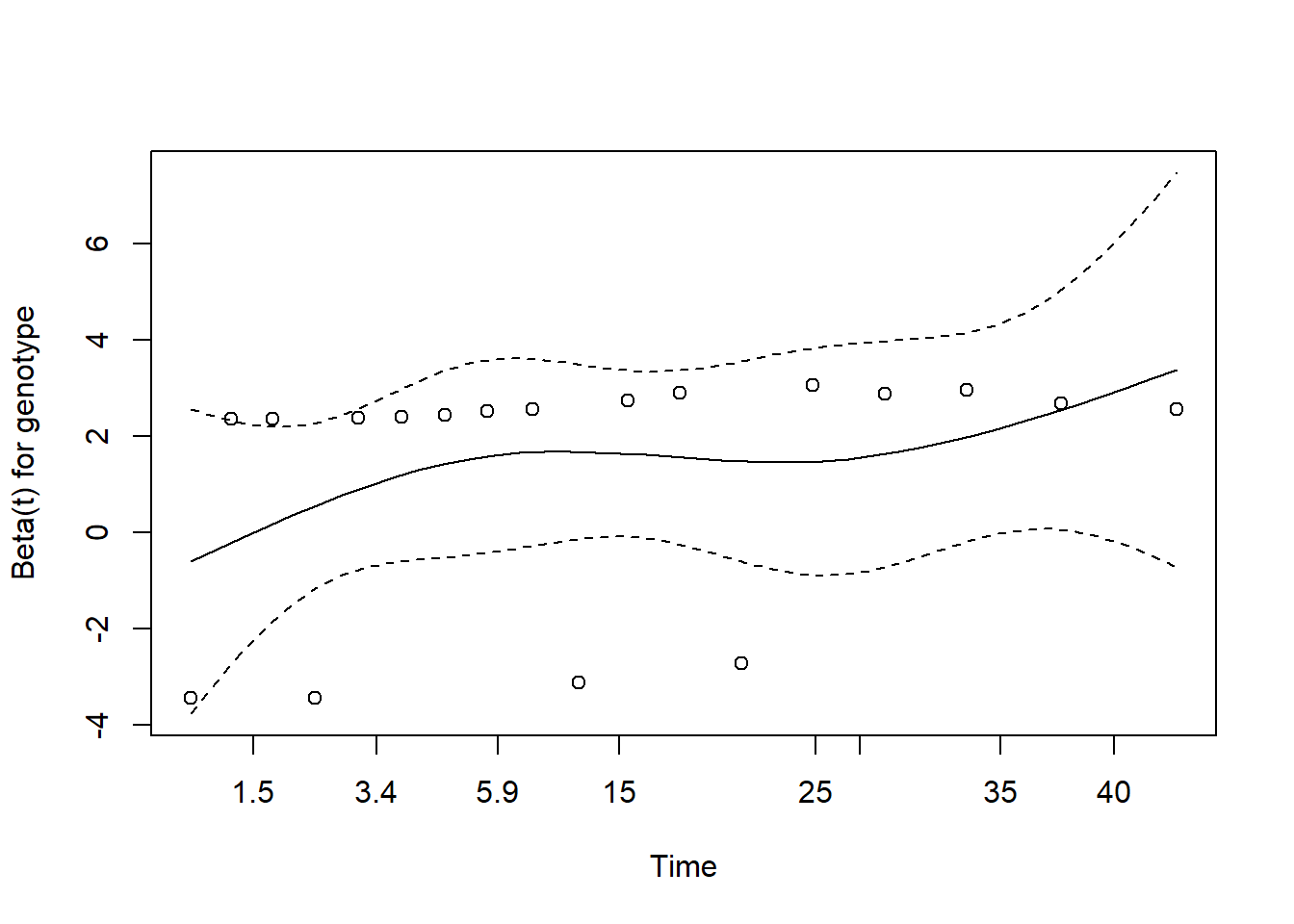
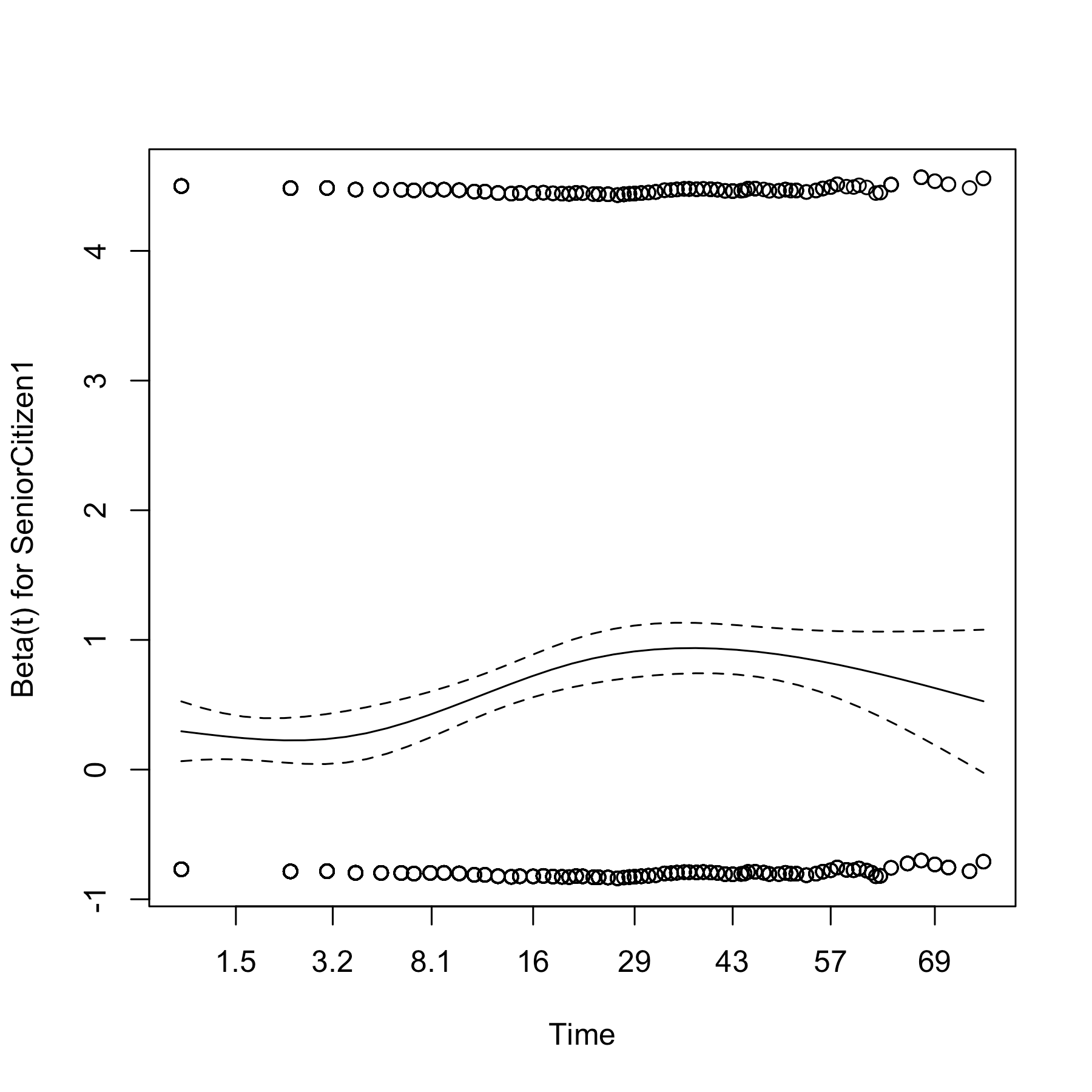
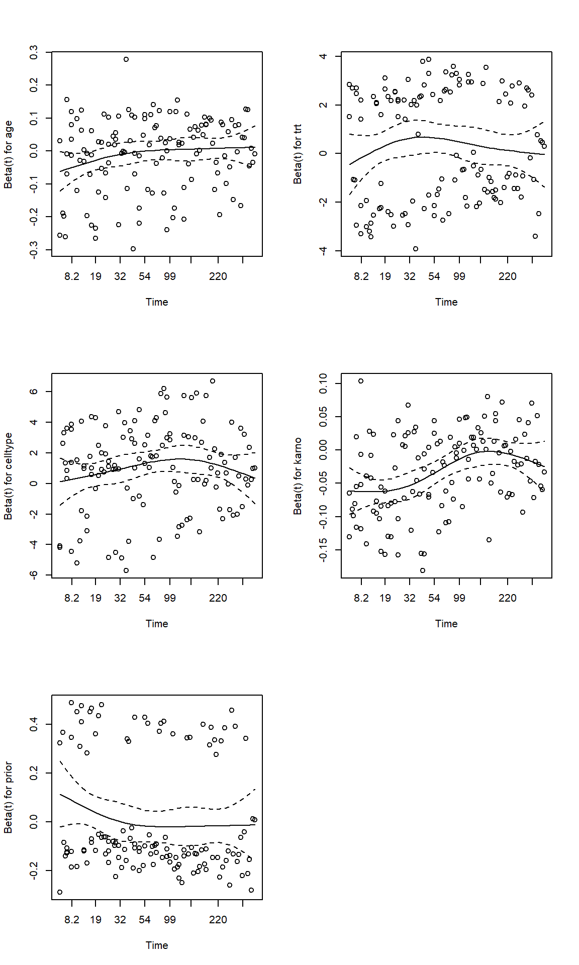
Cox Zph Meaning . The cox.zph() function from the survival package allows us to test this assumption for each variable. Test the proportional hazards assumption for a cox. Test the proportional hazards assumption for a cox regression model fit (coxph). The reason cox regression is called cox “proportional hazards” (ph) regression is that the standard form of the model assumes the hazards. Test the proportional hazards assumption for a cox regression model fit (coxph). The plot of scaled schoenfeld residuals should be a horizontal line. Test the proportional hazards assumption of a cox regression. If the line is straight but slanted upward it implies non. When interpreting the output of cox.zph it is just as much (or even more) the flatness of the line, as it is the straightness of the line, that is important. From my understanding of it, the significance of cox.zph() means that the cox model is not fit to model the relationship between my. The cox proportional hazards (cph) model, is a statistical model used to analyze the relationship between one or more covariates and.
from stats.stackexchange.com
Test the proportional hazards assumption for a cox regression model fit (coxph). The cox.zph() function from the survival package allows us to test this assumption for each variable. If the line is straight but slanted upward it implies non. Test the proportional hazards assumption for a cox regression model fit (coxph). From my understanding of it, the significance of cox.zph() means that the cox model is not fit to model the relationship between my. The reason cox regression is called cox “proportional hazards” (ph) regression is that the standard form of the model assumes the hazards. Test the proportional hazards assumption of a cox regression. The cox proportional hazards (cph) model, is a statistical model used to analyze the relationship between one or more covariates and. The plot of scaled schoenfeld residuals should be a horizontal line. When interpreting the output of cox.zph it is just as much (or even more) the flatness of the line, as it is the straightness of the line, that is important.
survival How to understand the plotting of the cox.zph function in R
Cox Zph Meaning When interpreting the output of cox.zph it is just as much (or even more) the flatness of the line, as it is the straightness of the line, that is important. The plot of scaled schoenfeld residuals should be a horizontal line. Test the proportional hazards assumption of a cox regression. If the line is straight but slanted upward it implies non. From my understanding of it, the significance of cox.zph() means that the cox model is not fit to model the relationship between my. Test the proportional hazards assumption for a cox regression model fit (coxph). The reason cox regression is called cox “proportional hazards” (ph) regression is that the standard form of the model assumes the hazards. The cox.zph() function from the survival package allows us to test this assumption for each variable. Test the proportional hazards assumption for a cox regression model fit (coxph). The cox proportional hazards (cph) model, is a statistical model used to analyze the relationship between one or more covariates and. When interpreting the output of cox.zph it is just as much (or even more) the flatness of the line, as it is the straightness of the line, that is important. Test the proportional hazards assumption for a cox.
From www.youtube.com
Pronunciation of Cox Definition of Cox YouTube Cox Zph Meaning When interpreting the output of cox.zph it is just as much (or even more) the flatness of the line, as it is the straightness of the line, that is important. If the line is straight but slanted upward it implies non. Test the proportional hazards assumption of a cox regression. Test the proportional hazards assumption for a cox regression model. Cox Zph Meaning.
From stats.stackexchange.com
Survival Analysis Log log and Cox zph Cross Validated Cox Zph Meaning Test the proportional hazards assumption of a cox regression. From my understanding of it, the significance of cox.zph() means that the cox model is not fit to model the relationship between my. The cox proportional hazards (cph) model, is a statistical model used to analyze the relationship between one or more covariates and. Test the proportional hazards assumption for a. Cox Zph Meaning.
From bytemeta.vip
Differences between plot.cox.zph and ggcoxzph bytemeta Cox Zph Meaning The reason cox regression is called cox “proportional hazards” (ph) regression is that the standard form of the model assumes the hazards. Test the proportional hazards assumption for a cox regression model fit (coxph). From my understanding of it, the significance of cox.zph() means that the cox model is not fit to model the relationship between my. The cox proportional. Cox Zph Meaning.
From www.slideserve.com
PPT The Cox model in R PowerPoint Presentation, free download ID Cox Zph Meaning Test the proportional hazards assumption for a cox. Test the proportional hazards assumption of a cox regression. The cox.zph() function from the survival package allows us to test this assumption for each variable. The plot of scaled schoenfeld residuals should be a horizontal line. If the line is straight but slanted upward it implies non. Test the proportional hazards assumption. Cox Zph Meaning.
From stats.stackexchange.com
survival How to understand the plotting of the cox.zph function in R Cox Zph Meaning If the line is straight but slanted upward it implies non. Test the proportional hazards assumption for a cox regression model fit (coxph). From my understanding of it, the significance of cox.zph() means that the cox model is not fit to model the relationship between my. Test the proportional hazards assumption for a cox regression model fit (coxph). When interpreting. Cox Zph Meaning.
From annezj.github.io
Modelling customer churn Part 1 Dr Anne Jones Cox Zph Meaning The plot of scaled schoenfeld residuals should be a horizontal line. When interpreting the output of cox.zph it is just as much (or even more) the flatness of the line, as it is the straightness of the line, that is important. The cox proportional hazards (cph) model, is a statistical model used to analyze the relationship between one or more. Cox Zph Meaning.
From github.com
Confidence bounds in ggcoxzph are wider than those from plot.cox.zph Cox Zph Meaning Test the proportional hazards assumption for a cox. The plot of scaled schoenfeld residuals should be a horizontal line. Test the proportional hazards assumption for a cox regression model fit (coxph). The cox.zph() function from the survival package allows us to test this assumption for each variable. If the line is straight but slanted upward it implies non. From my. Cox Zph Meaning.
From stats.stackexchange.com
cox model Cox PH nonproportionality timedependent variable Cox Zph Meaning Test the proportional hazards assumption for a cox regression model fit (coxph). Test the proportional hazards assumption of a cox regression. From my understanding of it, the significance of cox.zph() means that the cox model is not fit to model the relationship between my. The cox.zph() function from the survival package allows us to test this assumption for each variable.. Cox Zph Meaning.
From www.youtube.com
Cox — what is COX definition YouTube Cox Zph Meaning From my understanding of it, the significance of cox.zph() means that the cox model is not fit to model the relationship between my. Test the proportional hazards assumption for a cox regression model fit (coxph). Test the proportional hazards assumption for a cox. The plot of scaled schoenfeld residuals should be a horizontal line. The cox.zph() function from the survival. Cox Zph Meaning.
From github.com
Confidence bounds in ggcoxzph are wider than those from plot.cox.zph Cox Zph Meaning Test the proportional hazards assumption of a cox regression. From my understanding of it, the significance of cox.zph() means that the cox model is not fit to model the relationship between my. Test the proportional hazards assumption for a cox regression model fit (coxph). The cox.zph() function from the survival package allows us to test this assumption for each variable.. Cox Zph Meaning.
From thomaselove.github.io
Chapter 22 Cox Regression Models for Survival Data Example 1 Data Cox Zph Meaning From my understanding of it, the significance of cox.zph() means that the cox model is not fit to model the relationship between my. The cox.zph() function from the survival package allows us to test this assumption for each variable. Test the proportional hazards assumption for a cox regression model fit (coxph). If the line is straight but slanted upward it. Cox Zph Meaning.
From cardiomoon.github.io
Graphical Test of Proportional Hazards — coxzphplot • autoReg Cox Zph Meaning Test the proportional hazards assumption for a cox regression model fit (coxph). Test the proportional hazards assumption for a cox regression model fit (coxph). When interpreting the output of cox.zph it is just as much (or even more) the flatness of the line, as it is the straightness of the line, that is important. The reason cox regression is called. Cox Zph Meaning.
From jbetz-jhu.github.io
Covariate Adjustment in Randomized Trials Covariate Adjustment Tutorials Cox Zph Meaning The cox.zph() function from the survival package allows us to test this assumption for each variable. The plot of scaled schoenfeld residuals should be a horizontal line. Test the proportional hazards assumption for a cox regression model fit (coxph). The cox proportional hazards (cph) model, is a statistical model used to analyze the relationship between one or more covariates and.. Cox Zph Meaning.
From covariateadjustment.github.io
Chapter 4 Using R Covariate Adjustment in Randomized Trials Cox Zph Meaning If the line is straight but slanted upward it implies non. The cox.zph() function from the survival package allows us to test this assumption for each variable. The cox proportional hazards (cph) model, is a statistical model used to analyze the relationship between one or more covariates and. From my understanding of it, the significance of cox.zph() means that the. Cox Zph Meaning.
From zhuanlan.zhihu.com
R语言生存分析:Cox回归 知乎 Cox Zph Meaning The plot of scaled schoenfeld residuals should be a horizontal line. From my understanding of it, the significance of cox.zph() means that the cox model is not fit to model the relationship between my. The reason cox regression is called cox “proportional hazards” (ph) regression is that the standard form of the model assumes the hazards. If the line is. Cox Zph Meaning.
From stats.stackexchange.com
r Why is the xaxis labeling irregular in the plot.zph function Cox Zph Meaning If the line is straight but slanted upward it implies non. Test the proportional hazards assumption for a cox. From my understanding of it, the significance of cox.zph() means that the cox model is not fit to model the relationship between my. The plot of scaled schoenfeld residuals should be a horizontal line. Test the proportional hazards assumption of a. Cox Zph Meaning.
From stackoverflow.com
cox regression R cox.zph() not returning rho values, pvalues Cox Zph Meaning If the line is straight but slanted upward it implies non. The reason cox regression is called cox “proportional hazards” (ph) regression is that the standard form of the model assumes the hazards. From my understanding of it, the significance of cox.zph() means that the cox model is not fit to model the relationship between my. Test the proportional hazards. Cox Zph Meaning.
From argoshare.is.ed.ac.uk
10.8 Cox proportional hazards regression R for Health Data Science Cox Zph Meaning Test the proportional hazards assumption for a cox regression model fit (coxph). From my understanding of it, the significance of cox.zph() means that the cox model is not fit to model the relationship between my. Test the proportional hazards assumption for a cox regression model fit (coxph). The plot of scaled schoenfeld residuals should be a horizontal line. Test the. Cox Zph Meaning.
From thomaselove.github.io
Data Science for Biological, Medical and Health Research 31 Cox Cox Zph Meaning The cox proportional hazards (cph) model, is a statistical model used to analyze the relationship between one or more covariates and. Test the proportional hazards assumption of a cox regression. Test the proportional hazards assumption for a cox regression model fit (coxph). The plot of scaled schoenfeld residuals should be a horizontal line. When interpreting the output of cox.zph it. Cox Zph Meaning.
From www.slideserve.com
PPT The Cox model in R PowerPoint Presentation, free download ID Cox Zph Meaning When interpreting the output of cox.zph it is just as much (or even more) the flatness of the line, as it is the straightness of the line, that is important. The cox.zph() function from the survival package allows us to test this assumption for each variable. The plot of scaled schoenfeld residuals should be a horizontal line. The reason cox. Cox Zph Meaning.
From stats.stackexchange.com
r Interpretation of coxph rsq , cox.zhp, robust and concordance Cox Zph Meaning From my understanding of it, the significance of cox.zph() means that the cox model is not fit to model the relationship between my. The cox.zph() function from the survival package allows us to test this assumption for each variable. Test the proportional hazards assumption for a cox regression model fit (coxph). Test the proportional hazards assumption for a cox. The. Cox Zph Meaning.
From stats.oarc.ucla.edu
Applied Longitudinal Data Analysis, Chapter 15 R Textbook Examples Cox Zph Meaning Test the proportional hazards assumption of a cox regression. If the line is straight but slanted upward it implies non. From my understanding of it, the significance of cox.zph() means that the cox model is not fit to model the relationship between my. The reason cox regression is called cox “proportional hazards” (ph) regression is that the standard form of. Cox Zph Meaning.
From blog.csdn.net
R语言进行COX时变系数模型(含时间依存协变量的Cox回归模型)_r语言cox回归模型CSDN博客 Cox Zph Meaning The plot of scaled schoenfeld residuals should be a horizontal line. The cox.zph() function from the survival package allows us to test this assumption for each variable. Test the proportional hazards assumption for a cox regression model fit (coxph). From my understanding of it, the significance of cox.zph() means that the cox model is not fit to model the relationship. Cox Zph Meaning.
From stats.stackexchange.com
cox model Checking cox.zph in R after time transformation of Cox Zph Meaning The cox.zph() function from the survival package allows us to test this assumption for each variable. If the line is straight but slanted upward it implies non. The plot of scaled schoenfeld residuals should be a horizontal line. Test the proportional hazards assumption of a cox regression. From my understanding of it, the significance of cox.zph() means that the cox. Cox Zph Meaning.
From www.youtube.com
R How to extract attributes from cox.zph R function YouTube Cox Zph Meaning The plot of scaled schoenfeld residuals should be a horizontal line. The reason cox regression is called cox “proportional hazards” (ph) regression is that the standard form of the model assumes the hazards. If the line is straight but slanted upward it implies non. Test the proportional hazards assumption for a cox. From my understanding of it, the significance of. Cox Zph Meaning.
From stats.stackexchange.com
survival Cox model extremely high Schoenfeld residuals Cross Validated Cox Zph Meaning Test the proportional hazards assumption for a cox regression model fit (coxph). The plot of scaled schoenfeld residuals should be a horizontal line. When interpreting the output of cox.zph it is just as much (or even more) the flatness of the line, as it is the straightness of the line, that is important. Test the proportional hazards assumption for a. Cox Zph Meaning.
From stats.stackexchange.com
cox model Interpretation of cox.zph Output with Smoothing Splines in Cox Zph Meaning Test the proportional hazards assumption for a cox regression model fit (coxph). Test the proportional hazards assumption for a cox. When interpreting the output of cox.zph it is just as much (or even more) the flatness of the line, as it is the straightness of the line, that is important. The plot of scaled schoenfeld residuals should be a horizontal. Cox Zph Meaning.
From bytemeta.vip
Differences between plot.cox.zph and ggcoxzph bytemeta Cox Zph Meaning The cox.zph() function from the survival package allows us to test this assumption for each variable. The cox proportional hazards (cph) model, is a statistical model used to analyze the relationship between one or more covariates and. From my understanding of it, the significance of cox.zph() means that the cox model is not fit to model the relationship between my.. Cox Zph Meaning.
From bookdown.org
Chapter 4 Cox Regression Survival Analysis in R Cox Zph Meaning Test the proportional hazards assumption for a cox. The reason cox regression is called cox “proportional hazards” (ph) regression is that the standard form of the model assumes the hazards. Test the proportional hazards assumption for a cox regression model fit (coxph). The plot of scaled schoenfeld residuals should be a horizontal line. Test the proportional hazards assumption of a. Cox Zph Meaning.
From sjsimmo2.github.io
Chapter 4 Cox Survival Regression Survival Analysis Cox Zph Meaning From my understanding of it, the significance of cox.zph() means that the cox model is not fit to model the relationship between my. The cox proportional hazards (cph) model, is a statistical model used to analyze the relationship between one or more covariates and. Test the proportional hazards assumption for a cox regression model fit (coxph). Test the proportional hazards. Cox Zph Meaning.
From cardiomoon.github.io
Graphical Test of Proportional Hazards — coxzphplot • autoReg Cox Zph Meaning From my understanding of it, the significance of cox.zph() means that the cox model is not fit to model the relationship between my. The reason cox regression is called cox “proportional hazards” (ph) regression is that the standard form of the model assumes the hazards. When interpreting the output of cox.zph it is just as much (or even more) the. Cox Zph Meaning.
From raw.githubusercontent.com
Graphical Test of Proportional Hazards with ggplot2 — ggcoxzph • survminer Cox Zph Meaning The cox proportional hazards (cph) model, is a statistical model used to analyze the relationship between one or more covariates and. From my understanding of it, the significance of cox.zph() means that the cox model is not fit to model the relationship between my. Test the proportional hazards assumption for a cox regression model fit (coxph). The cox.zph() function from. Cox Zph Meaning.
From github.com
Different behavior of confidence bands in ggcoxzph compared to plot.cox Cox Zph Meaning If the line is straight but slanted upward it implies non. The reason cox regression is called cox “proportional hazards” (ph) regression is that the standard form of the model assumes the hazards. Test the proportional hazards assumption for a cox. Test the proportional hazards assumption for a cox regression model fit (coxph). The cox proportional hazards (cph) model, is. Cox Zph Meaning.
From www.slideserve.com
PPT Validering av Coxmodellen PowerPoint Presentation, free download Cox Zph Meaning Test the proportional hazards assumption for a cox regression model fit (coxph). If the line is straight but slanted upward it implies non. The cox.zph() function from the survival package allows us to test this assumption for each variable. From my understanding of it, the significance of cox.zph() means that the cox model is not fit to model the relationship. Cox Zph Meaning.
From kuan-liu.github.io
HAD5319H Biostatistics III Cox Proportional Hazard Model Cox Zph Meaning When interpreting the output of cox.zph it is just as much (or even more) the flatness of the line, as it is the straightness of the line, that is important. From my understanding of it, the significance of cox.zph() means that the cox model is not fit to model the relationship between my. The reason cox regression is called cox. Cox Zph Meaning.