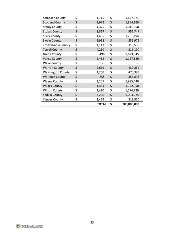
Local Supplements For Nc Teachers . Caswell county schools, clay county schools, graham county schools, and swain county schools. In addition to the state salary, a. In north carolina, teachers are paid according to a base monthly salary schedule that increases based on years of experience. Nc department of public instruction lea # lea names total supplement maximum per teacher w/o benefits fy24 prc 071. Through the appropriations act of 2021, the north carolina general assembly created a recurring.
from independenttribune.com
Caswell county schools, clay county schools, graham county schools, and swain county schools. In addition to the state salary, a. Through the appropriations act of 2021, the north carolina general assembly created a recurring. In north carolina, teachers are paid according to a base monthly salary schedule that increases based on years of experience. Nc department of public instruction lea # lea names total supplement maximum per teacher w/o benefits fy24 prc 071.
Teacher Supplements a key point again going into CCS budget approval
Local Supplements For Nc Teachers In addition to the state salary, a. In north carolina, teachers are paid according to a base monthly salary schedule that increases based on years of experience. In addition to the state salary, a. Through the appropriations act of 2021, the north carolina general assembly created a recurring. Caswell county schools, clay county schools, graham county schools, and swain county schools. Nc department of public instruction lea # lea names total supplement maximum per teacher w/o benefits fy24 prc 071.
From www.heraldsun.com
Firstyear teachers in wealthy school districts can earn more than Local Supplements For Nc Teachers In addition to the state salary, a. In north carolina, teachers are paid according to a base monthly salary schedule that increases based on years of experience. Nc department of public instruction lea # lea names total supplement maximum per teacher w/o benefits fy24 prc 071. Caswell county schools, clay county schools, graham county schools, and swain county schools. Through. Local Supplements For Nc Teachers.
From martlabpro.com
Medicare Supplement Plans In Nc Everything You Need To Know MartLabPro Local Supplements For Nc Teachers In north carolina, teachers are paid according to a base monthly salary schedule that increases based on years of experience. In addition to the state salary, a. Caswell county schools, clay county schools, graham county schools, and swain county schools. Through the appropriations act of 2021, the north carolina general assembly created a recurring. Nc department of public instruction lea. Local Supplements For Nc Teachers.
From www.everydaymandk.com
Our favorite supplements from The Healthy Place a local supplement store. Local Supplements For Nc Teachers Caswell county schools, clay county schools, graham county schools, and swain county schools. In north carolina, teachers are paid according to a base monthly salary schedule that increases based on years of experience. In addition to the state salary, a. Nc department of public instruction lea # lea names total supplement maximum per teacher w/o benefits fy24 prc 071. Through. Local Supplements For Nc Teachers.
From www.citizen-times.com
Teacher supplements vary widely in North Carolina Local Supplements For Nc Teachers In north carolina, teachers are paid according to a base monthly salary schedule that increases based on years of experience. Nc department of public instruction lea # lea names total supplement maximum per teacher w/o benefits fy24 prc 071. Through the appropriations act of 2021, the north carolina general assembly created a recurring. Caswell county schools, clay county schools, graham. Local Supplements For Nc Teachers.
From martlabpro.com
Medicare Supplement Plans In Nc Everything You Need To Know MartLabPro Local Supplements For Nc Teachers In addition to the state salary, a. Caswell county schools, clay county schools, graham county schools, and swain county schools. Through the appropriations act of 2021, the north carolina general assembly created a recurring. In north carolina, teachers are paid according to a base monthly salary schedule that increases based on years of experience. Nc department of public instruction lea. Local Supplements For Nc Teachers.
From www.pinterest.com
Daily Mfg, NC ********** Best vitamins & food supplements! www Local Supplements For Nc Teachers Through the appropriations act of 2021, the north carolina general assembly created a recurring. In addition to the state salary, a. In north carolina, teachers are paid according to a base monthly salary schedule that increases based on years of experience. Nc department of public instruction lea # lea names total supplement maximum per teacher w/o benefits fy24 prc 071.. Local Supplements For Nc Teachers.
From www.ednc.org
Teacher bonuses and supplements in North Carolina EducationNC Local Supplements For Nc Teachers In north carolina, teachers are paid according to a base monthly salary schedule that increases based on years of experience. In addition to the state salary, a. Through the appropriations act of 2021, the north carolina general assembly created a recurring. Nc department of public instruction lea # lea names total supplement maximum per teacher w/o benefits fy24 prc 071.. Local Supplements For Nc Teachers.
From www.ednc.org
What the hell is a local supplement and why it matters to teachers Local Supplements For Nc Teachers Through the appropriations act of 2021, the north carolina general assembly created a recurring. In north carolina, teachers are paid according to a base monthly salary schedule that increases based on years of experience. In addition to the state salary, a. Nc department of public instruction lea # lea names total supplement maximum per teacher w/o benefits fy24 prc 071.. Local Supplements For Nc Teachers.
From www.pinterest.com
Local NC friends, please head over to local retailer Local Supplements For Nc Teachers Through the appropriations act of 2021, the north carolina general assembly created a recurring. Caswell county schools, clay county schools, graham county schools, and swain county schools. Nc department of public instruction lea # lea names total supplement maximum per teacher w/o benefits fy24 prc 071. In addition to the state salary, a. In north carolina, teachers are paid according. Local Supplements For Nc Teachers.
From www.aislac.org
Why may you need the best vitamin diet supplements for optimal health Local Supplements For Nc Teachers Through the appropriations act of 2021, the north carolina general assembly created a recurring. In addition to the state salary, a. Nc department of public instruction lea # lea names total supplement maximum per teacher w/o benefits fy24 prc 071. In north carolina, teachers are paid according to a base monthly salary schedule that increases based on years of experience.. Local Supplements For Nc Teachers.
From www.ednc.org
Report on NC teacher pay released EducationNC Local Supplements For Nc Teachers Nc department of public instruction lea # lea names total supplement maximum per teacher w/o benefits fy24 prc 071. In addition to the state salary, a. In north carolina, teachers are paid according to a base monthly salary schedule that increases based on years of experience. Through the appropriations act of 2021, the north carolina general assembly created a recurring.. Local Supplements For Nc Teachers.
From josefspharmacy.com
Chrononutrition and Nutritional Supplements The Best Timing for Your Local Supplements For Nc Teachers In addition to the state salary, a. Through the appropriations act of 2021, the north carolina general assembly created a recurring. Caswell county schools, clay county schools, graham county schools, and swain county schools. In north carolina, teachers are paid according to a base monthly salary schedule that increases based on years of experience. Nc department of public instruction lea. Local Supplements For Nc Teachers.
From caffeinatedrage.com
Local Supplements For Teachers Mean More Than You May Think (& Raleigh Local Supplements For Nc Teachers Caswell county schools, clay county schools, graham county schools, and swain county schools. In addition to the state salary, a. In north carolina, teachers are paid according to a base monthly salary schedule that increases based on years of experience. Through the appropriations act of 2021, the north carolina general assembly created a recurring. Nc department of public instruction lea. Local Supplements For Nc Teachers.
From caffeinatedrage.com
How Local Supplements For Teachers Are Propagandized By Raleigh Local Supplements For Nc Teachers In north carolina, teachers are paid according to a base monthly salary schedule that increases based on years of experience. Nc department of public instruction lea # lea names total supplement maximum per teacher w/o benefits fy24 prc 071. Through the appropriations act of 2021, the north carolina general assembly created a recurring. Caswell county schools, clay county schools, graham. Local Supplements For Nc Teachers.
From www.johnlocke.org
DPI Average NC teacher salary hits 54,682, second highest in the Local Supplements For Nc Teachers In addition to the state salary, a. In north carolina, teachers are paid according to a base monthly salary schedule that increases based on years of experience. Through the appropriations act of 2021, the north carolina general assembly created a recurring. Nc department of public instruction lea # lea names total supplement maximum per teacher w/o benefits fy24 prc 071.. Local Supplements For Nc Teachers.
From kellibdulcinea.pages.dev
Nc Teacher Salary 2025 Mair Angelita Local Supplements For Nc Teachers Through the appropriations act of 2021, the north carolina general assembly created a recurring. In addition to the state salary, a. Caswell county schools, clay county schools, graham county schools, and swain county schools. Nc department of public instruction lea # lea names total supplement maximum per teacher w/o benefits fy24 prc 071. In north carolina, teachers are paid according. Local Supplements For Nc Teachers.
From www.ednc.org
What the hell is a local supplement and why it matters to teachers Local Supplements For Nc Teachers Nc department of public instruction lea # lea names total supplement maximum per teacher w/o benefits fy24 prc 071. In north carolina, teachers are paid according to a base monthly salary schedule that increases based on years of experience. Caswell county schools, clay county schools, graham county schools, and swain county schools. Through the appropriations act of 2021, the north. Local Supplements For Nc Teachers.
From www.supplementtiming.com
Top 10 Best Supplements for Teachers Supplement Timing Local Supplements For Nc Teachers Nc department of public instruction lea # lea names total supplement maximum per teacher w/o benefits fy24 prc 071. In north carolina, teachers are paid according to a base monthly salary schedule that increases based on years of experience. In addition to the state salary, a. Through the appropriations act of 2021, the north carolina general assembly created a recurring.. Local Supplements For Nc Teachers.
From www.dpsnc.net
Budget / Educator Salary Supplements Local Supplements For Nc Teachers In north carolina, teachers are paid according to a base monthly salary schedule that increases based on years of experience. In addition to the state salary, a. Through the appropriations act of 2021, the north carolina general assembly created a recurring. Caswell county schools, clay county schools, graham county schools, and swain county schools. Nc department of public instruction lea. Local Supplements For Nc Teachers.
From www.yelp.com
NUTRIMAX PERFORMANCE NUTRITION Updated May 2024 2819 Hull Rd Local Supplements For Nc Teachers Through the appropriations act of 2021, the north carolina general assembly created a recurring. In addition to the state salary, a. Nc department of public instruction lea # lea names total supplement maximum per teacher w/o benefits fy24 prc 071. Caswell county schools, clay county schools, graham county schools, and swain county schools. In north carolina, teachers are paid according. Local Supplements For Nc Teachers.
From alamancenews.com
County’s rank for teacher supplement drops from 13 to 22 prior to Local Supplements For Nc Teachers In addition to the state salary, a. Through the appropriations act of 2021, the north carolina general assembly created a recurring. In north carolina, teachers are paid according to a base monthly salary schedule that increases based on years of experience. Caswell county schools, clay county schools, graham county schools, and swain county schools. Nc department of public instruction lea. Local Supplements For Nc Teachers.
From bestnc.org
Best Practices in Teacher Pay FrontLoading Base Pay to Provide a Local Supplements For Nc Teachers Nc department of public instruction lea # lea names total supplement maximum per teacher w/o benefits fy24 prc 071. Through the appropriations act of 2021, the north carolina general assembly created a recurring. In north carolina, teachers are paid according to a base monthly salary schedule that increases based on years of experience. Caswell county schools, clay county schools, graham. Local Supplements For Nc Teachers.
From www.whqr.org
The question of Master's pay for North Carolina teachers WHQR Local Supplements For Nc Teachers Nc department of public instruction lea # lea names total supplement maximum per teacher w/o benefits fy24 prc 071. Through the appropriations act of 2021, the north carolina general assembly created a recurring. In addition to the state salary, a. Caswell county schools, clay county schools, graham county schools, and swain county schools. In north carolina, teachers are paid according. Local Supplements For Nc Teachers.
From www.slideshare.net
County teacher supplement Local Supplements For Nc Teachers Caswell county schools, clay county schools, graham county schools, and swain county schools. Through the appropriations act of 2021, the north carolina general assembly created a recurring. In addition to the state salary, a. Nc department of public instruction lea # lea names total supplement maximum per teacher w/o benefits fy24 prc 071. In north carolina, teachers are paid according. Local Supplements For Nc Teachers.
From www.time4learning.com
Unit Study Supplement North Carolina Facts, U.S. 12th State Local Supplements For Nc Teachers Through the appropriations act of 2021, the north carolina general assembly created a recurring. In north carolina, teachers are paid according to a base monthly salary schedule that increases based on years of experience. In addition to the state salary, a. Caswell county schools, clay county schools, graham county schools, and swain county schools. Nc department of public instruction lea. Local Supplements For Nc Teachers.
From www.martinschools.org
District Announces Recognition Supplements to Encourage TopPerforming Local Supplements For Nc Teachers Through the appropriations act of 2021, the north carolina general assembly created a recurring. In addition to the state salary, a. Caswell county schools, clay county schools, graham county schools, and swain county schools. In north carolina, teachers are paid according to a base monthly salary schedule that increases based on years of experience. Nc department of public instruction lea. Local Supplements For Nc Teachers.
From www.caddoschools.org
Caddo board approves 1,000 backtoschool supplement for teachers Local Supplements For Nc Teachers Caswell county schools, clay county schools, graham county schools, and swain county schools. In addition to the state salary, a. Through the appropriations act of 2021, the north carolina general assembly created a recurring. Nc department of public instruction lea # lea names total supplement maximum per teacher w/o benefits fy24 prc 071. In north carolina, teachers are paid according. Local Supplements For Nc Teachers.
From independenttribune.com
Teacher Supplements a key point again going into CCS budget approval Local Supplements For Nc Teachers Nc department of public instruction lea # lea names total supplement maximum per teacher w/o benefits fy24 prc 071. In north carolina, teachers are paid according to a base monthly salary schedule that increases based on years of experience. Through the appropriations act of 2021, the north carolina general assembly created a recurring. Caswell county schools, clay county schools, graham. Local Supplements For Nc Teachers.
From www.youtube.com
TOP 6 VITAMINS TO INCREASE STUDENT BRAIN POWER AND FOCUS student Local Supplements For Nc Teachers In north carolina, teachers are paid according to a base monthly salary schedule that increases based on years of experience. Caswell county schools, clay county schools, graham county schools, and swain county schools. Through the appropriations act of 2021, the north carolina general assembly created a recurring. Nc department of public instruction lea # lea names total supplement maximum per. Local Supplements For Nc Teachers.
From www.corenutrition.ca
Core Nutrition Supplements & Nutrition Experts, Penticton, BC Local Supplements For Nc Teachers Caswell county schools, clay county schools, graham county schools, and swain county schools. In addition to the state salary, a. Nc department of public instruction lea # lea names total supplement maximum per teacher w/o benefits fy24 prc 071. Through the appropriations act of 2021, the north carolina general assembly created a recurring. In north carolina, teachers are paid according. Local Supplements For Nc Teachers.
From www.flipsnack.com
NC2017 Supplement Aisle SRP by Nutraceutical Flipsnack Local Supplements For Nc Teachers Nc department of public instruction lea # lea names total supplement maximum per teacher w/o benefits fy24 prc 071. In addition to the state salary, a. Through the appropriations act of 2021, the north carolina general assembly created a recurring. In north carolina, teachers are paid according to a base monthly salary schedule that increases based on years of experience.. Local Supplements For Nc Teachers.
From hxemuypkh.blob.core.windows.net
Nc Teacher Salary By Year at Jane Collins blog Local Supplements For Nc Teachers In addition to the state salary, a. Nc department of public instruction lea # lea names total supplement maximum per teacher w/o benefits fy24 prc 071. Caswell county schools, clay county schools, graham county schools, and swain county schools. In north carolina, teachers are paid according to a base monthly salary schedule that increases based on years of experience. Through. Local Supplements For Nc Teachers.
From www.facebook.com
Facebook Local Supplements For Nc Teachers In addition to the state salary, a. Nc department of public instruction lea # lea names total supplement maximum per teacher w/o benefits fy24 prc 071. Caswell county schools, clay county schools, graham county schools, and swain county schools. Through the appropriations act of 2021, the north carolina general assembly created a recurring. In north carolina, teachers are paid according. Local Supplements For Nc Teachers.
From shopmushluv.com
Golden Teacher Capsules 3g Mush Luv Local Supplements For Nc Teachers Nc department of public instruction lea # lea names total supplement maximum per teacher w/o benefits fy24 prc 071. Caswell county schools, clay county schools, graham county schools, and swain county schools. Through the appropriations act of 2021, the north carolina general assembly created a recurring. In addition to the state salary, a. In north carolina, teachers are paid according. Local Supplements For Nc Teachers.
From sg.everydayonsales.com
13 Sep 2021 Onward Holistic Way Local Health Supplement Brand Local Supplements For Nc Teachers In addition to the state salary, a. Caswell county schools, clay county schools, graham county schools, and swain county schools. In north carolina, teachers are paid according to a base monthly salary schedule that increases based on years of experience. Through the appropriations act of 2021, the north carolina general assembly created a recurring. Nc department of public instruction lea. Local Supplements For Nc Teachers.