What Is Business Security Of Tenure . Policies and practices relating to tenure security the report summarizes the emerging debate on land tenure and rights at international level, the. For a lease to qualify for security of tenure, the main requirements are: Lauren walker, an associate in the real estate team provides an overview of the security of tenure provisions of the landlord. Security of tenure is a statutory right, allowing a tenant to renew its tenancy at the end of the contractual term. What is security of tenure? Security of tenure is a statutory right granted to tenants of commercial leases, providing the tenant with an automatic right to renew their lease when this. Security of tenure refers to the right of tenants using a property for business purposes to continue their occupation even after the. This note considers the criteria that must be satisfied for a tenant of a business lease to have security of tenure under the landlord and.
from robsols.co.uk
For a lease to qualify for security of tenure, the main requirements are: Policies and practices relating to tenure security the report summarizes the emerging debate on land tenure and rights at international level, the. Security of tenure is a statutory right, allowing a tenant to renew its tenancy at the end of the contractual term. Lauren walker, an associate in the real estate team provides an overview of the security of tenure provisions of the landlord. Security of tenure is a statutory right granted to tenants of commercial leases, providing the tenant with an automatic right to renew their lease when this. This note considers the criteria that must be satisfied for a tenant of a business lease to have security of tenure under the landlord and. What is security of tenure? Security of tenure refers to the right of tenants using a property for business purposes to continue their occupation even after the.
Security of Tenure in Commercial Leases Advice for Landlords & Tenants
What Is Business Security Of Tenure What is security of tenure? Lauren walker, an associate in the real estate team provides an overview of the security of tenure provisions of the landlord. Security of tenure is a statutory right, allowing a tenant to renew its tenancy at the end of the contractual term. Security of tenure is a statutory right granted to tenants of commercial leases, providing the tenant with an automatic right to renew their lease when this. For a lease to qualify for security of tenure, the main requirements are: This note considers the criteria that must be satisfied for a tenant of a business lease to have security of tenure under the landlord and. What is security of tenure? Security of tenure refers to the right of tenants using a property for business purposes to continue their occupation even after the. Policies and practices relating to tenure security the report summarizes the emerging debate on land tenure and rights at international level, the.
From www.slideserve.com
PPT Security of Tenure and Durability of Housing PowerPoint What Is Business Security Of Tenure This note considers the criteria that must be satisfied for a tenant of a business lease to have security of tenure under the landlord and. Security of tenure is a statutory right granted to tenants of commercial leases, providing the tenant with an automatic right to renew their lease when this. Security of tenure is a statutory right, allowing a. What Is Business Security Of Tenure.
From www.rocketlawyer.co.uk
Landlord's notice Exclude security of tenure What Is Business Security Of Tenure Policies and practices relating to tenure security the report summarizes the emerging debate on land tenure and rights at international level, the. What is security of tenure? Security of tenure is a statutory right granted to tenants of commercial leases, providing the tenant with an automatic right to renew their lease when this. For a lease to qualify for security. What Is Business Security Of Tenure.
From www.zippia.com
What is the meaning of employee tenure? Zippia What Is Business Security Of Tenure Policies and practices relating to tenure security the report summarizes the emerging debate on land tenure and rights at international level, the. Security of tenure is a statutory right granted to tenants of commercial leases, providing the tenant with an automatic right to renew their lease when this. What is security of tenure? For a lease to qualify for security. What Is Business Security Of Tenure.
From www.slideserve.com
PPT Land Tenure and Property Rights Concepts and Terminology What Is Business Security Of Tenure Security of tenure is a statutory right, allowing a tenant to renew its tenancy at the end of the contractual term. This note considers the criteria that must be satisfied for a tenant of a business lease to have security of tenure under the landlord and. Policies and practices relating to tenure security the report summarizes the emerging debate on. What Is Business Security Of Tenure.
From www.studocu.com
Security of Tenure none General Law Studocu What Is Business Security Of Tenure Security of tenure is a statutory right granted to tenants of commercial leases, providing the tenant with an automatic right to renew their lease when this. What is security of tenure? For a lease to qualify for security of tenure, the main requirements are: Security of tenure is a statutory right, allowing a tenant to renew its tenancy at the. What Is Business Security Of Tenure.
From www.formevo.co.uk
LT22(2) Statutory Declaration by tenant (prior to agreement excluding What Is Business Security Of Tenure Security of tenure is a statutory right granted to tenants of commercial leases, providing the tenant with an automatic right to renew their lease when this. What is security of tenure? Policies and practices relating to tenure security the report summarizes the emerging debate on land tenure and rights at international level, the. Lauren walker, an associate in the real. What Is Business Security Of Tenure.
From robsols.co.uk
Security of Tenure in Commercial Leases Advice for Landlords & Tenants What Is Business Security Of Tenure For a lease to qualify for security of tenure, the main requirements are: Security of tenure is a statutory right granted to tenants of commercial leases, providing the tenant with an automatic right to renew their lease when this. Security of tenure refers to the right of tenants using a property for business purposes to continue their occupation even after. What Is Business Security Of Tenure.
From www.youtube.com
Security of Tenure ( Termination of Employment is not allowed except What Is Business Security Of Tenure What is security of tenure? Security of tenure is a statutory right, allowing a tenant to renew its tenancy at the end of the contractual term. For a lease to qualify for security of tenure, the main requirements are: Security of tenure is a statutory right granted to tenants of commercial leases, providing the tenant with an automatic right to. What Is Business Security Of Tenure.
From lawmindmaps.com
COMMERCIAL SECURITY OF TENURE PART 1 What Is Business Security Of Tenure Security of tenure is a statutory right, allowing a tenant to renew its tenancy at the end of the contractual term. Policies and practices relating to tenure security the report summarizes the emerging debate on land tenure and rights at international level, the. Security of tenure refers to the right of tenants using a property for business purposes to continue. What Is Business Security Of Tenure.
From studylib.net
Security of tenure issues paper What Is Business Security Of Tenure Security of tenure is a statutory right granted to tenants of commercial leases, providing the tenant with an automatic right to renew their lease when this. Lauren walker, an associate in the real estate team provides an overview of the security of tenure provisions of the landlord. For a lease to qualify for security of tenure, the main requirements are:. What Is Business Security Of Tenure.
From www.slideserve.com
PPT A Guide to the Promotion and Tenure Process PowerPoint What Is Business Security Of Tenure For a lease to qualify for security of tenure, the main requirements are: Lauren walker, an associate in the real estate team provides an overview of the security of tenure provisions of the landlord. What is security of tenure? Security of tenure refers to the right of tenants using a property for business purposes to continue their occupation even after. What Is Business Security Of Tenure.
From www.scribd.com
03Security of Tenure PDF Employment Business What Is Business Security Of Tenure Security of tenure is a statutory right, allowing a tenant to renew its tenancy at the end of the contractual term. Security of tenure refers to the right of tenants using a property for business purposes to continue their occupation even after the. What is security of tenure? This note considers the criteria that must be satisfied for a tenant. What Is Business Security Of Tenure.
From lawmindmaps.com
COMMERCIAL SECURITY OF TENURE PART 2 What Is Business Security Of Tenure Lauren walker, an associate in the real estate team provides an overview of the security of tenure provisions of the landlord. Security of tenure refers to the right of tenants using a property for business purposes to continue their occupation even after the. Security of tenure is a statutory right granted to tenants of commercial leases, providing the tenant with. What Is Business Security Of Tenure.
From www.studocu.com
Security OF Tenure Real Estate Notes SECURITY OF TENURE What is What Is Business Security Of Tenure Security of tenure refers to the right of tenants using a property for business purposes to continue their occupation even after the. This note considers the criteria that must be satisfied for a tenant of a business lease to have security of tenure under the landlord and. Lauren walker, an associate in the real estate team provides an overview of. What Is Business Security Of Tenure.
From www.wonder.legal
Agreement to Exclude Security of Tenure in a Business Lease What Is Business Security Of Tenure Security of tenure is a statutory right, allowing a tenant to renew its tenancy at the end of the contractual term. For a lease to qualify for security of tenure, the main requirements are: Lauren walker, an associate in the real estate team provides an overview of the security of tenure provisions of the landlord. Policies and practices relating to. What Is Business Security Of Tenure.
From www.sherwoodbooks.co.za
Ebook Extension of Security of Tenure Act 62 of 1997 & Regulations What Is Business Security Of Tenure Security of tenure is a statutory right granted to tenants of commercial leases, providing the tenant with an automatic right to renew their lease when this. Lauren walker, an associate in the real estate team provides an overview of the security of tenure provisions of the landlord. Policies and practices relating to tenure security the report summarizes the emerging debate. What Is Business Security Of Tenure.
From study.com
Stability Of Tenure Of Personnel Principle, Overview Lesson What Is Business Security Of Tenure What is security of tenure? Security of tenure is a statutory right granted to tenants of commercial leases, providing the tenant with an automatic right to renew their lease when this. This note considers the criteria that must be satisfied for a tenant of a business lease to have security of tenure under the landlord and. Security of tenure is. What Is Business Security Of Tenure.
From www.moorebarlow.com
Proposed changes to security of tenure for commercial landlords and What Is Business Security Of Tenure Security of tenure is a statutory right granted to tenants of commercial leases, providing the tenant with an automatic right to renew their lease when this. For a lease to qualify for security of tenure, the main requirements are: Security of tenure is a statutory right, allowing a tenant to renew its tenancy at the end of the contractual term.. What Is Business Security Of Tenure.
From www.myerson.co.uk
What Is Security of Tenure and When Does It Apply? What Is Business Security Of Tenure Security of tenure is a statutory right, allowing a tenant to renew its tenancy at the end of the contractual term. Security of tenure is a statutory right granted to tenants of commercial leases, providing the tenant with an automatic right to renew their lease when this. Policies and practices relating to tenure security the report summarizes the emerging debate. What Is Business Security Of Tenure.
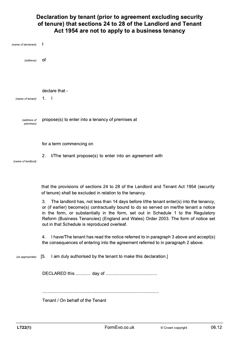
From www.formevo.co.uk
LT22(1) Declaration by tenant (prior to agreement excluding security of What Is Business Security Of Tenure For a lease to qualify for security of tenure, the main requirements are: Security of tenure is a statutory right granted to tenants of commercial leases, providing the tenant with an automatic right to renew their lease when this. Policies and practices relating to tenure security the report summarizes the emerging debate on land tenure and rights at international level,. What Is Business Security Of Tenure.
From www.studocu.com
Commercial Leases and Security of Tenure Studocu What Is Business Security Of Tenure Policies and practices relating to tenure security the report summarizes the emerging debate on land tenure and rights at international level, the. Security of tenure is a statutory right, allowing a tenant to renew its tenancy at the end of the contractual term. What is security of tenure? This note considers the criteria that must be satisfied for a tenant. What Is Business Security Of Tenure.
From skillsforchange.com
What Does Tenure Mean in a Job? [Employment Tenure Meaning] What Is Business Security Of Tenure What is security of tenure? Policies and practices relating to tenure security the report summarizes the emerging debate on land tenure and rights at international level, the. Security of tenure refers to the right of tenants using a property for business purposes to continue their occupation even after the. This note considers the criteria that must be satisfied for a. What Is Business Security Of Tenure.
From www.slideshare.net
Chapter 10 Employment ans Security of Tenure What Is Business Security Of Tenure Policies and practices relating to tenure security the report summarizes the emerging debate on land tenure and rights at international level, the. This note considers the criteria that must be satisfied for a tenant of a business lease to have security of tenure under the landlord and. Lauren walker, an associate in the real estate team provides an overview of. What Is Business Security Of Tenure.
From www.jacksons-law.com
Security of Tenure Jacksons Law Firm What Is Business Security Of Tenure Policies and practices relating to tenure security the report summarizes the emerging debate on land tenure and rights at international level, the. This note considers the criteria that must be satisfied for a tenant of a business lease to have security of tenure under the landlord and. Security of tenure is a statutory right, allowing a tenant to renew its. What Is Business Security Of Tenure.
From www.shiksha.com
Learn About the Stability of Tenure of Personnel Principle Shiksha Online What Is Business Security Of Tenure Security of tenure is a statutory right granted to tenants of commercial leases, providing the tenant with an automatic right to renew their lease when this. This note considers the criteria that must be satisfied for a tenant of a business lease to have security of tenure under the landlord and. Security of tenure refers to the right of tenants. What Is Business Security Of Tenure.
From www.youtube.com
Stability of Personnel Stability of tenure Business studies 12 What Is Business Security Of Tenure Security of tenure is a statutory right granted to tenants of commercial leases, providing the tenant with an automatic right to renew their lease when this. This note considers the criteria that must be satisfied for a tenant of a business lease to have security of tenure under the landlord and. Security of tenure refers to the right of tenants. What Is Business Security Of Tenure.
From www.solegal.co.uk
Security of tenure in commercial leases The Landlord and Tenant Act What Is Business Security Of Tenure Security of tenure is a statutory right, allowing a tenant to renew its tenancy at the end of the contractual term. Security of tenure is a statutory right granted to tenants of commercial leases, providing the tenant with an automatic right to renew their lease when this. Security of tenure refers to the right of tenants using a property for. What Is Business Security Of Tenure.
From www.studocu.com
Application of security of tenure Application of security of tenure What Is Business Security Of Tenure What is security of tenure? Lauren walker, an associate in the real estate team provides an overview of the security of tenure provisions of the landlord. Security of tenure is a statutory right granted to tenants of commercial leases, providing the tenant with an automatic right to renew their lease when this. This note considers the criteria that must be. What Is Business Security Of Tenure.
From www.rocketlawyer.com
Agreement To Exclude Security Of Tenure Template Rocket Lawyer What Is Business Security Of Tenure Security of tenure is a statutory right, allowing a tenant to renew its tenancy at the end of the contractual term. For a lease to qualify for security of tenure, the main requirements are: Policies and practices relating to tenure security the report summarizes the emerging debate on land tenure and rights at international level, the. This note considers the. What Is Business Security Of Tenure.
From www.philstar.com
Duterte certifies security of tenure bill as urgent measure What Is Business Security Of Tenure For a lease to qualify for security of tenure, the main requirements are: Lauren walker, an associate in the real estate team provides an overview of the security of tenure provisions of the landlord. What is security of tenure? Security of tenure refers to the right of tenants using a property for business purposes to continue their occupation even after. What Is Business Security Of Tenure.
From www.formevo.co.uk
LT22(2) Statutory Declaration by tenant (prior to agreement excluding What Is Business Security Of Tenure This note considers the criteria that must be satisfied for a tenant of a business lease to have security of tenure under the landlord and. Security of tenure is a statutory right granted to tenants of commercial leases, providing the tenant with an automatic right to renew their lease when this. Policies and practices relating to tenure security the report. What Is Business Security Of Tenure.
From www.slideshare.net
Chapter 10 Employment and Security of Tenure What Is Business Security Of Tenure What is security of tenure? This note considers the criteria that must be satisfied for a tenant of a business lease to have security of tenure under the landlord and. Policies and practices relating to tenure security the report summarizes the emerging debate on land tenure and rights at international level, the. For a lease to qualify for security of. What Is Business Security Of Tenure.
From www.studocu.com
Extension OF Security OF Tenure ACT 62 OF 1997 EXTENSION OF SECURITY What Is Business Security Of Tenure For a lease to qualify for security of tenure, the main requirements are: Policies and practices relating to tenure security the report summarizes the emerging debate on land tenure and rights at international level, the. Security of tenure refers to the right of tenants using a property for business purposes to continue their occupation even after the. What is security. What Is Business Security Of Tenure.
From www.youtube.com
Security of Tenure Explained What You Should Understand YouTube What Is Business Security Of Tenure What is security of tenure? Security of tenure is a statutory right, allowing a tenant to renew its tenancy at the end of the contractual term. Policies and practices relating to tenure security the report summarizes the emerging debate on land tenure and rights at international level, the. For a lease to qualify for security of tenure, the main requirements. What Is Business Security Of Tenure.
From www.rocketlawyer.co.uk
Tenant's agreement Exclude security of tenure What Is Business Security Of Tenure Security of tenure is a statutory right, allowing a tenant to renew its tenancy at the end of the contractual term. What is security of tenure? Security of tenure refers to the right of tenants using a property for business purposes to continue their occupation even after the. This note considers the criteria that must be satisfied for a tenant. What Is Business Security Of Tenure.