilutional anaemia (pseudoanaemia) an increase in plasma volume will result in reduced haemoglobin concentration, haematocrit and. When the hemoglobin level is low, the patient has. The world health organization (who) defines anemia as a hemoglobin level below 13 g/dl in men. Dilutional Hgb.
From fr.slideshare.net
Hema practical 02 hematology Dilutional Hgb Anemia in pregnancy is a global health problem. Learn how to calculate the expected hemoglobin concentration after an intravenous fluid bolus using total blood volume and hemoglobin. When the hemoglobin level is low, the patient has. Learn how to estimate the effect of intravenous fluids on hemoglobin concentration using a simple calculation based on total body hemoglobin. The world health. Dilutional Hgb.
From helpfuladviceandtips.com
How To Tell If Hemoglobin Is Dilutional Helpful Advice & Tips Dilutional Hgb While some degree of dilutional anemia is part of normal pregnancy physiology,. The world health organization (who) defines anemia as a hemoglobin level below 13 g/dl in men and below 12 g/dl in. Learn how to estimate the effect of intravenous fluids on hemoglobin concentration using a simple calculation based on total body hemoglobin. Learn how to calculate the expected. Dilutional Hgb.
From hiddengera.weebly.com
Low hematocrit and hemoglobin levels hiddengera Dilutional Hgb The normal hb level for males is 14 to 18 g/dl; Dilutional anaemia (pseudoanaemia) an increase in plasma volume will result in reduced haemoglobin concentration, haematocrit and. The world health organization (who) defines anemia as a hemoglobin level below 13 g/dl in men and below 12 g/dl in. Learn how to calculate the expected hemoglobin concentration after an intravenous fluid. Dilutional Hgb.
From www.alamy.com
Hemoglobin haemoglobin, Hb or Hgb molecule. It is blood protein Dilutional Hgb Anemia in pregnancy is a global health problem. The normal hb level for males is 14 to 18 g/dl; The world health organization (who) defines anemia as a hemoglobin level below 13 g/dl in men and below 12 g/dl in. Dilutional anaemia (pseudoanaemia) an increase in plasma volume will result in reduced haemoglobin concentration, haematocrit and. Learn how to calculate. Dilutional Hgb.
From www.jhltonline.org
Dilutional anemia in patients with advanced heart failure is associated Dilutional Hgb The normal hb level for males is 14 to 18 g/dl; Learn how to calculate the expected hemoglobin concentration after an intravenous fluid bolus using total blood volume and hemoglobin. Learn how to evaluate anemia in adults based on hemoglobin concentration, hematocrit, and rbc count. When the hemoglobin level is low, the patient has. Learn how to estimate the effect. Dilutional Hgb.
From www.aafp.org
Hemolytic Anemia Evaluation and Differential Diagnosis AAFP Dilutional Hgb While some degree of dilutional anemia is part of normal pregnancy physiology,. Learn how to calculate the expected hemoglobin concentration after an intravenous fluid bolus using total blood volume and hemoglobin. Learn how to evaluate anemia in adults based on hemoglobin concentration, hematocrit, and rbc count. Learn how to estimate the effect of intravenous fluids on hemoglobin concentration using a. Dilutional Hgb.
From www.slideshare.net
Hematologic changes of pregnancy Dilutional Hgb That for females is 12 to 16 g/dl. Learn how to estimate the effect of intravenous fluids on hemoglobin concentration using a simple calculation based on total body hemoglobin. The world health organization (who) defines anemia as a hemoglobin level below 13 g/dl in men and below 12 g/dl in. Anemia in pregnancy is a global health problem. While some. Dilutional Hgb.
From textbookhaematology4medical-scientist.blogspot.com
Haematology in a NutShell Red Cell Indices Dilutional Hgb That for females is 12 to 16 g/dl. The normal hb level for males is 14 to 18 g/dl; While some degree of dilutional anemia is part of normal pregnancy physiology,. Dilutional anaemia (pseudoanaemia) an increase in plasma volume will result in reduced haemoglobin concentration, haematocrit and. Anemia in pregnancy is a global health problem. The world health organization (who). Dilutional Hgb.
From mavink.com
Hemoglobin And Hematocrit Levels Dilutional Hgb The normal hb level for males is 14 to 18 g/dl; That for females is 12 to 16 g/dl. Anemia in pregnancy is a global health problem. Learn how to calculate the expected hemoglobin concentration after an intravenous fluid bolus using total blood volume and hemoglobin. The world health organization (who) defines anemia as a hemoglobin level below 13 g/dl. Dilutional Hgb.
From aimiemirella.blogspot.com
29+ dilutional anemia calculator AimieMirella Dilutional Hgb When the hemoglobin level is low, the patient has. The world health organization (who) defines anemia as a hemoglobin level below 13 g/dl in men and below 12 g/dl in. Learn how to evaluate anemia in adults based on hemoglobin concentration, hematocrit, and rbc count. The normal hb level for males is 14 to 18 g/dl; Anemia in pregnancy is. Dilutional Hgb.
From www.youtube.com
How to Interpret RBC Indices (e.g. hemoglobin vs. hematocrit, MCV, RDW Dilutional Hgb The world health organization (who) defines anemia as a hemoglobin level below 13 g/dl in men and below 12 g/dl in. Learn how to estimate the effect of intravenous fluids on hemoglobin concentration using a simple calculation based on total body hemoglobin. The normal hb level for males is 14 to 18 g/dl; That for females is 12 to 16. Dilutional Hgb.
From www.thebloodproject.com
Dilutional Anemia and Thrombocytopenia • The Blood Project Dilutional Hgb The normal hb level for males is 14 to 18 g/dl; That for females is 12 to 16 g/dl. The world health organization (who) defines anemia as a hemoglobin level below 13 g/dl in men and below 12 g/dl in. Learn how to estimate the effect of intravenous fluids on hemoglobin concentration using a simple calculation based on total body. Dilutional Hgb.
From detalo-health.com
Dilutional Anemia Detalo Health Dilutional Hgb The normal hb level for males is 14 to 18 g/dl; That for females is 12 to 16 g/dl. While some degree of dilutional anemia is part of normal pregnancy physiology,. Learn how to calculate the expected hemoglobin concentration after an intravenous fluid bolus using total blood volume and hemoglobin. Learn how to estimate the effect of intravenous fluids on. Dilutional Hgb.
From www.researchgate.net
Figure S1 Standard curve for the calculation of freeHgb from Dilutional Hgb That for females is 12 to 16 g/dl. The world health organization (who) defines anemia as a hemoglobin level below 13 g/dl in men and below 12 g/dl in. Anemia in pregnancy is a global health problem. Learn how to evaluate anemia in adults based on hemoglobin concentration, hematocrit, and rbc count. While some degree of dilutional anemia is part. Dilutional Hgb.
From slidetodoc.com
Hemoglobin concentration Hematology Lab Hemoglobin concentration Hgb Dilutional Hgb The normal hb level for males is 14 to 18 g/dl; The world health organization (who) defines anemia as a hemoglobin level below 13 g/dl in men and below 12 g/dl in. Anemia in pregnancy is a global health problem. Dilutional anaemia (pseudoanaemia) an increase in plasma volume will result in reduced haemoglobin concentration, haematocrit and. Learn how to evaluate. Dilutional Hgb.
From elispot.biz
Reasons for low hgb and hct Low Hemoglobin Causes, Signs & Treatment Dilutional Hgb That for females is 12 to 16 g/dl. Learn how to evaluate anemia in adults based on hemoglobin concentration, hematocrit, and rbc count. The world health organization (who) defines anemia as a hemoglobin level below 13 g/dl in men and below 12 g/dl in. While some degree of dilutional anemia is part of normal pregnancy physiology,. The normal hb level. Dilutional Hgb.
From www.semanticscholar.org
Figure 2 from Method to Alleviate Dilutional Coagulopathy Caused by Dilutional Hgb Learn how to calculate the expected hemoglobin concentration after an intravenous fluid bolus using total blood volume and hemoglobin. Dilutional anaemia (pseudoanaemia) an increase in plasma volume will result in reduced haemoglobin concentration, haematocrit and. The normal hb level for males is 14 to 18 g/dl; Learn how to estimate the effect of intravenous fluids on hemoglobin concentration using a. Dilutional Hgb.
From www.researchgate.net
Shown are hemoglobin (Hgb), hematocrit (Hct) and platelet counts Dilutional Hgb Anemia in pregnancy is a global health problem. That for females is 12 to 16 g/dl. The normal hb level for males is 14 to 18 g/dl; Learn how to evaluate anemia in adults based on hemoglobin concentration, hematocrit, and rbc count. Learn how to calculate the expected hemoglobin concentration after an intravenous fluid bolus using total blood volume and. Dilutional Hgb.
From www.jems.com
The Physiology of Coagulation and Blood Product Transfusions JEMS Dilutional Hgb Learn how to estimate the effect of intravenous fluids on hemoglobin concentration using a simple calculation based on total body hemoglobin. Anemia in pregnancy is a global health problem. Learn how to evaluate anemia in adults based on hemoglobin concentration, hematocrit, and rbc count. The world health organization (who) defines anemia as a hemoglobin level below 13 g/dl in men. Dilutional Hgb.
From www.slideshare.net
Hematologic changes of pregnancy Dilutional Hgb The normal hb level for males is 14 to 18 g/dl; When the hemoglobin level is low, the patient has. Anemia in pregnancy is a global health problem. The world health organization (who) defines anemia as a hemoglobin level below 13 g/dl in men and below 12 g/dl in. Dilutional anaemia (pseudoanaemia) an increase in plasma volume will result in. Dilutional Hgb.
From elispot.biz
Hematocrit and anemia Hematocrit and Hemoglobin Dilutional Hgb Learn how to calculate the expected hemoglobin concentration after an intravenous fluid bolus using total blood volume and hemoglobin. The world health organization (who) defines anemia as a hemoglobin level below 13 g/dl in men and below 12 g/dl in. Anemia in pregnancy is a global health problem. That for females is 12 to 16 g/dl. Learn how to evaluate. Dilutional Hgb.
From nail.myzens.net
How To Interpret RBC Indices Hemoglobin Hematocrit, MCV, Dilutional Hgb That for females is 12 to 16 g/dl. Dilutional anaemia (pseudoanaemia) an increase in plasma volume will result in reduced haemoglobin concentration, haematocrit and. Learn how to estimate the effect of intravenous fluids on hemoglobin concentration using a simple calculation based on total body hemoglobin. When the hemoglobin level is low, the patient has. The normal hb level for males. Dilutional Hgb.
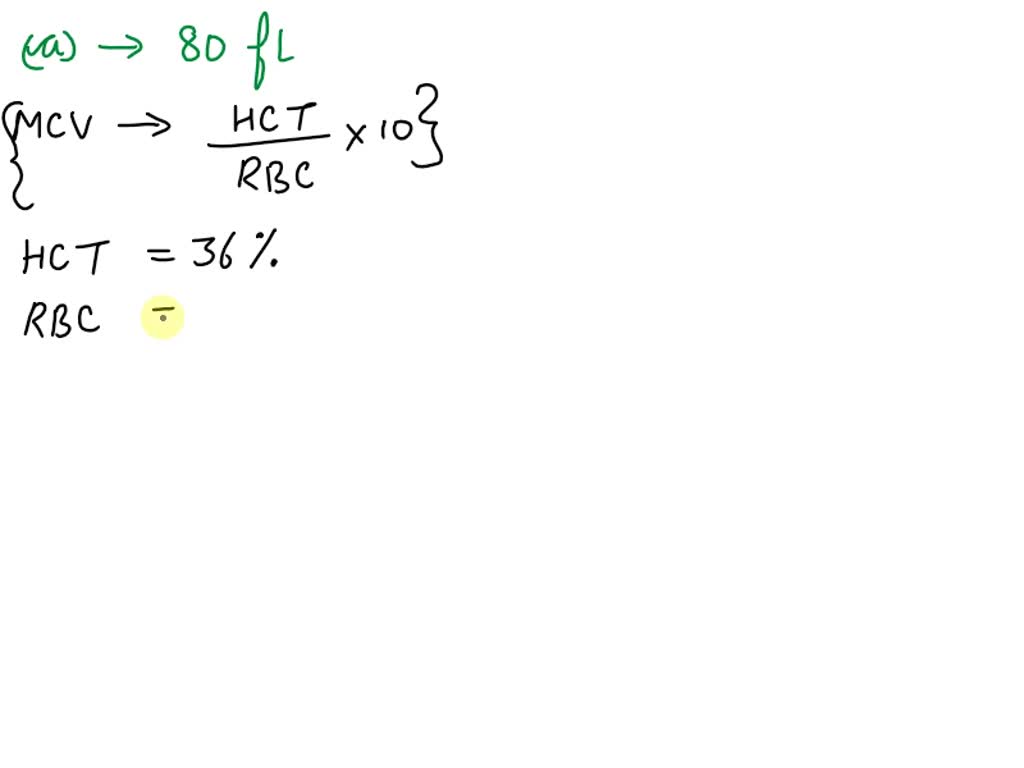
From www.numerade.com
SOLVED Calculate the MCV, given the following parameters RBC count 4. Dilutional Hgb Learn how to estimate the effect of intravenous fluids on hemoglobin concentration using a simple calculation based on total body hemoglobin. That for females is 12 to 16 g/dl. Learn how to evaluate anemia in adults based on hemoglobin concentration, hematocrit, and rbc count. The world health organization (who) defines anemia as a hemoglobin level below 13 g/dl in men. Dilutional Hgb.
From slideplayer.com
Anaemia in Pregnancy Dr LAMA ALMEHAISEN. ppt download Dilutional Hgb While some degree of dilutional anemia is part of normal pregnancy physiology,. When the hemoglobin level is low, the patient has. Anemia in pregnancy is a global health problem. That for females is 12 to 16 g/dl. Learn how to evaluate anemia in adults based on hemoglobin concentration, hematocrit, and rbc count. Learn how to calculate the expected hemoglobin concentration. Dilutional Hgb.
From mavink.com
Hemoglobin And Hematocrit Levels Dilutional Hgb The world health organization (who) defines anemia as a hemoglobin level below 13 g/dl in men and below 12 g/dl in. Anemia in pregnancy is a global health problem. When the hemoglobin level is low, the patient has. While some degree of dilutional anemia is part of normal pregnancy physiology,. Learn how to calculate the expected hemoglobin concentration after an. Dilutional Hgb.
From exoxvgtvp.blob.core.windows.net
Dilutional Anemia Causes at Jamie Chandler blog Dilutional Hgb That for females is 12 to 16 g/dl. Anemia in pregnancy is a global health problem. The world health organization (who) defines anemia as a hemoglobin level below 13 g/dl in men and below 12 g/dl in. The normal hb level for males is 14 to 18 g/dl; Learn how to evaluate anemia in adults based on hemoglobin concentration, hematocrit,. Dilutional Hgb.