Magnesium Density Pounds Per Cubic Inch . Magnesium weighs 1.738 gram per cubic centimeter or 1 738 kilogram per. 20 rows in imperial or us customary measurement system, the density is equal to 98.012 pound per cubic foot [lb/ft³], or. 108.4998 pounds [lbs] of magnesium fit into 1 cubic foot. For density in lb/ft 3, multiply lb/in. Volumetric mass density of magnesium (metal, alloy) in. Different metals have different densities, and the density difference between some metals is huge. density is defined as the mass per unit volume. this article introduces an online magnesium weight calculator, providing a simple and efficient tool to determine the weight. Density of magnesium (mg) is 1738 kg/m3. For example, the most dense metal is osmium (os), with a density of 22.59 g/cm3, which is 42 times that of the least dense metal lithium (0.534g/cm3). Density of magnesium is equal. 20 rows magnesium weighs 1.738 gram per cubic centimeter or 1 738 kilogram per cubic meter, i.e.
from www.numerade.com
20 rows in imperial or us customary measurement system, the density is equal to 98.012 pound per cubic foot [lb/ft³], or. 20 rows magnesium weighs 1.738 gram per cubic centimeter or 1 738 kilogram per cubic meter, i.e. For example, the most dense metal is osmium (os), with a density of 22.59 g/cm3, which is 42 times that of the least dense metal lithium (0.534g/cm3). Density of magnesium is equal. Volumetric mass density of magnesium (metal, alloy) in. density is defined as the mass per unit volume. Density of magnesium (mg) is 1738 kg/m3. this article introduces an online magnesium weight calculator, providing a simple and efficient tool to determine the weight. 108.4998 pounds [lbs] of magnesium fit into 1 cubic foot. Magnesium weighs 1.738 gram per cubic centimeter or 1 738 kilogram per.
The density of mercury, the only metal to exist as a liquid at room
Magnesium Density Pounds Per Cubic Inch 108.4998 pounds [lbs] of magnesium fit into 1 cubic foot. 108.4998 pounds [lbs] of magnesium fit into 1 cubic foot. For example, the most dense metal is osmium (os), with a density of 22.59 g/cm3, which is 42 times that of the least dense metal lithium (0.534g/cm3). density is defined as the mass per unit volume. Different metals have different densities, and the density difference between some metals is huge. For density in lb/ft 3, multiply lb/in. 20 rows in imperial or us customary measurement system, the density is equal to 98.012 pound per cubic foot [lb/ft³], or. 20 rows magnesium weighs 1.738 gram per cubic centimeter or 1 738 kilogram per cubic meter, i.e. Magnesium weighs 1.738 gram per cubic centimeter or 1 738 kilogram per. Density of magnesium is equal. Density of magnesium (mg) is 1738 kg/m3. this article introduces an online magnesium weight calculator, providing a simple and efficient tool to determine the weight. Volumetric mass density of magnesium (metal, alloy) in.
From www.tradeindia.com
Magnesium Oxide Powder Density 3.6 G/cm3 Gram Per Cubic Centimeter(g Magnesium Density Pounds Per Cubic Inch For density in lb/ft 3, multiply lb/in. Density of magnesium (mg) is 1738 kg/m3. 20 rows in imperial or us customary measurement system, the density is equal to 98.012 pound per cubic foot [lb/ft³], or. 20 rows magnesium weighs 1.738 gram per cubic centimeter or 1 738 kilogram per cubic meter, i.e. Volumetric mass density of magnesium (metal,. Magnesium Density Pounds Per Cubic Inch.
From www.youtube.com
CHEMISTRY 101 Dimensional Analysis density and cubed units YouTube Magnesium Density Pounds Per Cubic Inch 108.4998 pounds [lbs] of magnesium fit into 1 cubic foot. Different metals have different densities, and the density difference between some metals is huge. For density in lb/ft 3, multiply lb/in. Magnesium weighs 1.738 gram per cubic centimeter or 1 738 kilogram per. For example, the most dense metal is osmium (os), with a density of 22.59 g/cm3, which. Magnesium Density Pounds Per Cubic Inch.
From orlando-has-diaz.blogspot.com
Density of Water in Pounds Per Cubic Foot OrlandohasDiaz Magnesium Density Pounds Per Cubic Inch this article introduces an online magnesium weight calculator, providing a simple and efficient tool to determine the weight. For example, the most dense metal is osmium (os), with a density of 22.59 g/cm3, which is 42 times that of the least dense metal lithium (0.534g/cm3). 20 rows in imperial or us customary measurement system, the density is equal. Magnesium Density Pounds Per Cubic Inch.
From chemistry.stackexchange.com
experimental chemistry Calculating the density of a magnesium Magnesium Density Pounds Per Cubic Inch For density in lb/ft 3, multiply lb/in. density is defined as the mass per unit volume. Magnesium weighs 1.738 gram per cubic centimeter or 1 738 kilogram per. 20 rows magnesium weighs 1.738 gram per cubic centimeter or 1 738 kilogram per cubic meter, i.e. Different metals have different densities, and the density difference between some metals is. Magnesium Density Pounds Per Cubic Inch.
From studycopesettic.z21.web.core.windows.net
What Is Magnesium's Density Magnesium Density Pounds Per Cubic Inch Density of magnesium is equal. For density in lb/ft 3, multiply lb/in. Magnesium weighs 1.738 gram per cubic centimeter or 1 738 kilogram per. Different metals have different densities, and the density difference between some metals is huge. For example, the most dense metal is osmium (os), with a density of 22.59 g/cm3, which is 42 times that of the. Magnesium Density Pounds Per Cubic Inch.
From www.smart-elements.com
BIG high precision Magnesium densitystandard cube 10cm3 17.4g Magnesium Density Pounds Per Cubic Inch 108.4998 pounds [lbs] of magnesium fit into 1 cubic foot. Magnesium weighs 1.738 gram per cubic centimeter or 1 738 kilogram per. density is defined as the mass per unit volume. 20 rows magnesium weighs 1.738 gram per cubic centimeter or 1 738 kilogram per cubic meter, i.e. 20 rows in imperial or us customary measurement. Magnesium Density Pounds Per Cubic Inch.
From www.coursehero.com
[Solved] 11. Cast iron weighs 0.254 pounds per cubic inch. If you're Magnesium Density Pounds Per Cubic Inch For example, the most dense metal is osmium (os), with a density of 22.59 g/cm3, which is 42 times that of the least dense metal lithium (0.534g/cm3). Density of magnesium (mg) is 1738 kg/m3. 20 rows in imperial or us customary measurement system, the density is equal to 98.012 pound per cubic foot [lb/ft³], or. Volumetric mass density of. Magnesium Density Pounds Per Cubic Inch.
From www.researchgate.net
Dielectric constant vs. density (pounds per cubic foot, pcf) with Magnesium Density Pounds Per Cubic Inch this article introduces an online magnesium weight calculator, providing a simple and efficient tool to determine the weight. Different metals have different densities, and the density difference between some metals is huge. density is defined as the mass per unit volume. 20 rows magnesium weighs 1.738 gram per cubic centimeter or 1 738 kilogram per cubic meter,. Magnesium Density Pounds Per Cubic Inch.
From www.numerade.com
SOLVED 1. Three friends are eating enormous freeze pops on a hot Magnesium Density Pounds Per Cubic Inch density is defined as the mass per unit volume. 20 rows in imperial or us customary measurement system, the density is equal to 98.012 pound per cubic foot [lb/ft³], or. Density of magnesium is equal. 108.4998 pounds [lbs] of magnesium fit into 1 cubic foot. Different metals have different densities, and the density difference between some metals. Magnesium Density Pounds Per Cubic Inch.
From www.chegg.com
Solved A soil with a dry density of 100 pounds per cubic Magnesium Density Pounds Per Cubic Inch Density of magnesium is equal. Different metals have different densities, and the density difference between some metals is huge. Volumetric mass density of magnesium (metal, alloy) in. For density in lb/ft 3, multiply lb/in. 20 rows in imperial or us customary measurement system, the density is equal to 98.012 pound per cubic foot [lb/ft³], or. Magnesium weighs 1.738 gram. Magnesium Density Pounds Per Cubic Inch.
From www.youtube.com
Given thatBarometer reading = 740 mm of mercury;Specific gravity of Magnesium Density Pounds Per Cubic Inch Density of magnesium is equal. Magnesium weighs 1.738 gram per cubic centimeter or 1 738 kilogram per. 20 rows magnesium weighs 1.738 gram per cubic centimeter or 1 738 kilogram per cubic meter, i.e. For example, the most dense metal is osmium (os), with a density of 22.59 g/cm3, which is 42 times that of the least dense metal. Magnesium Density Pounds Per Cubic Inch.
From material-properties.org
Magnesio Tabla periódica y propiedades atómicas Magnesium Density Pounds Per Cubic Inch Density of magnesium is equal. For density in lb/ft 3, multiply lb/in. 20 rows in imperial or us customary measurement system, the density is equal to 98.012 pound per cubic foot [lb/ft³], or. this article introduces an online magnesium weight calculator, providing a simple and efficient tool to determine the weight. 108.4998 pounds [lbs] of magnesium fit. Magnesium Density Pounds Per Cubic Inch.
From blog.ultimateperformance.com
Magnesium Everything you need to know for better health Magnesium Density Pounds Per Cubic Inch 108.4998 pounds [lbs] of magnesium fit into 1 cubic foot. For example, the most dense metal is osmium (os), with a density of 22.59 g/cm3, which is 42 times that of the least dense metal lithium (0.534g/cm3). this article introduces an online magnesium weight calculator, providing a simple and efficient tool to determine the weight. 20 rows. Magnesium Density Pounds Per Cubic Inch.
From www.numerade.com
SOLVED the density of mercury, the only metal to exist as a liquid at Magnesium Density Pounds Per Cubic Inch For example, the most dense metal is osmium (os), with a density of 22.59 g/cm3, which is 42 times that of the least dense metal lithium (0.534g/cm3). 20 rows magnesium weighs 1.738 gram per cubic centimeter or 1 738 kilogram per cubic meter, i.e. Density of magnesium is equal. Volumetric mass density of magnesium (metal, alloy) in. 20. Magnesium Density Pounds Per Cubic Inch.
From www.tradeindia.com
Pharmaceutical Grade Purity Powder Magnesium Stearate Density 1.026 Magnesium Density Pounds Per Cubic Inch density is defined as the mass per unit volume. Different metals have different densities, and the density difference between some metals is huge. Volumetric mass density of magnesium (metal, alloy) in. Density of magnesium is equal. 20 rows magnesium weighs 1.738 gram per cubic centimeter or 1 738 kilogram per cubic meter, i.e. For density in lb/ft 3,. Magnesium Density Pounds Per Cubic Inch.
From orlando-has-diaz.blogspot.com
Density of Water in Pounds Per Cubic Foot OrlandohasDiaz Magnesium Density Pounds Per Cubic Inch Density of magnesium (mg) is 1738 kg/m3. For density in lb/ft 3, multiply lb/in. Density of magnesium is equal. Magnesium weighs 1.738 gram per cubic centimeter or 1 738 kilogram per. density is defined as the mass per unit volume. For example, the most dense metal is osmium (os), with a density of 22.59 g/cm3, which is 42 times. Magnesium Density Pounds Per Cubic Inch.
From www.numerade.com
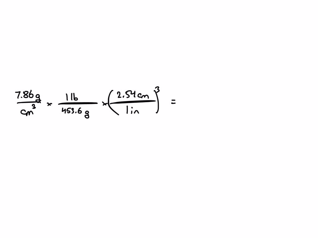
SOLVEDThe density of iron is 7.86 \mathrm{g} / \mathrm{cm}^{3} . What Magnesium Density Pounds Per Cubic Inch Different metals have different densities, and the density difference between some metals is huge. Density of magnesium is equal. 20 rows in imperial or us customary measurement system, the density is equal to 98.012 pound per cubic foot [lb/ft³], or. 20 rows magnesium weighs 1.738 gram per cubic centimeter or 1 738 kilogram per cubic meter, i.e. . Magnesium Density Pounds Per Cubic Inch.
From www.numerade.com
SOLVED The density of mercury, the only metal to exist as a liquid at Magnesium Density Pounds Per Cubic Inch density is defined as the mass per unit volume. this article introduces an online magnesium weight calculator, providing a simple and efficient tool to determine the weight. For density in lb/ft 3, multiply lb/in. 108.4998 pounds [lbs] of magnesium fit into 1 cubic foot. Different metals have different densities, and the density difference between some metals is. Magnesium Density Pounds Per Cubic Inch.
From www.tradeindia.com
High Quality Industrial Grade Crystal Clear With Ionic Compound White Magnesium Density Pounds Per Cubic Inch 108.4998 pounds [lbs] of magnesium fit into 1 cubic foot. For density in lb/ft 3, multiply lb/in. For example, the most dense metal is osmium (os), with a density of 22.59 g/cm3, which is 42 times that of the least dense metal lithium (0.534g/cm3). density is defined as the mass per unit volume. 20 rows in imperial. Magnesium Density Pounds Per Cubic Inch.
From www.arcanaempothecary.com
Magnesium Glycinate 120mg 180c Pure Encapsulations Arcana Empothecary Magnesium Density Pounds Per Cubic Inch Density of magnesium is equal. 108.4998 pounds [lbs] of magnesium fit into 1 cubic foot. For density in lb/ft 3, multiply lb/in. 20 rows in imperial or us customary measurement system, the density is equal to 98.012 pound per cubic foot [lb/ft³], or. Density of magnesium (mg) is 1738 kg/m3. Magnesium weighs 1.738 gram per cubic centimeter or. Magnesium Density Pounds Per Cubic Inch.
From www.examples.com
Units of Density Examples, Definition, Units, Conversion Chart Magnesium Density Pounds Per Cubic Inch 108.4998 pounds [lbs] of magnesium fit into 1 cubic foot. Different metals have different densities, and the density difference between some metals is huge. Density of magnesium (mg) is 1738 kg/m3. Magnesium weighs 1.738 gram per cubic centimeter or 1 738 kilogram per. this article introduces an online magnesium weight calculator, providing a simple and efficient tool to. Magnesium Density Pounds Per Cubic Inch.
From www.museoinclusivo.com
Exploring the Density of Aluminum in Pounds per Cubic Inch Aluminum Magnesium Density Pounds Per Cubic Inch Density of magnesium (mg) is 1738 kg/m3. 20 rows in imperial or us customary measurement system, the density is equal to 98.012 pound per cubic foot [lb/ft³], or. Magnesium weighs 1.738 gram per cubic centimeter or 1 738 kilogram per. Volumetric mass density of magnesium (metal, alloy) in. For example, the most dense metal is osmium (os), with a. Magnesium Density Pounds Per Cubic Inch.
From www.slideserve.com
PPT Properties of Geometric Solids PowerPoint Presentation, free Magnesium Density Pounds Per Cubic Inch Volumetric mass density of magnesium (metal, alloy) in. 20 rows in imperial or us customary measurement system, the density is equal to 98.012 pound per cubic foot [lb/ft³], or. For example, the most dense metal is osmium (os), with a density of 22.59 g/cm3, which is 42 times that of the least dense metal lithium (0.534g/cm3). density is. Magnesium Density Pounds Per Cubic Inch.
From www.smart-elements.com
Magnesium precision density cube 10mm sealed under argon 1.74g Magnesium Density Pounds Per Cubic Inch density is defined as the mass per unit volume. Volumetric mass density of magnesium (metal, alloy) in. Density of magnesium is equal. 20 rows magnesium weighs 1.738 gram per cubic centimeter or 1 738 kilogram per cubic meter, i.e. Magnesium weighs 1.738 gram per cubic centimeter or 1 738 kilogram per. For example, the most dense metal is. Magnesium Density Pounds Per Cubic Inch.
From www.numerade.com
The density of mercury, the only metal to exist as a liquid at room Magnesium Density Pounds Per Cubic Inch Different metals have different densities, and the density difference between some metals is huge. Density of magnesium (mg) is 1738 kg/m3. Density of magnesium is equal. Magnesium weighs 1.738 gram per cubic centimeter or 1 738 kilogram per. 20 rows magnesium weighs 1.738 gram per cubic centimeter or 1 738 kilogram per cubic meter, i.e. 108.4998 pounds [lbs]. Magnesium Density Pounds Per Cubic Inch.
From www.researchgate.net
(PDF) Thermophysical Properties of Magnesium in Solid and Liquid States Magnesium Density Pounds Per Cubic Inch Magnesium weighs 1.738 gram per cubic centimeter or 1 738 kilogram per. this article introduces an online magnesium weight calculator, providing a simple and efficient tool to determine the weight. density is defined as the mass per unit volume. 20 rows magnesium weighs 1.738 gram per cubic centimeter or 1 738 kilogram per cubic meter, i.e. For. Magnesium Density Pounds Per Cubic Inch.
From oneclass.com
OneClass The density of titanium is 4.51g/cm3 . What is its density in Magnesium Density Pounds Per Cubic Inch density is defined as the mass per unit volume. 20 rows in imperial or us customary measurement system, the density is equal to 98.012 pound per cubic foot [lb/ft³], or. 20 rows magnesium weighs 1.738 gram per cubic centimeter or 1 738 kilogram per cubic meter, i.e. Density of magnesium is equal. Different metals have different densities,. Magnesium Density Pounds Per Cubic Inch.
From www.smart-elements.com
Magnesium precision density cube 10mm 1.74g Magnesium Density Pounds Per Cubic Inch density is defined as the mass per unit volume. For density in lb/ft 3, multiply lb/in. Density of magnesium is equal. 20 rows magnesium weighs 1.738 gram per cubic centimeter or 1 738 kilogram per cubic meter, i.e. Magnesium weighs 1.738 gram per cubic centimeter or 1 738 kilogram per. For example, the most dense metal is osmium. Magnesium Density Pounds Per Cubic Inch.
From dxoqisxfq.blob.core.windows.net
Kalkulator Kg Na M3 at James Lankford blog Magnesium Density Pounds Per Cubic Inch For density in lb/ft 3, multiply lb/in. 20 rows in imperial or us customary measurement system, the density is equal to 98.012 pound per cubic foot [lb/ft³], or. Different metals have different densities, and the density difference between some metals is huge. density is defined as the mass per unit volume. 108.4998 pounds [lbs] of magnesium fit. Magnesium Density Pounds Per Cubic Inch.
From worksheetmagicsimone.z19.web.core.windows.net
Cubic Measurement Chart Magnesium Density Pounds Per Cubic Inch 20 rows magnesium weighs 1.738 gram per cubic centimeter or 1 738 kilogram per cubic meter, i.e. 20 rows in imperial or us customary measurement system, the density is equal to 98.012 pound per cubic foot [lb/ft³], or. Different metals have different densities, and the density difference between some metals is huge. density is defined as the. Magnesium Density Pounds Per Cubic Inch.
From answerklondiked.z4.web.core.windows.net
Magnesium Density Vs Steel Magnesium Density Pounds Per Cubic Inch Density of magnesium (mg) is 1738 kg/m3. Magnesium weighs 1.738 gram per cubic centimeter or 1 738 kilogram per. For density in lb/ft 3, multiply lb/in. Different metals have different densities, and the density difference between some metals is huge. 20 rows in imperial or us customary measurement system, the density is equal to 98.012 pound per cubic foot. Magnesium Density Pounds Per Cubic Inch.
From www.slideserve.com
PPT Properties of Geometric Solids PowerPoint Presentation, free Magnesium Density Pounds Per Cubic Inch this article introduces an online magnesium weight calculator, providing a simple and efficient tool to determine the weight. Magnesium weighs 1.738 gram per cubic centimeter or 1 738 kilogram per. Density of magnesium (mg) is 1738 kg/m3. Volumetric mass density of magnesium (metal, alloy) in. Different metals have different densities, and the density difference between some metals is huge.. Magnesium Density Pounds Per Cubic Inch.
From www.numerade.com
SOLVEDThe density of iron is 7.86 g / cm^3 . What is its density in Magnesium Density Pounds Per Cubic Inch Density of magnesium (mg) is 1738 kg/m3. For example, the most dense metal is osmium (os), with a density of 22.59 g/cm3, which is 42 times that of the least dense metal lithium (0.534g/cm3). Different metals have different densities, and the density difference between some metals is huge. Density of magnesium is equal. 20 rows magnesium weighs 1.738 gram. Magnesium Density Pounds Per Cubic Inch.
From www.scribd.com
Bulk Density Chart PDF Magnesium Aluminium Oxide Magnesium Density Pounds Per Cubic Inch 20 rows magnesium weighs 1.738 gram per cubic centimeter or 1 738 kilogram per cubic meter, i.e. this article introduces an online magnesium weight calculator, providing a simple and efficient tool to determine the weight. For example, the most dense metal is osmium (os), with a density of 22.59 g/cm3, which is 42 times that of the least. Magnesium Density Pounds Per Cubic Inch.
From www.pinterest.co.kr
Metal Density Chart Showing density and correlating specific gravity Magnesium Density Pounds Per Cubic Inch 20 rows in imperial or us customary measurement system, the density is equal to 98.012 pound per cubic foot [lb/ft³], or. 108.4998 pounds [lbs] of magnesium fit into 1 cubic foot. Density of magnesium (mg) is 1738 kg/m3. Volumetric mass density of magnesium (metal, alloy) in. 20 rows magnesium weighs 1.738 gram per cubic centimeter or 1. Magnesium Density Pounds Per Cubic Inch.