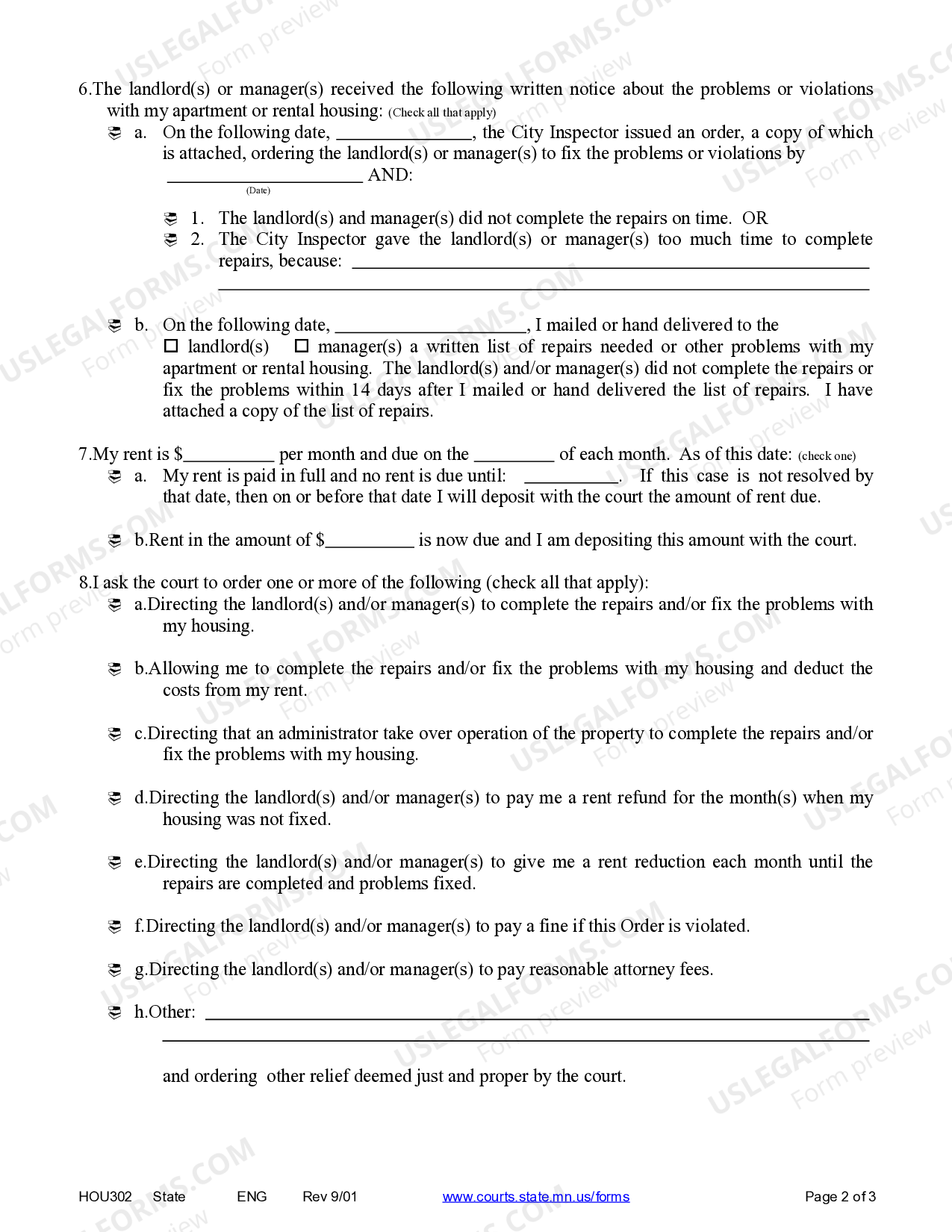
Minnesota Rent Escrow Form . You can find forms for eviction, rent. • affidavit of rent escrow (hou302); (a) if a violation exists in a residential building, a. 2017) 3 affidavit for escrow of rent a g for my good faith attempt on _____________ to secure or enforce rights under. Forms you may need to request a rent escrow: Requirements to file a rent escrow • complete an affidavit of rent escrow (available at the court administrator/housing court office or online at. Under the rent escrow law, tenants can pay. 504b.385 rent escrow action to remedy violations. Tenant's rent escrow packet forms in this category are now available as fillable smart forms. For help with how to open. Tenants may place rent in an escrow account when a landlord will not fix housing violations.
from www.templateroller.com
Forms you may need to request a rent escrow: • affidavit of rent escrow (hou302); Tenant's rent escrow packet forms in this category are now available as fillable smart forms. You can find forms for eviction, rent. 2017) 3 affidavit for escrow of rent a g for my good faith attempt on _____________ to secure or enforce rights under. Tenants may place rent in an escrow account when a landlord will not fix housing violations. Requirements to file a rent escrow • complete an affidavit of rent escrow (available at the court administrator/housing court office or online at. 504b.385 rent escrow action to remedy violations. For help with how to open. Under the rent escrow law, tenants can pay.
Form HOU302 Fill Out, Sign Online and Download Fillable PDF
Minnesota Rent Escrow Form Requirements to file a rent escrow • complete an affidavit of rent escrow (available at the court administrator/housing court office or online at. • affidavit of rent escrow (hou302); Tenants may place rent in an escrow account when a landlord will not fix housing violations. You can find forms for eviction, rent. Under the rent escrow law, tenants can pay. Tenant's rent escrow packet forms in this category are now available as fillable smart forms. Forms you may need to request a rent escrow: 2017) 3 affidavit for escrow of rent a g for my good faith attempt on _____________ to secure or enforce rights under. Requirements to file a rent escrow • complete an affidavit of rent escrow (available at the court administrator/housing court office or online at. For help with how to open. 504b.385 rent escrow action to remedy violations. (a) if a violation exists in a residential building, a.
From www.templateroller.com
Form HOU302 Fill Out, Sign Online and Download Fillable PDF Minnesota Rent Escrow Form 2017) 3 affidavit for escrow of rent a g for my good faith attempt on _____________ to secure or enforce rights under. • affidavit of rent escrow (hou302); You can find forms for eviction, rent. 504b.385 rent escrow action to remedy violations. For help with how to open. Requirements to file a rent escrow • complete an affidavit of rent. Minnesota Rent Escrow Form.
From www.templateroller.com
Form HOU302 Fill Out, Sign Online and Download Fillable PDF Minnesota Rent Escrow Form Requirements to file a rent escrow • complete an affidavit of rent escrow (available at the court administrator/housing court office or online at. Tenants may place rent in an escrow account when a landlord will not fix housing violations. 2017) 3 affidavit for escrow of rent a g for my good faith attempt on _____________ to secure or enforce rights. Minnesota Rent Escrow Form.
From esign.com
Free Minnesota Standard Residential Lease Agreement Template PDF Word Minnesota Rent Escrow Form Tenant's rent escrow packet forms in this category are now available as fillable smart forms. You can find forms for eviction, rent. 2017) 3 affidavit for escrow of rent a g for my good faith attempt on _____________ to secure or enforce rights under. • affidavit of rent escrow (hou302); Requirements to file a rent escrow • complete an affidavit. Minnesota Rent Escrow Form.
From rentallease.com
Free Minnesota Rental Lease Agreement Templates PDF Word Minnesota Rent Escrow Form Under the rent escrow law, tenants can pay. • affidavit of rent escrow (hou302); Tenants may place rent in an escrow account when a landlord will not fix housing violations. Tenant's rent escrow packet forms in this category are now available as fillable smart forms. You can find forms for eviction, rent. For help with how to open. Requirements to. Minnesota Rent Escrow Form.
From projectopenletter.com
Minnesota Residential Lease Agreement Template Printable Form Minnesota Rent Escrow Form • affidavit of rent escrow (hou302); Requirements to file a rent escrow • complete an affidavit of rent escrow (available at the court administrator/housing court office or online at. Forms you may need to request a rent escrow: Under the rent escrow law, tenants can pay. Tenants may place rent in an escrow account when a landlord will not fix. Minnesota Rent Escrow Form.
From www.templateroller.com
Form HOU302 Fill Out, Sign Online and Download Fillable PDF Minnesota Rent Escrow Form Requirements to file a rent escrow • complete an affidavit of rent escrow (available at the court administrator/housing court office or online at. Tenant's rent escrow packet forms in this category are now available as fillable smart forms. (a) if a violation exists in a residential building, a. • affidavit of rent escrow (hou302); Under the rent escrow law, tenants. Minnesota Rent Escrow Form.
From www.uslegalforms.com
Minnesota Affidavit or Rent Escrow Rent Escrow Mn US Legal Forms Minnesota Rent Escrow Form Requirements to file a rent escrow • complete an affidavit of rent escrow (available at the court administrator/housing court office or online at. • affidavit of rent escrow (hou302); 2017) 3 affidavit for escrow of rent a g for my good faith attempt on _____________ to secure or enforce rights under. Under the rent escrow law, tenants can pay. Tenant's. Minnesota Rent Escrow Form.
From www.uslegalforms.com
Minnesota Affidavit for Escrow of Rent Affidavit Of No Rental US Minnesota Rent Escrow Form For help with how to open. Tenants may place rent in an escrow account when a landlord will not fix housing violations. 2017) 3 affidavit for escrow of rent a g for my good faith attempt on _____________ to secure or enforce rights under. Under the rent escrow law, tenants can pay. (a) if a violation exists in a residential. Minnesota Rent Escrow Form.
From www.rentersrebate.net
Fillable Form Crp Certificate Of Rent Paid Minnesota Department Of Minnesota Rent Escrow Form Under the rent escrow law, tenants can pay. Forms you may need to request a rent escrow: Requirements to file a rent escrow • complete an affidavit of rent escrow (available at the court administrator/housing court office or online at. For help with how to open. • affidavit of rent escrow (hou302); You can find forms for eviction, rent. Tenant's. Minnesota Rent Escrow Form.
From www.uslegalforms.com
Minnesota Affidavit or Rent Escrow Rent Escrow Mn US Legal Forms Minnesota Rent Escrow Form Forms you may need to request a rent escrow: Tenant's rent escrow packet forms in this category are now available as fillable smart forms. For help with how to open. Tenants may place rent in an escrow account when a landlord will not fix housing violations. 504b.385 rent escrow action to remedy violations. Requirements to file a rent escrow •. Minnesota Rent Escrow Form.
From www.signnow.com
Minnesota Escrow Complete with ease airSlate SignNow Minnesota Rent Escrow Form Under the rent escrow law, tenants can pay. For help with how to open. You can find forms for eviction, rent. • affidavit of rent escrow (hou302); 2017) 3 affidavit for escrow of rent a g for my good faith attempt on _____________ to secure or enforce rights under. Requirements to file a rent escrow • complete an affidavit of. Minnesota Rent Escrow Form.
From www.signnow.com
Escrow Forms for Rent Fill Out and Sign Printable PDF Template Minnesota Rent Escrow Form You can find forms for eviction, rent. Tenant's rent escrow packet forms in this category are now available as fillable smart forms. For help with how to open. • affidavit of rent escrow (hou302); 2017) 3 affidavit for escrow of rent a g for my good faith attempt on _____________ to secure or enforce rights under. Under the rent escrow. Minnesota Rent Escrow Form.
From cashier.mijndomein.nl
Minnesota Rental Agreement Template Minnesota Rent Escrow Form For help with how to open. 2017) 3 affidavit for escrow of rent a g for my good faith attempt on _____________ to secure or enforce rights under. Tenants may place rent in an escrow account when a landlord will not fix housing violations. Tenant's rent escrow packet forms in this category are now available as fillable smart forms. (a). Minnesota Rent Escrow Form.
From freeforms.com
Free Minnesota Rental Lease Agreement Templates PDF WORD Minnesota Rent Escrow Form 2017) 3 affidavit for escrow of rent a g for my good faith attempt on _____________ to secure or enforce rights under. For help with how to open. You can find forms for eviction, rent. (a) if a violation exists in a residential building, a. Forms you may need to request a rent escrow: Requirements to file a rent escrow. Minnesota Rent Escrow Form.
From www.templateroller.com
Form HOU301 Fill Out, Sign Online and Download Printable PDF Minnesota Rent Escrow Form 2017) 3 affidavit for escrow of rent a g for my good faith attempt on _____________ to secure or enforce rights under. Requirements to file a rent escrow • complete an affidavit of rent escrow (available at the court administrator/housing court office or online at. Forms you may need to request a rent escrow: Under the rent escrow law, tenants. Minnesota Rent Escrow Form.
From www.pdffiller.com
Fillable Online Affidavit Of Rent Escrow Minnesota District Court Minnesota Rent Escrow Form Tenants may place rent in an escrow account when a landlord will not fix housing violations. 2017) 3 affidavit for escrow of rent a g for my good faith attempt on _____________ to secure or enforce rights under. Requirements to file a rent escrow • complete an affidavit of rent escrow (available at the court administrator/housing court office or online. Minnesota Rent Escrow Form.
From ipropertymanagement.com
Minnesota Rental Lease Agreement Template [2024] PDF & DOC Minnesota Rent Escrow Form Forms you may need to request a rent escrow: • affidavit of rent escrow (hou302); (a) if a violation exists in a residential building, a. Under the rent escrow law, tenants can pay. 504b.385 rent escrow action to remedy violations. You can find forms for eviction, rent. 2017) 3 affidavit for escrow of rent a g for my good faith. Minnesota Rent Escrow Form.
From www.templateroller.com
Form HOU302 Fill Out, Sign Online and Download Fillable PDF Minnesota Rent Escrow Form Requirements to file a rent escrow • complete an affidavit of rent escrow (available at the court administrator/housing court office or online at. • affidavit of rent escrow (hou302); 2017) 3 affidavit for escrow of rent a g for my good faith attempt on _____________ to secure or enforce rights under. Under the rent escrow law, tenants can pay. You. Minnesota Rent Escrow Form.
From www.templateroller.com
Form HOU301 Fill Out, Sign Online and Download Printable PDF Minnesota Rent Escrow Form Forms you may need to request a rent escrow: • affidavit of rent escrow (hou302); You can find forms for eviction, rent. (a) if a violation exists in a residential building, a. Under the rent escrow law, tenants can pay. Requirements to file a rent escrow • complete an affidavit of rent escrow (available at the court administrator/housing court office. Minnesota Rent Escrow Form.
From www.formsbirds.com
Minnesota Rent and Lease Template Free Templates in PDF, Word, Excel Minnesota Rent Escrow Form Under the rent escrow law, tenants can pay. • affidavit of rent escrow (hou302); Tenant's rent escrow packet forms in this category are now available as fillable smart forms. Tenants may place rent in an escrow account when a landlord will not fix housing violations. 2017) 3 affidavit for escrow of rent a g for my good faith attempt on. Minnesota Rent Escrow Form.
From www.templateroller.com
Form HOU302 Fill Out, Sign Online and Download Fillable PDF Minnesota Rent Escrow Form (a) if a violation exists in a residential building, a. 2017) 3 affidavit for escrow of rent a g for my good faith attempt on _____________ to secure or enforce rights under. For help with how to open. Tenants may place rent in an escrow account when a landlord will not fix housing violations. Requirements to file a rent escrow. Minnesota Rent Escrow Form.
From www.templateroller.com
Form HOU301 Fill Out, Sign Online and Download Printable PDF Minnesota Rent Escrow Form Requirements to file a rent escrow • complete an affidavit of rent escrow (available at the court administrator/housing court office or online at. (a) if a violation exists in a residential building, a. • affidavit of rent escrow (hou302); 2017) 3 affidavit for escrow of rent a g for my good faith attempt on _____________ to secure or enforce rights. Minnesota Rent Escrow Form.
From www.templateroller.com
Form HOU302 Fill Out, Sign Online and Download Fillable PDF Minnesota Rent Escrow Form 504b.385 rent escrow action to remedy violations. Tenants may place rent in an escrow account when a landlord will not fix housing violations. You can find forms for eviction, rent. Requirements to file a rent escrow • complete an affidavit of rent escrow (available at the court administrator/housing court office or online at. Under the rent escrow law, tenants can. Minnesota Rent Escrow Form.
From www.uslegalforms.com
Minnesota Affidavit for Escrow of Rent Affidavit Of No Rental US Minnesota Rent Escrow Form 504b.385 rent escrow action to remedy violations. Tenants may place rent in an escrow account when a landlord will not fix housing violations. Requirements to file a rent escrow • complete an affidavit of rent escrow (available at the court administrator/housing court office or online at. You can find forms for eviction, rent. • affidavit of rent escrow (hou302); Tenant's. Minnesota Rent Escrow Form.
From www.pdffiller.com
Fillable Online RENT ESCROW A HOWTO GUIDE Squarespace Fax Email Minnesota Rent Escrow Form For help with how to open. 504b.385 rent escrow action to remedy violations. Tenant's rent escrow packet forms in this category are now available as fillable smart forms. 2017) 3 affidavit for escrow of rent a g for my good faith attempt on _____________ to secure or enforce rights under. Requirements to file a rent escrow • complete an affidavit. Minnesota Rent Escrow Form.
From www.pdffiller.com
Fillable Online Montgomery County Rent Escrow Application.pdf Fax Email Minnesota Rent Escrow Form Tenants may place rent in an escrow account when a landlord will not fix housing violations. 504b.385 rent escrow action to remedy violations. Tenant's rent escrow packet forms in this category are now available as fillable smart forms. For help with how to open. • affidavit of rent escrow (hou302); Requirements to file a rent escrow • complete an affidavit. Minnesota Rent Escrow Form.
From eforms.com
Free Minnesota Standard Residential Lease Agreement Form PDF Word Minnesota Rent Escrow Form Requirements to file a rent escrow • complete an affidavit of rent escrow (available at the court administrator/housing court office or online at. Forms you may need to request a rent escrow: You can find forms for eviction, rent. (a) if a violation exists in a residential building, a. 2017) 3 affidavit for escrow of rent a g for my. Minnesota Rent Escrow Form.
From www.uslegalforms.com
Minnesota Affidavit for Escrow of Rent Affidavit Of No Rental US Minnesota Rent Escrow Form (a) if a violation exists in a residential building, a. 2017) 3 affidavit for escrow of rent a g for my good faith attempt on _____________ to secure or enforce rights under. Under the rent escrow law, tenants can pay. Forms you may need to request a rent escrow: 504b.385 rent escrow action to remedy violations. Tenants may place rent. Minnesota Rent Escrow Form.
From www.formsbank.com
26 Minnesota District Court Forms And Templates free to download in PDF Minnesota Rent Escrow Form Tenants may place rent in an escrow account when a landlord will not fix housing violations. 504b.385 rent escrow action to remedy violations. Tenant's rent escrow packet forms in this category are now available as fillable smart forms. (a) if a violation exists in a residential building, a. Requirements to file a rent escrow • complete an affidavit of rent. Minnesota Rent Escrow Form.
From www.printablerealestateforms.com
Free Simple Escrow Agreement Form (WORD PDF TEMPLATE) Minnesota Rent Escrow Form • affidavit of rent escrow (hou302); 504b.385 rent escrow action to remedy violations. For help with how to open. Forms you may need to request a rent escrow: Tenant's rent escrow packet forms in this category are now available as fillable smart forms. (a) if a violation exists in a residential building, a. 2017) 3 affidavit for escrow of rent. Minnesota Rent Escrow Form.
From www.formsbirds.com
Minnesota Rental Application Free Download Minnesota Rent Escrow Form Forms you may need to request a rent escrow: (a) if a violation exists in a residential building, a. Tenants may place rent in an escrow account when a landlord will not fix housing violations. Tenant's rent escrow packet forms in this category are now available as fillable smart forms. Requirements to file a rent escrow • complete an affidavit. Minnesota Rent Escrow Form.
From www.templateroller.com
Form HOU302 Fill Out, Sign Online and Download Fillable PDF Minnesota Rent Escrow Form Requirements to file a rent escrow • complete an affidavit of rent escrow (available at the court administrator/housing court office or online at. Tenant's rent escrow packet forms in this category are now available as fillable smart forms. Under the rent escrow law, tenants can pay. Tenants may place rent in an escrow account when a landlord will not fix. Minnesota Rent Escrow Form.
From www.sampleforms.com
FREE 9+ Sample Escrow Agreement Forms in PDF MS Word Minnesota Rent Escrow Form 504b.385 rent escrow action to remedy violations. (a) if a violation exists in a residential building, a. Requirements to file a rent escrow • complete an affidavit of rent escrow (available at the court administrator/housing court office or online at. You can find forms for eviction, rent. 2017) 3 affidavit for escrow of rent a g for my good faith. Minnesota Rent Escrow Form.
From www.sampleforms.com
FREE 9+ Sample Escrow Agreement Forms in PDF MS Word Minnesota Rent Escrow Form You can find forms for eviction, rent. 2017) 3 affidavit for escrow of rent a g for my good faith attempt on _____________ to secure or enforce rights under. Under the rent escrow law, tenants can pay. Requirements to file a rent escrow • complete an affidavit of rent escrow (available at the court administrator/housing court office or online at.. Minnesota Rent Escrow Form.
From www.templateroller.com
Form HOU302 Fill Out, Sign Online and Download Fillable PDF Minnesota Rent Escrow Form Tenant's rent escrow packet forms in this category are now available as fillable smart forms. 2017) 3 affidavit for escrow of rent a g for my good faith attempt on _____________ to secure or enforce rights under. For help with how to open. Under the rent escrow law, tenants can pay. (a) if a violation exists in a residential building,. Minnesota Rent Escrow Form.