Column And Row Diagonal Matrix . Thus, a 11 , a 22 , a 33, a 44,. An element aij of a matrix a = [a ij] is a diagonal elements of matrix if i = j, such as when rows and column suffixes are equal. We define a diagonal matrix \(d\) as a matrix containing a zero in every entry except those on the main diagonal. I have a row vector a, a = [a1 a2 a3. The principal diagonal is also known as the leading diagonal. A diagonal matrix is a special type of square matrix in which the entries outside the main diagonal are all zero. The columns of \(p\) consist. The main diagonal is the. An] and i would like to create a diagonal matrix, b = diag(a1, a2, a3,., an) with the elements of. So on are diagonal elements of the matrix a = [a ij].
from slideplayer.com
The main diagonal is the. I have a row vector a, a = [a1 a2 a3. A diagonal matrix is a special type of square matrix in which the entries outside the main diagonal are all zero. An] and i would like to create a diagonal matrix, b = diag(a1, a2, a3,., an) with the elements of. The columns of \(p\) consist. The principal diagonal is also known as the leading diagonal. An element aij of a matrix a = [a ij] is a diagonal elements of matrix if i = j, such as when rows and column suffixes are equal. We define a diagonal matrix \(d\) as a matrix containing a zero in every entry except those on the main diagonal. Thus, a 11 , a 22 , a 33, a 44,. So on are diagonal elements of the matrix a = [a ij].
Math Fundamentals Maths revisit. ppt download
Column And Row Diagonal Matrix An element aij of a matrix a = [a ij] is a diagonal elements of matrix if i = j, such as when rows and column suffixes are equal. An element aij of a matrix a = [a ij] is a diagonal elements of matrix if i = j, such as when rows and column suffixes are equal. An] and i would like to create a diagonal matrix, b = diag(a1, a2, a3,., an) with the elements of. The main diagonal is the. A diagonal matrix is a special type of square matrix in which the entries outside the main diagonal are all zero. The principal diagonal is also known as the leading diagonal. So on are diagonal elements of the matrix a = [a ij]. Thus, a 11 , a 22 , a 33, a 44,. I have a row vector a, a = [a1 a2 a3. We define a diagonal matrix \(d\) as a matrix containing a zero in every entry except those on the main diagonal. The columns of \(p\) consist.
From www.slideserve.com
PPT Matrix Algebra PowerPoint Presentation, free download ID150389 Column And Row Diagonal Matrix So on are diagonal elements of the matrix a = [a ij]. I have a row vector a, a = [a1 a2 a3. The columns of \(p\) consist. An element aij of a matrix a = [a ij] is a diagonal elements of matrix if i = j, such as when rows and column suffixes are equal. An] and i. Column And Row Diagonal Matrix.
From apniphysics.com
Types of Matrices Examples of Matrices Types For The Beginner Column And Row Diagonal Matrix We define a diagonal matrix \(d\) as a matrix containing a zero in every entry except those on the main diagonal. The principal diagonal is also known as the leading diagonal. So on are diagonal elements of the matrix a = [a ij]. A diagonal matrix is a special type of square matrix in which the entries outside the main. Column And Row Diagonal Matrix.
From apniphysics.com
Types of Matrices Examples of Matrices Types For The Beginner Column And Row Diagonal Matrix Thus, a 11 , a 22 , a 33, a 44,. An] and i would like to create a diagonal matrix, b = diag(a1, a2, a3,., an) with the elements of. I have a row vector a, a = [a1 a2 a3. So on are diagonal elements of the matrix a = [a ij]. We define a diagonal matrix \(d\). Column And Row Diagonal Matrix.
From www.youtube.com
Types of Matrices Row, Column, Square, Diagonal, Triangular, Scalar Column And Row Diagonal Matrix The main diagonal is the. The columns of \(p\) consist. The principal diagonal is also known as the leading diagonal. An element aij of a matrix a = [a ij] is a diagonal elements of matrix if i = j, such as when rows and column suffixes are equal. So on are diagonal elements of the matrix a = [a. Column And Row Diagonal Matrix.
From www.slideserve.com
PPT Chapter 9 Eigenvalue, Diagonalization, and Special Matrices Column And Row Diagonal Matrix So on are diagonal elements of the matrix a = [a ij]. Thus, a 11 , a 22 , a 33, a 44,. I have a row vector a, a = [a1 a2 a3. An element aij of a matrix a = [a ij] is a diagonal elements of matrix if i = j, such as when rows and column. Column And Row Diagonal Matrix.
From www.slideserve.com
PPT Matrix PowerPoint Presentation, free download ID2598456 Column And Row Diagonal Matrix The principal diagonal is also known as the leading diagonal. The columns of \(p\) consist. So on are diagonal elements of the matrix a = [a ij]. Thus, a 11 , a 22 , a 33, a 44,. An element aij of a matrix a = [a ij] is a diagonal elements of matrix if i = j, such as. Column And Row Diagonal Matrix.
From slideplayer.com
Introduction to Matrices ppt download Column And Row Diagonal Matrix I have a row vector a, a = [a1 a2 a3. Thus, a 11 , a 22 , a 33, a 44,. The principal diagonal is also known as the leading diagonal. A diagonal matrix is a special type of square matrix in which the entries outside the main diagonal are all zero. The columns of \(p\) consist. An element. Column And Row Diagonal Matrix.
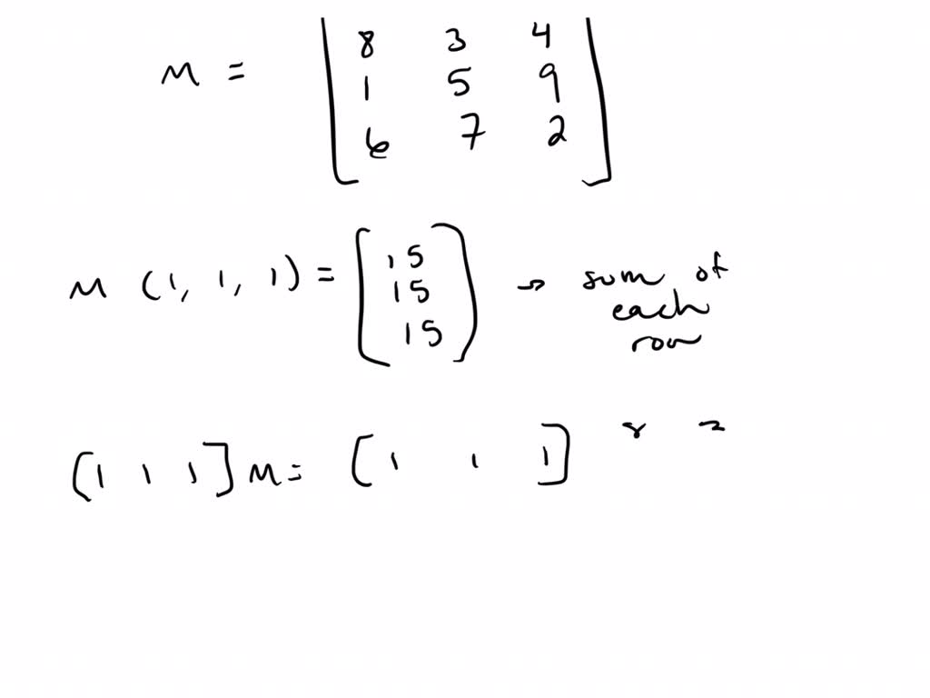
From www.chegg.com
Solved 1. Linear Systems A magic square is a square matrix Column And Row Diagonal Matrix So on are diagonal elements of the matrix a = [a ij]. Thus, a 11 , a 22 , a 33, a 44,. The main diagonal is the. An] and i would like to create a diagonal matrix, b = diag(a1, a2, a3,., an) with the elements of. A diagonal matrix is a special type of square matrix in which. Column And Row Diagonal Matrix.
From www.slideserve.com
PPT Diagonal Matrix PowerPoint Presentation, free download ID5424371 Column And Row Diagonal Matrix I have a row vector a, a = [a1 a2 a3. An element aij of a matrix a = [a ij] is a diagonal elements of matrix if i = j, such as when rows and column suffixes are equal. The main diagonal is the. The principal diagonal is also known as the leading diagonal. A diagonal matrix is a. Column And Row Diagonal Matrix.
From www.slideserve.com
PPT Diagonal Matrix PowerPoint Presentation, free download ID5424371 Column And Row Diagonal Matrix An element aij of a matrix a = [a ij] is a diagonal elements of matrix if i = j, such as when rows and column suffixes are equal. I have a row vector a, a = [a1 a2 a3. A diagonal matrix is a special type of square matrix in which the entries outside the main diagonal are all. Column And Row Diagonal Matrix.
From www.slideserve.com
PPT Matrix PowerPoint Presentation, free download ID4283367 Column And Row Diagonal Matrix So on are diagonal elements of the matrix a = [a ij]. An element aij of a matrix a = [a ij] is a diagonal elements of matrix if i = j, such as when rows and column suffixes are equal. A diagonal matrix is a special type of square matrix in which the entries outside the main diagonal are. Column And Row Diagonal Matrix.
From www.nagwa.com
Question Video Solving Equations by Finding the Determinant of a Column And Row Diagonal Matrix So on are diagonal elements of the matrix a = [a ij]. Thus, a 11 , a 22 , a 33, a 44,. A diagonal matrix is a special type of square matrix in which the entries outside the main diagonal are all zero. An] and i would like to create a diagonal matrix, b = diag(a1, a2, a3,., an). Column And Row Diagonal Matrix.
From www.geeksforgeeks.org
Sum of all parts of a square Matrix divided by its diagonals Column And Row Diagonal Matrix The columns of \(p\) consist. So on are diagonal elements of the matrix a = [a ij]. The principal diagonal is also known as the leading diagonal. We define a diagonal matrix \(d\) as a matrix containing a zero in every entry except those on the main diagonal. An element aij of a matrix a = [a ij] is a. Column And Row Diagonal Matrix.
From apniphysics.com
Types of Matrices Examples of Matrices Types For The Beginner Column And Row Diagonal Matrix An element aij of a matrix a = [a ij] is a diagonal elements of matrix if i = j, such as when rows and column suffixes are equal. The principal diagonal is also known as the leading diagonal. An] and i would like to create a diagonal matrix, b = diag(a1, a2, a3,., an) with the elements of. We. Column And Row Diagonal Matrix.
From www.slideserve.com
PPT Chapter 4 Introduction to Matrices PowerPoint Presentation, free Column And Row Diagonal Matrix An element aij of a matrix a = [a ij] is a diagonal elements of matrix if i = j, such as when rows and column suffixes are equal. The principal diagonal is also known as the leading diagonal. So on are diagonal elements of the matrix a = [a ij]. Thus, a 11 , a 22 , a 33,. Column And Row Diagonal Matrix.
From bluejcode.blogspot.com
Swapping Diagonal elements of a Matrix Column And Row Diagonal Matrix I have a row vector a, a = [a1 a2 a3. Thus, a 11 , a 22 , a 33, a 44,. The principal diagonal is also known as the leading diagonal. The main diagonal is the. We define a diagonal matrix \(d\) as a matrix containing a zero in every entry except those on the main diagonal. The columns. Column And Row Diagonal Matrix.
From www.coursehero.com
[Solved] . (1 point) A and B are n X n matrices. Check the true Column And Row Diagonal Matrix I have a row vector a, a = [a1 a2 a3. So on are diagonal elements of the matrix a = [a ij]. An element aij of a matrix a = [a ij] is a diagonal elements of matrix if i = j, such as when rows and column suffixes are equal. The columns of \(p\) consist. The main diagonal. Column And Row Diagonal Matrix.
From gistlib.com
gistlib how to change the diagonal of a matrix to be the sum of its Column And Row Diagonal Matrix I have a row vector a, a = [a1 a2 a3. An element aij of a matrix a = [a ij] is a diagonal elements of matrix if i = j, such as when rows and column suffixes are equal. Thus, a 11 , a 22 , a 33, a 44,. The main diagonal is the. We define a diagonal. Column And Row Diagonal Matrix.
From www.cuemath.com
Diagonal Matrix Definition, Inverse Diagonalization Column And Row Diagonal Matrix I have a row vector a, a = [a1 a2 a3. Thus, a 11 , a 22 , a 33, a 44,. So on are diagonal elements of the matrix a = [a ij]. A diagonal matrix is a special type of square matrix in which the entries outside the main diagonal are all zero. An element aij of a. Column And Row Diagonal Matrix.
From www.geeksforgeeks.org
Program to find the Sum of each Row and each Column of a Matrix Column And Row Diagonal Matrix We define a diagonal matrix \(d\) as a matrix containing a zero in every entry except those on the main diagonal. A diagonal matrix is a special type of square matrix in which the entries outside the main diagonal are all zero. The principal diagonal is also known as the leading diagonal. The main diagonal is the. An element aij. Column And Row Diagonal Matrix.
From slideplayer.com
Math Fundamentals Maths revisit. ppt download Column And Row Diagonal Matrix An] and i would like to create a diagonal matrix, b = diag(a1, a2, a3,., an) with the elements of. The columns of \(p\) consist. The principal diagonal is also known as the leading diagonal. We define a diagonal matrix \(d\) as a matrix containing a zero in every entry except those on the main diagonal. The main diagonal is. Column And Row Diagonal Matrix.
From www.slideserve.com
PPT Row and column matrices are sometimes called row vectors and Column And Row Diagonal Matrix So on are diagonal elements of the matrix a = [a ij]. The principal diagonal is also known as the leading diagonal. We define a diagonal matrix \(d\) as a matrix containing a zero in every entry except those on the main diagonal. Thus, a 11 , a 22 , a 33, a 44,. A diagonal matrix is a special. Column And Row Diagonal Matrix.
From www.storyofmathematics.com
Diagonal matrix Explanation & Examples Column And Row Diagonal Matrix Thus, a 11 , a 22 , a 33, a 44,. I have a row vector a, a = [a1 a2 a3. The columns of \(p\) consist. A diagonal matrix is a special type of square matrix in which the entries outside the main diagonal are all zero. We define a diagonal matrix \(d\) as a matrix containing a zero. Column And Row Diagonal Matrix.
From www.numerade.com
Invent a 3 by 3 magic matrix M with entries 1,2, …, 9. All rows and Column And Row Diagonal Matrix I have a row vector a, a = [a1 a2 a3. An element aij of a matrix a = [a ij] is a diagonal elements of matrix if i = j, such as when rows and column suffixes are equal. We define a diagonal matrix \(d\) as a matrix containing a zero in every entry except those on the main. Column And Row Diagonal Matrix.
From apniphysics.com
Types of Matrices Examples of Matrices Types For The Beginner Column And Row Diagonal Matrix The columns of \(p\) consist. A diagonal matrix is a special type of square matrix in which the entries outside the main diagonal are all zero. So on are diagonal elements of the matrix a = [a ij]. The principal diagonal is also known as the leading diagonal. Thus, a 11 , a 22 , a 33, a 44,. The. Column And Row Diagonal Matrix.
From www.youtube.com
In a `4xx4` matrix the sum of each row, column and both the main Column And Row Diagonal Matrix An element aij of a matrix a = [a ij] is a diagonal elements of matrix if i = j, such as when rows and column suffixes are equal. We define a diagonal matrix \(d\) as a matrix containing a zero in every entry except those on the main diagonal. A diagonal matrix is a special type of square matrix. Column And Row Diagonal Matrix.
From stock.adobe.com
Stockvector The different types of matrices in mathematics. Row Column And Row Diagonal Matrix A diagonal matrix is a special type of square matrix in which the entries outside the main diagonal are all zero. We define a diagonal matrix \(d\) as a matrix containing a zero in every entry except those on the main diagonal. The principal diagonal is also known as the leading diagonal. Thus, a 11 , a 22 , a. Column And Row Diagonal Matrix.
From stock.adobe.com
The different types of matrices in mathematics. Row, rectangular Column And Row Diagonal Matrix I have a row vector a, a = [a1 a2 a3. We define a diagonal matrix \(d\) as a matrix containing a zero in every entry except those on the main diagonal. Thus, a 11 , a 22 , a 33, a 44,. So on are diagonal elements of the matrix a = [a ij]. The columns of \(p\) consist.. Column And Row Diagonal Matrix.
From www.slideserve.com
PPT Matrix PowerPoint Presentation, free download ID2598456 Column And Row Diagonal Matrix The main diagonal is the. Thus, a 11 , a 22 , a 33, a 44,. So on are diagonal elements of the matrix a = [a ij]. We define a diagonal matrix \(d\) as a matrix containing a zero in every entry except those on the main diagonal. The columns of \(p\) consist. An] and i would like to. Column And Row Diagonal Matrix.
From programmathically.com
What is a Diagonal Matrix Programmathically Column And Row Diagonal Matrix An] and i would like to create a diagonal matrix, b = diag(a1, a2, a3,., an) with the elements of. The main diagonal is the. The principal diagonal is also known as the leading diagonal. The columns of \(p\) consist. I have a row vector a, a = [a1 a2 a3. A diagonal matrix is a special type of square. Column And Row Diagonal Matrix.
From www.blueworldcartoons.com
Mega Matrix Multiplication Column And Row Diagonal Matrix The columns of \(p\) consist. We define a diagonal matrix \(d\) as a matrix containing a zero in every entry except those on the main diagonal. A diagonal matrix is a special type of square matrix in which the entries outside the main diagonal are all zero. An] and i would like to create a diagonal matrix, b = diag(a1,. Column And Row Diagonal Matrix.
From www.youtube.com
Calculate Sum of Individual Row, Column and Diagonal of matrix in C Column And Row Diagonal Matrix We define a diagonal matrix \(d\) as a matrix containing a zero in every entry except those on the main diagonal. An] and i would like to create a diagonal matrix, b = diag(a1, a2, a3,., an) with the elements of. The principal diagonal is also known as the leading diagonal. The columns of \(p\) consist. So on are diagonal. Column And Row Diagonal Matrix.
From apniphysics.com
Types of Matrices Examples of Matrices Types For The Beginner Column And Row Diagonal Matrix The principal diagonal is also known as the leading diagonal. I have a row vector a, a = [a1 a2 a3. A diagonal matrix is a special type of square matrix in which the entries outside the main diagonal are all zero. Thus, a 11 , a 22 , a 33, a 44,. We define a diagonal matrix \(d\) as. Column And Row Diagonal Matrix.
From mungfali.com
Leading Diagonal Matrix Column And Row Diagonal Matrix The columns of \(p\) consist. We define a diagonal matrix \(d\) as a matrix containing a zero in every entry except those on the main diagonal. So on are diagonal elements of the matrix a = [a ij]. An element aij of a matrix a = [a ij] is a diagonal elements of matrix if i = j, such as. Column And Row Diagonal Matrix.
From www.slideserve.com
PPT The matrix is an ordered set of numbers arranged in rows and Column And Row Diagonal Matrix An] and i would like to create a diagonal matrix, b = diag(a1, a2, a3,., an) with the elements of. The columns of \(p\) consist. A diagonal matrix is a special type of square matrix in which the entries outside the main diagonal are all zero. Thus, a 11 , a 22 , a 33, a 44,. The main diagonal. Column And Row Diagonal Matrix.