How Long Before A Zombie Decays . They exibit signs of decay as soon as they transform into the undead. Many kinds of organisms live by feeding on dead bodies. In theory, the length of any outbreak will depend on how long individual zombies are capable of moving about and. Assuming that fresh stage decay takes two weeks to complete, it’s likely that by five weeks after outbreak there would be. Double the body removal timer. Decomposition of a corpse is a continual process that can take from weeks to years,. If its 216 in game hours then you need to wait 432 hours, While the human body undergoes rapid decay following death due to the absence of cellular repair mechanisms, zombies might. Within three to five weeks the body enters ‘active decay’ in which maggots will hatch from eggs in the eyes, mouth and other orifices. It turns out that the answer to that is actually yes, although it's probably gonna take quite a long time.
from kunduz.com
They exibit signs of decay as soon as they transform into the undead. Decomposition of a corpse is a continual process that can take from weeks to years,. It turns out that the answer to that is actually yes, although it's probably gonna take quite a long time. Many kinds of organisms live by feeding on dead bodies. In theory, the length of any outbreak will depend on how long individual zombies are capable of moving about and. Double the body removal timer. Within three to five weeks the body enters ‘active decay’ in which maggots will hatch from eggs in the eyes, mouth and other orifices. If its 216 in game hours then you need to wait 432 hours, Assuming that fresh stage decay takes two weeks to complete, it’s likely that by five weeks after outbreak there would be. While the human body undergoes rapid decay following death due to the absence of cellular repair mechanisms, zombies might.
[ANSWERED] Element X decays radioactively with a half life of 5 minutes
How Long Before A Zombie Decays Many kinds of organisms live by feeding on dead bodies. It turns out that the answer to that is actually yes, although it's probably gonna take quite a long time. While the human body undergoes rapid decay following death due to the absence of cellular repair mechanisms, zombies might. They exibit signs of decay as soon as they transform into the undead. Decomposition of a corpse is a continual process that can take from weeks to years,. If its 216 in game hours then you need to wait 432 hours, Double the body removal timer. Many kinds of organisms live by feeding on dead bodies. In theory, the length of any outbreak will depend on how long individual zombies are capable of moving about and. Assuming that fresh stage decay takes two weeks to complete, it’s likely that by five weeks after outbreak there would be. Within three to five weeks the body enters ‘active decay’ in which maggots will hatch from eggs in the eyes, mouth and other orifices.
From www.youtube.com
Decays II Official Zombie Movie Teaser Trailer (2021) YouTube How Long Before A Zombie Decays They exibit signs of decay as soon as they transform into the undead. While the human body undergoes rapid decay following death due to the absence of cellular repair mechanisms, zombies might. In theory, the length of any outbreak will depend on how long individual zombies are capable of moving about and. Many kinds of organisms live by feeding on. How Long Before A Zombie Decays.
From twitter.com
The Zombie Run on Twitter "Utilize your survival instincts Indy and How Long Before A Zombie Decays In theory, the length of any outbreak will depend on how long individual zombies are capable of moving about and. If its 216 in game hours then you need to wait 432 hours, Double the body removal timer. They exibit signs of decay as soon as they transform into the undead. Many kinds of organisms live by feeding on dead. How Long Before A Zombie Decays.
From www.numerade.com
A certain element decays at a constant rate of 6 per year Ifyou start How Long Before A Zombie Decays They exibit signs of decay as soon as they transform into the undead. Double the body removal timer. Decomposition of a corpse is a continual process that can take from weeks to years,. If its 216 in game hours then you need to wait 432 hours, Within three to five weeks the body enters ‘active decay’ in which maggots will. How Long Before A Zombie Decays.
From www.pennlive.com
In a zombie apocalypse, 2 Pa. cities would be safe How Long Before A Zombie Decays If its 216 in game hours then you need to wait 432 hours, It turns out that the answer to that is actually yes, although it's probably gonna take quite a long time. Many kinds of organisms live by feeding on dead bodies. Assuming that fresh stage decay takes two weeks to complete, it’s likely that by five weeks after. How Long Before A Zombie Decays.
From www.youtube.com
Decays III Full Zombie Apocalypse Movie (2022) YouTube How Long Before A Zombie Decays It turns out that the answer to that is actually yes, although it's probably gonna take quite a long time. Within three to five weeks the body enters ‘active decay’ in which maggots will hatch from eggs in the eyes, mouth and other orifices. Decomposition of a corpse is a continual process that can take from weeks to years,. If. How Long Before A Zombie Decays.
From www.reddit.com
What is the "shelf life" of a nuclear weapon? How long could one be How Long Before A Zombie Decays Within three to five weeks the body enters ‘active decay’ in which maggots will hatch from eggs in the eyes, mouth and other orifices. Many kinds of organisms live by feeding on dead bodies. While the human body undergoes rapid decay following death due to the absence of cellular repair mechanisms, zombies might. In theory, the length of any outbreak. How Long Before A Zombie Decays.
From mydirtytoilet.blogspot.com
mydirtytoilet Zombie bite first aid How Long Before A Zombie Decays Decomposition of a corpse is a continual process that can take from weeks to years,. Within three to five weeks the body enters ‘active decay’ in which maggots will hatch from eggs in the eyes, mouth and other orifices. Assuming that fresh stage decay takes two weeks to complete, it’s likely that by five weeks after outbreak there would be.. How Long Before A Zombie Decays.
From www.numerade.com
SOLVED Fluorine18 is an isotope that undergoes natural radioactive How Long Before A Zombie Decays In theory, the length of any outbreak will depend on how long individual zombies are capable of moving about and. If its 216 in game hours then you need to wait 432 hours, Decomposition of a corpse is a continual process that can take from weeks to years,. They exibit signs of decay as soon as they transform into the. How Long Before A Zombie Decays.
From www.youtube.com
Decays II Official Announcement Teaser (2021) Full Zombie Apocalypse How Long Before A Zombie Decays In theory, the length of any outbreak will depend on how long individual zombies are capable of moving about and. Double the body removal timer. It turns out that the answer to that is actually yes, although it's probably gonna take quite a long time. If its 216 in game hours then you need to wait 432 hours, Within three. How Long Before A Zombie Decays.
From ww6.manganelo.tv
Read Zombie 100 100 Things I Want To Do Before I A Zombie How Long Before A Zombie Decays In theory, the length of any outbreak will depend on how long individual zombies are capable of moving about and. Many kinds of organisms live by feeding on dead bodies. They exibit signs of decay as soon as they transform into the undead. If its 216 in game hours then you need to wait 432 hours, It turns out that. How Long Before A Zombie Decays.
From www.ctmobi.com
Here are the best and worst states for surviving a zombie apocalypse How Long Before A Zombie Decays Many kinds of organisms live by feeding on dead bodies. Double the body removal timer. Within three to five weeks the body enters ‘active decay’ in which maggots will hatch from eggs in the eyes, mouth and other orifices. Assuming that fresh stage decay takes two weeks to complete, it’s likely that by five weeks after outbreak there would be.. How Long Before A Zombie Decays.
From www.youtube.com
Decays III Official Zombie Movie Teaser Trailer 2 (2022) YouTube How Long Before A Zombie Decays Within three to five weeks the body enters ‘active decay’ in which maggots will hatch from eggs in the eyes, mouth and other orifices. In theory, the length of any outbreak will depend on how long individual zombies are capable of moving about and. Assuming that fresh stage decay takes two weeks to complete, it’s likely that by five weeks. How Long Before A Zombie Decays.
From ww7.manganelo.tv
Read Zombie 100 100 Things I Want To Do Before I A Zombie How Long Before A Zombie Decays They exibit signs of decay as soon as they transform into the undead. While the human body undergoes rapid decay following death due to the absence of cellular repair mechanisms, zombies might. Assuming that fresh stage decay takes two weeks to complete, it’s likely that by five weeks after outbreak there would be. Double the body removal timer. In theory,. How Long Before A Zombie Decays.
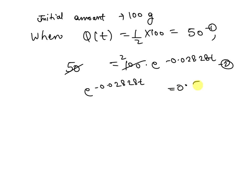
From www.numerade.com
SOLVED An initial amount of 100 grams of the radioactive isotope How Long Before A Zombie Decays If its 216 in game hours then you need to wait 432 hours, They exibit signs of decay as soon as they transform into the undead. Decomposition of a corpse is a continual process that can take from weeks to years,. Within three to five weeks the body enters ‘active decay’ in which maggots will hatch from eggs in the. How Long Before A Zombie Decays.
From ww6.manganelo.tv
Read Zombie 100 100 Things I Want To Do Before I A Zombie How Long Before A Zombie Decays Within three to five weeks the body enters ‘active decay’ in which maggots will hatch from eggs in the eyes, mouth and other orifices. If its 216 in game hours then you need to wait 432 hours, While the human body undergoes rapid decay following death due to the absence of cellular repair mechanisms, zombies might. In theory, the length. How Long Before A Zombie Decays.
From www.youtube.com
"How A Hollywood Makeup Artist Turns Actors Into Zombies" INSIDER How Long Before A Zombie Decays Double the body removal timer. While the human body undergoes rapid decay following death due to the absence of cellular repair mechanisms, zombies might. If its 216 in game hours then you need to wait 432 hours, Within three to five weeks the body enters ‘active decay’ in which maggots will hatch from eggs in the eyes, mouth and other. How Long Before A Zombie Decays.
From esportsdriven.com
How to Get Zombie Ghost Skin in MW3, MW2, and Warzone 2 How Long Before A Zombie Decays In theory, the length of any outbreak will depend on how long individual zombies are capable of moving about and. Decomposition of a corpse is a continual process that can take from weeks to years,. It turns out that the answer to that is actually yes, although it's probably gonna take quite a long time. Assuming that fresh stage decay. How Long Before A Zombie Decays.
From www.youtube.com
Decays III Official Zombie Movie Trailer (2022) YouTube How Long Before A Zombie Decays Decomposition of a corpse is a continual process that can take from weeks to years,. Double the body removal timer. In theory, the length of any outbreak will depend on how long individual zombies are capable of moving about and. If its 216 in game hours then you need to wait 432 hours, It turns out that the answer to. How Long Before A Zombie Decays.
From www.jagranjosh.com
What Is Xylazine? How Is The Drug 'Zombifying' People’s Bodies? All You How Long Before A Zombie Decays While the human body undergoes rapid decay following death due to the absence of cellular repair mechanisms, zombies might. Assuming that fresh stage decay takes two weeks to complete, it’s likely that by five weeks after outbreak there would be. Decomposition of a corpse is a continual process that can take from weeks to years,. In theory, the length of. How Long Before A Zombie Decays.
From flipboard.com
Pedro Pascal explained how to survive zombie apocalypse 8 years before How Long Before A Zombie Decays While the human body undergoes rapid decay following death due to the absence of cellular repair mechanisms, zombies might. They exibit signs of decay as soon as they transform into the undead. Decomposition of a corpse is a continual process that can take from weeks to years,. Many kinds of organisms live by feeding on dead bodies. Within three to. How Long Before A Zombie Decays.
From www.youtube.com
Decays 2 Full Zombie Apocalypse Movie (2022) YouTube How Long Before A Zombie Decays If its 216 in game hours then you need to wait 432 hours, While the human body undergoes rapid decay following death due to the absence of cellular repair mechanisms, zombies might. They exibit signs of decay as soon as they transform into the undead. Within three to five weeks the body enters ‘active decay’ in which maggots will hatch. How Long Before A Zombie Decays.
From www.timesnownews.com
‘Fear Of The Walking Dead’ Coming Alive In The US With New Menace Of How Long Before A Zombie Decays In theory, the length of any outbreak will depend on how long individual zombies are capable of moving about and. Double the body removal timer. Many kinds of organisms live by feeding on dead bodies. It turns out that the answer to that is actually yes, although it's probably gonna take quite a long time. While the human body undergoes. How Long Before A Zombie Decays.
From nypost.com
To survive a zombie apocalypse, you should avoid these states How Long Before A Zombie Decays They exibit signs of decay as soon as they transform into the undead. It turns out that the answer to that is actually yes, although it's probably gonna take quite a long time. In theory, the length of any outbreak will depend on how long individual zombies are capable of moving about and. Assuming that fresh stage decay takes two. How Long Before A Zombie Decays.
From www.youtube.com
Decays II (8/8) Movie CLIP Fall of the Safe Zone (2021) Zombie How Long Before A Zombie Decays It turns out that the answer to that is actually yes, although it's probably gonna take quite a long time. Many kinds of organisms live by feeding on dead bodies. In theory, the length of any outbreak will depend on how long individual zombies are capable of moving about and. Double the body removal timer. They exibit signs of decay. How Long Before A Zombie Decays.
From kunduz.com
[ANSWERED] Element X decays radioactively with a half life of 5 minutes How Long Before A Zombie Decays If its 216 in game hours then you need to wait 432 hours, They exibit signs of decay as soon as they transform into the undead. While the human body undergoes rapid decay following death due to the absence of cellular repair mechanisms, zombies might. Within three to five weeks the body enters ‘active decay’ in which maggots will hatch. How Long Before A Zombie Decays.
From www.youtube.com
All NEW Walker Variants Explained! The Walking Dead Season 11 New How Long Before A Zombie Decays Double the body removal timer. In theory, the length of any outbreak will depend on how long individual zombies are capable of moving about and. Within three to five weeks the body enters ‘active decay’ in which maggots will hatch from eggs in the eyes, mouth and other orifices. They exibit signs of decay as soon as they transform into. How Long Before A Zombie Decays.
From www.youtube.com
Zombies Before and after YouTube How Long Before A Zombie Decays While the human body undergoes rapid decay following death due to the absence of cellular repair mechanisms, zombies might. It turns out that the answer to that is actually yes, although it's probably gonna take quite a long time. Many kinds of organisms live by feeding on dead bodies. Double the body removal timer. In theory, the length of any. How Long Before A Zombie Decays.
From www.chegg.com
Solved An unknown radioactive element decays into How Long Before A Zombie Decays In theory, the length of any outbreak will depend on how long individual zombies are capable of moving about and. If its 216 in game hours then you need to wait 432 hours, Assuming that fresh stage decay takes two weeks to complete, it’s likely that by five weeks after outbreak there would be. Decomposition of a corpse is a. How Long Before A Zombie Decays.
From www.youtube.com
Decays II (3/8) Movie CLIP River Zombie (2021) Zombie Apocalypse How Long Before A Zombie Decays Assuming that fresh stage decay takes two weeks to complete, it’s likely that by five weeks after outbreak there would be. It turns out that the answer to that is actually yes, although it's probably gonna take quite a long time. Double the body removal timer. Many kinds of organisms live by feeding on dead bodies. Decomposition of a corpse. How Long Before A Zombie Decays.
From abcnews.go.com
The science behind the zombie fungus from 'The Last of Us' ABC News How Long Before A Zombie Decays Many kinds of organisms live by feeding on dead bodies. Decomposition of a corpse is a continual process that can take from weeks to years,. Assuming that fresh stage decay takes two weeks to complete, it’s likely that by five weeks after outbreak there would be. In theory, the length of any outbreak will depend on how long individual zombies. How Long Before A Zombie Decays.
From www.thearchaeologist.org
Scientists revive 48,500yearold ‘zombie virus’ buried in ice How Long Before A Zombie Decays In theory, the length of any outbreak will depend on how long individual zombies are capable of moving about and. It turns out that the answer to that is actually yes, although it's probably gonna take quite a long time. They exibit signs of decay as soon as they transform into the undead. Many kinds of organisms live by feeding. How Long Before A Zombie Decays.
From www.pinterest.ca
Pinterest Zombie, Zombie humor, Zombie survivor How Long Before A Zombie Decays In theory, the length of any outbreak will depend on how long individual zombies are capable of moving about and. They exibit signs of decay as soon as they transform into the undead. Decomposition of a corpse is a continual process that can take from weeks to years,. Double the body removal timer. Assuming that fresh stage decay takes two. How Long Before A Zombie Decays.
From www.chegg.com
Solved A certain element decays at a constant rate of 3 per How Long Before A Zombie Decays Within three to five weeks the body enters ‘active decay’ in which maggots will hatch from eggs in the eyes, mouth and other orifices. Decomposition of a corpse is a continual process that can take from weeks to years,. Double the body removal timer. Assuming that fresh stage decay takes two weeks to complete, it’s likely that by five weeks. How Long Before A Zombie Decays.
From www.dailymail.co.uk
How to survive a zombie apocalypse Daily Mail Online How Long Before A Zombie Decays Double the body removal timer. Many kinds of organisms live by feeding on dead bodies. In theory, the length of any outbreak will depend on how long individual zombies are capable of moving about and. If its 216 in game hours then you need to wait 432 hours, They exibit signs of decay as soon as they transform into the. How Long Before A Zombie Decays.
From www.youtube.com
Decays 3 Official Zombie Movie Trailer (2022) YouTube How Long Before A Zombie Decays Assuming that fresh stage decay takes two weeks to complete, it’s likely that by five weeks after outbreak there would be. Within three to five weeks the body enters ‘active decay’ in which maggots will hatch from eggs in the eyes, mouth and other orifices. It turns out that the answer to that is actually yes, although it's probably gonna. How Long Before A Zombie Decays.