Helicopter Rotor Blade Moment Of Inertia . Explain how the moment of. Define the physical concept of moment of inertia in terms of the mass distribution from the rotational axis. This paper out1 ines the strategies whereby he1 icopter rotor blades can be optimized for combined structural, inertial, dynamic,. Moment of inertia can be adjusted for helicopter blades by changing their shape, mass distribution, or materials. Realistic constraints on blade properties based on weight, mass moment of inertia size, strength, and stability are formulated. Rotational inertia (or moment of inertia) for helicopter blades is calculated in this problem. A state space model of a helicopter rotor is.
from www.numerade.com
A state space model of a helicopter rotor is. Rotational inertia (or moment of inertia) for helicopter blades is calculated in this problem. Moment of inertia can be adjusted for helicopter blades by changing their shape, mass distribution, or materials. Explain how the moment of. Define the physical concept of moment of inertia in terms of the mass distribution from the rotational axis. This paper out1 ines the strategies whereby he1 icopter rotor blades can be optimized for combined structural, inertial, dynamic,. Realistic constraints on blade properties based on weight, mass moment of inertia size, strength, and stability are formulated.
SOLVED Problem 1 The helicopter rotor blade is subjected to the
Helicopter Rotor Blade Moment Of Inertia Define the physical concept of moment of inertia in terms of the mass distribution from the rotational axis. This paper out1 ines the strategies whereby he1 icopter rotor blades can be optimized for combined structural, inertial, dynamic,. Moment of inertia can be adjusted for helicopter blades by changing their shape, mass distribution, or materials. Explain how the moment of. Define the physical concept of moment of inertia in terms of the mass distribution from the rotational axis. Realistic constraints on blade properties based on weight, mass moment of inertia size, strength, and stability are formulated. A state space model of a helicopter rotor is. Rotational inertia (or moment of inertia) for helicopter blades is calculated in this problem.
From blogs.sw.siemens.com
Rotor blade aeroelasticity to the rescue! Simcenter Helicopter Rotor Blade Moment Of Inertia This paper out1 ines the strategies whereby he1 icopter rotor blades can be optimized for combined structural, inertial, dynamic,. Explain how the moment of. Rotational inertia (or moment of inertia) for helicopter blades is calculated in this problem. Define the physical concept of moment of inertia in terms of the mass distribution from the rotational axis. A state space model. Helicopter Rotor Blade Moment Of Inertia.
From www.intechopen.com
Helicopter Flight Physics IntechOpen Helicopter Rotor Blade Moment Of Inertia Define the physical concept of moment of inertia in terms of the mass distribution from the rotational axis. Realistic constraints on blade properties based on weight, mass moment of inertia size, strength, and stability are formulated. This paper out1 ines the strategies whereby he1 icopter rotor blades can be optimized for combined structural, inertial, dynamic,. Moment of inertia can be. Helicopter Rotor Blade Moment Of Inertia.
From www.researchgate.net
Passive cavity arrangement at the tip of a helicopter rotor blade. 4 Helicopter Rotor Blade Moment Of Inertia Define the physical concept of moment of inertia in terms of the mass distribution from the rotational axis. Rotational inertia (or moment of inertia) for helicopter blades is calculated in this problem. This paper out1 ines the strategies whereby he1 icopter rotor blades can be optimized for combined structural, inertial, dynamic,. A state space model of a helicopter rotor is.. Helicopter Rotor Blade Moment Of Inertia.
From www.numerade.com
SOLVED Problem 1 The helicopter rotor blade is subjected to the Helicopter Rotor Blade Moment Of Inertia This paper out1 ines the strategies whereby he1 icopter rotor blades can be optimized for combined structural, inertial, dynamic,. Explain how the moment of. A state space model of a helicopter rotor is. Realistic constraints on blade properties based on weight, mass moment of inertia size, strength, and stability are formulated. Moment of inertia can be adjusted for helicopter blades. Helicopter Rotor Blade Moment Of Inertia.
From www.youtube.com
Chapter 9, Example 7 (Helicopter rotor blades) YouTube Helicopter Rotor Blade Moment Of Inertia Rotational inertia (or moment of inertia) for helicopter blades is calculated in this problem. Define the physical concept of moment of inertia in terms of the mass distribution from the rotational axis. Explain how the moment of. Moment of inertia can be adjusted for helicopter blades by changing their shape, mass distribution, or materials. A state space model of a. Helicopter Rotor Blade Moment Of Inertia.
From www.chegg.com
Solved shows a rotor with moment of inertia J = 500 000 Helicopter Rotor Blade Moment Of Inertia A state space model of a helicopter rotor is. Define the physical concept of moment of inertia in terms of the mass distribution from the rotational axis. This paper out1 ines the strategies whereby he1 icopter rotor blades can be optimized for combined structural, inertial, dynamic,. Moment of inertia can be adjusted for helicopter blades by changing their shape, mass. Helicopter Rotor Blade Moment Of Inertia.
From www.numerade.com
A typical helicopter with four blades rotates at 310 rpm and has a Helicopter Rotor Blade Moment Of Inertia A state space model of a helicopter rotor is. Explain how the moment of. Rotational inertia (or moment of inertia) for helicopter blades is calculated in this problem. Define the physical concept of moment of inertia in terms of the mass distribution from the rotational axis. Moment of inertia can be adjusted for helicopter blades by changing their shape, mass. Helicopter Rotor Blade Moment Of Inertia.
From inertia-technology.com
Experiments with wireless vibration measurements of the helicopter Helicopter Rotor Blade Moment Of Inertia Realistic constraints on blade properties based on weight, mass moment of inertia size, strength, and stability are formulated. Explain how the moment of. Define the physical concept of moment of inertia in terms of the mass distribution from the rotational axis. Rotational inertia (or moment of inertia) for helicopter blades is calculated in this problem. A state space model of. Helicopter Rotor Blade Moment Of Inertia.
From www.youtube.com
Blade Element Analysis in Forward Flight Helicopter Dynamics YouTube Helicopter Rotor Blade Moment Of Inertia This paper out1 ines the strategies whereby he1 icopter rotor blades can be optimized for combined structural, inertial, dynamic,. Realistic constraints on blade properties based on weight, mass moment of inertia size, strength, and stability are formulated. A state space model of a helicopter rotor is. Explain how the moment of. Rotational inertia (or moment of inertia) for helicopter blades. Helicopter Rotor Blade Moment Of Inertia.
From www.chegg.com
7. A rotor with moment of inertia, is driving a Helicopter Rotor Blade Moment Of Inertia Rotational inertia (or moment of inertia) for helicopter blades is calculated in this problem. Realistic constraints on blade properties based on weight, mass moment of inertia size, strength, and stability are formulated. Explain how the moment of. Moment of inertia can be adjusted for helicopter blades by changing their shape, mass distribution, or materials. Define the physical concept of moment. Helicopter Rotor Blade Moment Of Inertia.
From www.numerade.com
SOLVED helicopter rotor blade can be considered long thin rod, as Helicopter Rotor Blade Moment Of Inertia Moment of inertia can be adjusted for helicopter blades by changing their shape, mass distribution, or materials. Explain how the moment of. A state space model of a helicopter rotor is. Rotational inertia (or moment of inertia) for helicopter blades is calculated in this problem. Realistic constraints on blade properties based on weight, mass moment of inertia size, strength, and. Helicopter Rotor Blade Moment Of Inertia.
From www.redbackaviation.com
Helicopter Rotorhead Design & Function Redback Aviation Home Built Helicopter Rotor Blade Moment Of Inertia Define the physical concept of moment of inertia in terms of the mass distribution from the rotational axis. Explain how the moment of. Rotational inertia (or moment of inertia) for helicopter blades is calculated in this problem. Realistic constraints on blade properties based on weight, mass moment of inertia size, strength, and stability are formulated. Moment of inertia can be. Helicopter Rotor Blade Moment Of Inertia.
From www.youtube.com
How Do Helicopter Rotor Blades Move? Helicopter Main Rotor Systems Helicopter Rotor Blade Moment Of Inertia Define the physical concept of moment of inertia in terms of the mass distribution from the rotational axis. Rotational inertia (or moment of inertia) for helicopter blades is calculated in this problem. Realistic constraints on blade properties based on weight, mass moment of inertia size, strength, and stability are formulated. Explain how the moment of. A state space model of. Helicopter Rotor Blade Moment Of Inertia.
From www.youtube.com
Helicopter Rotor Blade Design and animation [TimeLapse] in Solidworks Helicopter Rotor Blade Moment Of Inertia Rotational inertia (or moment of inertia) for helicopter blades is calculated in this problem. This paper out1 ines the strategies whereby he1 icopter rotor blades can be optimized for combined structural, inertial, dynamic,. A state space model of a helicopter rotor is. Define the physical concept of moment of inertia in terms of the mass distribution from the rotational axis.. Helicopter Rotor Blade Moment Of Inertia.
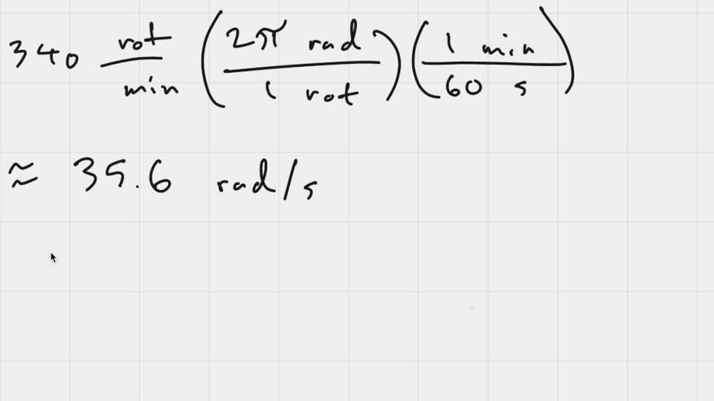
From www.numerade.com
A typical helicopter with four blades rotates at 340 rpm and has a Helicopter Rotor Blade Moment Of Inertia Rotational inertia (or moment of inertia) for helicopter blades is calculated in this problem. A state space model of a helicopter rotor is. Realistic constraints on blade properties based on weight, mass moment of inertia size, strength, and stability are formulated. Explain how the moment of. Define the physical concept of moment of inertia in terms of the mass distribution. Helicopter Rotor Blade Moment Of Inertia.
From brainly.com
Let us treat a helicopter rotor blade as a long thin rod, as shown in Helicopter Rotor Blade Moment Of Inertia Rotational inertia (or moment of inertia) for helicopter blades is calculated in this problem. Moment of inertia can be adjusted for helicopter blades by changing their shape, mass distribution, or materials. Explain how the moment of. Define the physical concept of moment of inertia in terms of the mass distribution from the rotational axis. This paper out1 ines the strategies. Helicopter Rotor Blade Moment Of Inertia.
From www.slideshare.net
直升机飞行力学 Helicopter dynamics chapter 3 Helicopter Rotor Blade Moment Of Inertia A state space model of a helicopter rotor is. Rotational inertia (or moment of inertia) for helicopter blades is calculated in this problem. Explain how the moment of. This paper out1 ines the strategies whereby he1 icopter rotor blades can be optimized for combined structural, inertial, dynamic,. Define the physical concept of moment of inertia in terms of the mass. Helicopter Rotor Blade Moment Of Inertia.
From www.britannica.com
Helicopter Rotor, Flight, Design Britannica Helicopter Rotor Blade Moment Of Inertia Moment of inertia can be adjusted for helicopter blades by changing their shape, mass distribution, or materials. A state space model of a helicopter rotor is. Explain how the moment of. Define the physical concept of moment of inertia in terms of the mass distribution from the rotational axis. Rotational inertia (or moment of inertia) for helicopter blades is calculated. Helicopter Rotor Blade Moment Of Inertia.
From www.slideshare.net
Helicopter moment of inertia Helicopter Rotor Blade Moment Of Inertia Define the physical concept of moment of inertia in terms of the mass distribution from the rotational axis. Moment of inertia can be adjusted for helicopter blades by changing their shape, mass distribution, or materials. Rotational inertia (or moment of inertia) for helicopter blades is calculated in this problem. Explain how the moment of. This paper out1 ines the strategies. Helicopter Rotor Blade Moment Of Inertia.
From www.intechopen.com
Helicopter Flight Physics IntechOpen Helicopter Rotor Blade Moment Of Inertia A state space model of a helicopter rotor is. This paper out1 ines the strategies whereby he1 icopter rotor blades can be optimized for combined structural, inertial, dynamic,. Realistic constraints on blade properties based on weight, mass moment of inertia size, strength, and stability are formulated. Define the physical concept of moment of inertia in terms of the mass distribution. Helicopter Rotor Blade Moment Of Inertia.
From www.intechopen.com
Figure 17. Helicopter Rotor Blade Moment Of Inertia Define the physical concept of moment of inertia in terms of the mass distribution from the rotational axis. This paper out1 ines the strategies whereby he1 icopter rotor blades can be optimized for combined structural, inertial, dynamic,. A state space model of a helicopter rotor is. Moment of inertia can be adjusted for helicopter blades by changing their shape, mass. Helicopter Rotor Blade Moment Of Inertia.
From www.chegg.com
Solved What is the moment of inertia of the blades of the Helicopter Rotor Blade Moment Of Inertia Explain how the moment of. Realistic constraints on blade properties based on weight, mass moment of inertia size, strength, and stability are formulated. This paper out1 ines the strategies whereby he1 icopter rotor blades can be optimized for combined structural, inertial, dynamic,. Moment of inertia can be adjusted for helicopter blades by changing their shape, mass distribution, or materials. A. Helicopter Rotor Blade Moment Of Inertia.
From www.numerade.com
SOLVED Part (a) If each of the three rotor helicopter blades is 3.75 m Helicopter Rotor Blade Moment Of Inertia Define the physical concept of moment of inertia in terms of the mass distribution from the rotational axis. Explain how the moment of. Realistic constraints on blade properties based on weight, mass moment of inertia size, strength, and stability are formulated. This paper out1 ines the strategies whereby he1 icopter rotor blades can be optimized for combined structural, inertial, dynamic,.. Helicopter Rotor Blade Moment Of Inertia.
From www.youtube.com
Helicopter Blades Rotational Inertia Physics Problem Moment of Helicopter Rotor Blade Moment Of Inertia A state space model of a helicopter rotor is. Rotational inertia (or moment of inertia) for helicopter blades is calculated in this problem. Define the physical concept of moment of inertia in terms of the mass distribution from the rotational axis. Explain how the moment of. This paper out1 ines the strategies whereby he1 icopter rotor blades can be optimized. Helicopter Rotor Blade Moment Of Inertia.
From helicopterforum.verticalreference.com
Rotor Inertia General Helicopter Forum Vertical Reference Helicopter Rotor Blade Moment Of Inertia Explain how the moment of. Moment of inertia can be adjusted for helicopter blades by changing their shape, mass distribution, or materials. A state space model of a helicopter rotor is. This paper out1 ines the strategies whereby he1 icopter rotor blades can be optimized for combined structural, inertial, dynamic,. Define the physical concept of moment of inertia in terms. Helicopter Rotor Blade Moment Of Inertia.
From www.numerade.com
SOLVED Let us treat a helicopter rotor blade as a long thin rod. If Helicopter Rotor Blade Moment Of Inertia Moment of inertia can be adjusted for helicopter blades by changing their shape, mass distribution, or materials. This paper out1 ines the strategies whereby he1 icopter rotor blades can be optimized for combined structural, inertial, dynamic,. A state space model of a helicopter rotor is. Realistic constraints on blade properties based on weight, mass moment of inertia size, strength, and. Helicopter Rotor Blade Moment Of Inertia.
From www.researchgate.net
Description of rotor structure for moment of inertia calculation Helicopter Rotor Blade Moment Of Inertia This paper out1 ines the strategies whereby he1 icopter rotor blades can be optimized for combined structural, inertial, dynamic,. Explain how the moment of. Rotational inertia (or moment of inertia) for helicopter blades is calculated in this problem. Define the physical concept of moment of inertia in terms of the mass distribution from the rotational axis. Realistic constraints on blade. Helicopter Rotor Blade Moment Of Inertia.
From engineering.blogs.bristol.ac.uk
Emissionsbusting morphing blades for helicopters Helicopter Rotor Blade Moment Of Inertia Rotational inertia (or moment of inertia) for helicopter blades is calculated in this problem. A state space model of a helicopter rotor is. This paper out1 ines the strategies whereby he1 icopter rotor blades can be optimized for combined structural, inertial, dynamic,. Moment of inertia can be adjusted for helicopter blades by changing their shape, mass distribution, or materials. Explain. Helicopter Rotor Blade Moment Of Inertia.
From www.numerade.com
SOLVED A helicopter rotor blade has moment of inertia of 2200 Kgm^2 Helicopter Rotor Blade Moment Of Inertia Realistic constraints on blade properties based on weight, mass moment of inertia size, strength, and stability are formulated. A state space model of a helicopter rotor is. Define the physical concept of moment of inertia in terms of the mass distribution from the rotational axis. Explain how the moment of. Rotational inertia (or moment of inertia) for helicopter blades is. Helicopter Rotor Blade Moment Of Inertia.
From www.researchgate.net
Schematic diagram of main rotor's hub and hinges system. Download Helicopter Rotor Blade Moment Of Inertia This paper out1 ines the strategies whereby he1 icopter rotor blades can be optimized for combined structural, inertial, dynamic,. Rotational inertia (or moment of inertia) for helicopter blades is calculated in this problem. Define the physical concept of moment of inertia in terms of the mass distribution from the rotational axis. A state space model of a helicopter rotor is.. Helicopter Rotor Blade Moment Of Inertia.
From inchbyinch.de
INCH Technical English rotor configurations (helicopter) Helicopter Rotor Blade Moment Of Inertia This paper out1 ines the strategies whereby he1 icopter rotor blades can be optimized for combined structural, inertial, dynamic,. Moment of inertia can be adjusted for helicopter blades by changing their shape, mass distribution, or materials. A state space model of a helicopter rotor is. Rotational inertia (or moment of inertia) for helicopter blades is calculated in this problem. Explain. Helicopter Rotor Blade Moment Of Inertia.
From www.numerade.com
SOLVED Each of the three helicopter rotor blades shown in the figure Helicopter Rotor Blade Moment Of Inertia Rotational inertia (or moment of inertia) for helicopter blades is calculated in this problem. This paper out1 ines the strategies whereby he1 icopter rotor blades can be optimized for combined structural, inertial, dynamic,. Define the physical concept of moment of inertia in terms of the mass distribution from the rotational axis. A state space model of a helicopter rotor is.. Helicopter Rotor Blade Moment Of Inertia.
From www.vrogue.co
The Variable Inertia Flywheel A Schematic Diagram And vrogue.co Helicopter Rotor Blade Moment Of Inertia Moment of inertia can be adjusted for helicopter blades by changing their shape, mass distribution, or materials. This paper out1 ines the strategies whereby he1 icopter rotor blades can be optimized for combined structural, inertial, dynamic,. A state space model of a helicopter rotor is. Define the physical concept of moment of inertia in terms of the mass distribution from. Helicopter Rotor Blade Moment Of Inertia.
From www.researchgate.net
Physical model of rotor blade with lumped masses along blade elastic Helicopter Rotor Blade Moment Of Inertia Rotational inertia (or moment of inertia) for helicopter blades is calculated in this problem. Moment of inertia can be adjusted for helicopter blades by changing their shape, mass distribution, or materials. This paper out1 ines the strategies whereby he1 icopter rotor blades can be optimized for combined structural, inertial, dynamic,. Realistic constraints on blade properties based on weight, mass moment. Helicopter Rotor Blade Moment Of Inertia.
From www.slideshare.net
直升机飞行力学 Helicopter dynamics chapter 3 Helicopter Rotor Blade Moment Of Inertia Define the physical concept of moment of inertia in terms of the mass distribution from the rotational axis. A state space model of a helicopter rotor is. Realistic constraints on blade properties based on weight, mass moment of inertia size, strength, and stability are formulated. Rotational inertia (or moment of inertia) for helicopter blades is calculated in this problem. Moment. Helicopter Rotor Blade Moment Of Inertia.