Line Equation Multivariable . Watch a lecture video clip and read board notes. In this section discuss how the gradient vector can be used to find tangent planes to a much more general function than in the. Linear, nonlinear, inequalities or general constraints. In this session you will: Zero slope, or a horizontal line, will simply have a slope of zero. Multiple linear regression is a regression model that estimates the relationship between a quantitative dependent variable and two or more independent variables using a. Read some notes and review an example. In this section we will derive the vector form and parametric form for the equation of lines in three dimensional space. Free systems of equations calculator helps you solve sets of two or more equations.
        
         
         
        from www.youtube.com 
     
        
        Zero slope, or a horizontal line, will simply have a slope of zero. Watch a lecture video clip and read board notes. Linear, nonlinear, inequalities or general constraints. In this section discuss how the gradient vector can be used to find tangent planes to a much more general function than in the. In this session you will: In this section we will derive the vector form and parametric form for the equation of lines in three dimensional space. Read some notes and review an example. Free systems of equations calculator helps you solve sets of two or more equations. Multiple linear regression is a regression model that estimates the relationship between a quantitative dependent variable and two or more independent variables using a.
    
    	
            
	
		 
	 
         
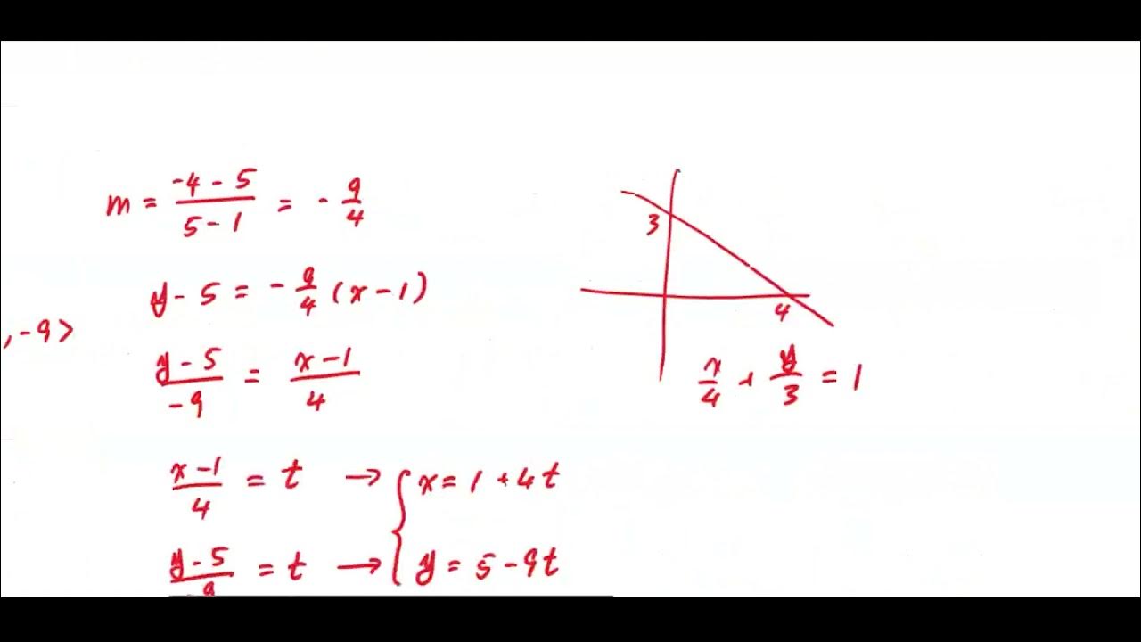
    Multivariable Calculus Parametrization of Different Curves YouTube 
    Line Equation Multivariable  Read some notes and review an example. Read some notes and review an example. In this session you will: Linear, nonlinear, inequalities or general constraints. Multiple linear regression is a regression model that estimates the relationship between a quantitative dependent variable and two or more independent variables using a. Watch a lecture video clip and read board notes. In this section discuss how the gradient vector can be used to find tangent planes to a much more general function than in the. In this section we will derive the vector form and parametric form for the equation of lines in three dimensional space. Zero slope, or a horizontal line, will simply have a slope of zero. Free systems of equations calculator helps you solve sets of two or more equations.
            
	
		 
	 
         
 
    
         
        From ocw.mit.edu 
                    Session 59 Example Line Integrals for Work 7 Multivariable Calculus Line Equation Multivariable  In this section discuss how the gradient vector can be used to find tangent planes to a much more general function than in the. Zero slope, or a horizontal line, will simply have a slope of zero. In this section we will derive the vector form and parametric form for the equation of lines in three dimensional space. Linear, nonlinear,. Line Equation Multivariable.
     
    
         
        From www.youtube.com 
                    The Vector Equation of Lines Multivariable Calculus YouTube Line Equation Multivariable  Watch a lecture video clip and read board notes. In this section discuss how the gradient vector can be used to find tangent planes to a much more general function than in the. Zero slope, or a horizontal line, will simply have a slope of zero. Read some notes and review an example. In this section we will derive the. Line Equation Multivariable.
     
    
         
        From www.youtube.com 
                    Multivariable Calculus, Part 3 (Parametric equations for straightline Line Equation Multivariable  Read some notes and review an example. Watch a lecture video clip and read board notes. Linear, nonlinear, inequalities or general constraints. Free systems of equations calculator helps you solve sets of two or more equations. In this section we will derive the vector form and parametric form for the equation of lines in three dimensional space. Zero slope, or. Line Equation Multivariable.
     
    
         
        From www.chegg.com 
                    Solved 11. Find equation of a multivariable linear Line Equation Multivariable  Free systems of equations calculator helps you solve sets of two or more equations. Zero slope, or a horizontal line, will simply have a slope of zero. In this section we will derive the vector form and parametric form for the equation of lines in three dimensional space. Linear, nonlinear, inequalities or general constraints. Watch a lecture video clip and. Line Equation Multivariable.
     
    
         
        From www.youtube.com 
                    [Multivariable Calculus] Equations of Lines in Three Dimensional Space Line Equation Multivariable  Read some notes and review an example. Free systems of equations calculator helps you solve sets of two or more equations. Zero slope, or a horizontal line, will simply have a slope of zero. Multiple linear regression is a regression model that estimates the relationship between a quantitative dependent variable and two or more independent variables using a. Linear, nonlinear,. Line Equation Multivariable.
     
    
         
        From www.wikihow.com 
                    3 Ways to Solve Multivariable Linear Equations in Algebra Line Equation Multivariable  Multiple linear regression is a regression model that estimates the relationship between a quantitative dependent variable and two or more independent variables using a. In this section we will derive the vector form and parametric form for the equation of lines in three dimensional space. Zero slope, or a horizontal line, will simply have a slope of zero. In this. Line Equation Multivariable.
     
    
         
        From www.youtube.com 
                    Vector Equation of a Plane and General Form, Multivariable Calculus Line Equation Multivariable  Linear, nonlinear, inequalities or general constraints. In this section we will derive the vector form and parametric form for the equation of lines in three dimensional space. In this section discuss how the gradient vector can be used to find tangent planes to a much more general function than in the. Read some notes and review an example. Watch a. Line Equation Multivariable.
     
    
         
        From www.wikihow.com 
                    3 Ways to Solve Multivariable Linear Equations in Algebra Line Equation Multivariable  In this session you will: In this section discuss how the gradient vector can be used to find tangent planes to a much more general function than in the. Linear, nonlinear, inequalities or general constraints. In this section we will derive the vector form and parametric form for the equation of lines in three dimensional space. Read some notes and. Line Equation Multivariable.
     
    
         
        From www.wikihow.com 
                    3 Ways to Solve Multivariable Linear Equations in Algebra Line Equation Multivariable  In this section we will derive the vector form and parametric form for the equation of lines in three dimensional space. In this section discuss how the gradient vector can be used to find tangent planes to a much more general function than in the. Zero slope, or a horizontal line, will simply have a slope of zero. Read some. Line Equation Multivariable.
     
    
         
        From www.youtube.com 
                    Find the Linear Approximation to the Multivariable Function Using the Line Equation Multivariable  In this session you will: Read some notes and review an example. Linear, nonlinear, inequalities or general constraints. In this section discuss how the gradient vector can be used to find tangent planes to a much more general function than in the. Watch a lecture video clip and read board notes. Multiple linear regression is a regression model that estimates. Line Equation Multivariable.
     
    
         
        From www.wikihow.com 
                    3 Ways to Solve Multivariable Linear Equations in Algebra Line Equation Multivariable  Watch a lecture video clip and read board notes. Zero slope, or a horizontal line, will simply have a slope of zero. In this section discuss how the gradient vector can be used to find tangent planes to a much more general function than in the. In this section we will derive the vector form and parametric form for the. Line Equation Multivariable.
     
    
         
        From www.slideserve.com 
                    PPT Multivariable Linearization PowerPoint Presentation, free Line Equation Multivariable  Free systems of equations calculator helps you solve sets of two or more equations. Zero slope, or a horizontal line, will simply have a slope of zero. In this section we will derive the vector form and parametric form for the equation of lines in three dimensional space. Watch a lecture video clip and read board notes. In this section. Line Equation Multivariable.
     
    
         
        From www.youtube.com 
                    Multivariable Calculus Three equations for a line. YouTube Line Equation Multivariable  Free systems of equations calculator helps you solve sets of two or more equations. In this session you will: Linear, nonlinear, inequalities or general constraints. Zero slope, or a horizontal line, will simply have a slope of zero. Watch a lecture video clip and read board notes. In this section we will derive the vector form and parametric form for. Line Equation Multivariable.
     
    
         
        From www.youtube.com 
                    multivariable equations YouTube Line Equation Multivariable  In this section we will derive the vector form and parametric form for the equation of lines in three dimensional space. Read some notes and review an example. Multiple linear regression is a regression model that estimates the relationship between a quantitative dependent variable and two or more independent variables using a. Zero slope, or a horizontal line, will simply. Line Equation Multivariable.
     
    
         
        From www.youtube.com 
                    How to solve a neat Multivariable Equation YouTube Line Equation Multivariable  Multiple linear regression is a regression model that estimates the relationship between a quantitative dependent variable and two or more independent variables using a. Linear, nonlinear, inequalities or general constraints. In this section discuss how the gradient vector can be used to find tangent planes to a much more general function than in the. Watch a lecture video clip and. Line Equation Multivariable.
     
    
         
        From www.youtube.com 
                    Linearization of a multivariable function Vector Calculus YouTube Line Equation Multivariable  Free systems of equations calculator helps you solve sets of two or more equations. Multiple linear regression is a regression model that estimates the relationship between a quantitative dependent variable and two or more independent variables using a. In this session you will: Read some notes and review an example. Zero slope, or a horizontal line, will simply have a. Line Equation Multivariable.
     
    
         
        From www.wikihow.com 
                    3 Ways to Solve Multivariable Linear Equations in Algebra Line Equation Multivariable  Free systems of equations calculator helps you solve sets of two or more equations. Multiple linear regression is a regression model that estimates the relationship between a quantitative dependent variable and two or more independent variables using a. Read some notes and review an example. Watch a lecture video clip and read board notes. Linear, nonlinear, inequalities or general constraints.. Line Equation Multivariable.
     
    
         
        From www.youtube.com 
                    Solving Multivariable Equations YouTube Line Equation Multivariable  In this section we will derive the vector form and parametric form for the equation of lines in three dimensional space. In this section discuss how the gradient vector can be used to find tangent planes to a much more general function than in the. Read some notes and review an example. Watch a lecture video clip and read board. Line Equation Multivariable.
     
    
         
        From www.youtube.com 
                    61 Multivariable Linear Systems Video YouTube Line Equation Multivariable  Zero slope, or a horizontal line, will simply have a slope of zero. Free systems of equations calculator helps you solve sets of two or more equations. Multiple linear regression is a regression model that estimates the relationship between a quantitative dependent variable and two or more independent variables using a. Read some notes and review an example. Linear, nonlinear,. Line Equation Multivariable.
     
    
         
        From humanunsupervised.github.io 
                    [L2] Linear Regression (Multivariate). Cost Function. Hypothesis. Gradient Line Equation Multivariable  Watch a lecture video clip and read board notes. Multiple linear regression is a regression model that estimates the relationship between a quantitative dependent variable and two or more independent variables using a. In this section we will derive the vector form and parametric form for the equation of lines in three dimensional space. Read some notes and review an. Line Equation Multivariable.
     
    
         
        From www.youtube.com 
                    Multivariable calculus 2.2.7 Linear approximation of functions of two Line Equation Multivariable  Zero slope, or a horizontal line, will simply have a slope of zero. In this section we will derive the vector form and parametric form for the equation of lines in three dimensional space. Watch a lecture video clip and read board notes. In this session you will: Linear, nonlinear, inequalities or general constraints. Free systems of equations calculator helps. Line Equation Multivariable.
     
    
         
        From www.youtube.com 
                    Multivariable Calculus Parametrization of Different Curves YouTube Line Equation Multivariable  Free systems of equations calculator helps you solve sets of two or more equations. In this section discuss how the gradient vector can be used to find tangent planes to a much more general function than in the. In this section we will derive the vector form and parametric form for the equation of lines in three dimensional space. Zero. Line Equation Multivariable.
     
    
         
        From www.youtube.com 
                    Vector Equation of a Line, Multivariable Calculus YouTube Line Equation Multivariable  In this section we will derive the vector form and parametric form for the equation of lines in three dimensional space. Multiple linear regression is a regression model that estimates the relationship between a quantitative dependent variable and two or more independent variables using a. In this session you will: Free systems of equations calculator helps you solve sets of. Line Equation Multivariable.
     
    
         
        From www.youtube.com 
                    Multivariable Calculus Intro to Line Integrals YouTube Line Equation Multivariable  In this session you will: Free systems of equations calculator helps you solve sets of two or more equations. Zero slope, or a horizontal line, will simply have a slope of zero. In this section we will derive the vector form and parametric form for the equation of lines in three dimensional space. Watch a lecture video clip and read. Line Equation Multivariable.
     
    
         
        From www.ck12.org 
                    Solving Multivariable Linear Systems Overview ( Video Line Equation Multivariable  Multiple linear regression is a regression model that estimates the relationship between a quantitative dependent variable and two or more independent variables using a. Read some notes and review an example. Linear, nonlinear, inequalities or general constraints. In this section we will derive the vector form and parametric form for the equation of lines in three dimensional space. Free systems. Line Equation Multivariable.
     
    
         
        From www.slideserve.com 
                    PPT MATH23 MULTIVARIABLE CALCULUS PowerPoint Presentation, free Line Equation Multivariable  Multiple linear regression is a regression model that estimates the relationship between a quantitative dependent variable and two or more independent variables using a. Watch a lecture video clip and read board notes. Free systems of equations calculator helps you solve sets of two or more equations. Linear, nonlinear, inequalities or general constraints. In this section discuss how the gradient. Line Equation Multivariable.
     
    
         
        From www.wikihow.com 
                    3 Ways to Solve Multivariable Linear Equations in Algebra Line Equation Multivariable  In this section we will derive the vector form and parametric form for the equation of lines in three dimensional space. Linear, nonlinear, inequalities or general constraints. Free systems of equations calculator helps you solve sets of two or more equations. Multiple linear regression is a regression model that estimates the relationship between a quantitative dependent variable and two or. Line Equation Multivariable.
     
    
         
        From www.youtube.com 
                    Multivariable Calculus 13 5 Equation of 3D Line YouTube Line Equation Multivariable  Watch a lecture video clip and read board notes. Zero slope, or a horizontal line, will simply have a slope of zero. Read some notes and review an example. In this section we will derive the vector form and parametric form for the equation of lines in three dimensional space. Linear, nonlinear, inequalities or general constraints. Free systems of equations. Line Equation Multivariable.
     
    
         
        From www.youtube.com 
                    Multivariable calculus 4.1.8 Examples of line integrals of vector Line Equation Multivariable  Watch a lecture video clip and read board notes. Linear, nonlinear, inequalities or general constraints. Multiple linear regression is a regression model that estimates the relationship between a quantitative dependent variable and two or more independent variables using a. Read some notes and review an example. Zero slope, or a horizontal line, will simply have a slope of zero. Free. Line Equation Multivariable.
     
    
         
        From jtipton25.github.io 
                    Multivariable Mathematics for Data Science 4 Linear Systems of Equations Line Equation Multivariable  Watch a lecture video clip and read board notes. Linear, nonlinear, inequalities or general constraints. In this section we will derive the vector form and parametric form for the equation of lines in three dimensional space. In this section discuss how the gradient vector can be used to find tangent planes to a much more general function than in the.. Line Equation Multivariable.
     
    
         
        From www.wikihow.com 
                    3 Ways to Solve Multivariable Linear Equations in Algebra Line Equation Multivariable  Watch a lecture video clip and read board notes. Read some notes and review an example. In this section discuss how the gradient vector can be used to find tangent planes to a much more general function than in the. Zero slope, or a horizontal line, will simply have a slope of zero. Linear, nonlinear, inequalities or general constraints. Free. Line Equation Multivariable.
     
    
         
        From math.wonderhowto.com 
                    How to Solve multivariable linear equations « Math WonderHowTo Line Equation Multivariable  Watch a lecture video clip and read board notes. Zero slope, or a horizontal line, will simply have a slope of zero. Linear, nonlinear, inequalities or general constraints. In this session you will: Free systems of equations calculator helps you solve sets of two or more equations. Read some notes and review an example. In this section we will derive. Line Equation Multivariable.
     
    
         
        From www.chegg.com 
                    Solved 11. Find equation of a multivariable linear Line Equation Multivariable  In this session you will: In this section we will derive the vector form and parametric form for the equation of lines in three dimensional space. Read some notes and review an example. In this section discuss how the gradient vector can be used to find tangent planes to a much more general function than in the. Watch a lecture. Line Equation Multivariable.
     
    
         
        From www.wikihow.com 
                    3 Ways to Solve Multivariable Linear Equations in Algebra Line Equation Multivariable  Free systems of equations calculator helps you solve sets of two or more equations. In this session you will: Read some notes and review an example. In this section discuss how the gradient vector can be used to find tangent planes to a much more general function than in the. Zero slope, or a horizontal line, will simply have a. Line Equation Multivariable.
     
    
         
        From www.youtube.com 
                    Multivariable Calculus Fundamental Theorem of Line Integrals YouTube Line Equation Multivariable  In this section discuss how the gradient vector can be used to find tangent planes to a much more general function than in the. In this session you will: In this section we will derive the vector form and parametric form for the equation of lines in three dimensional space. Free systems of equations calculator helps you solve sets of. Line Equation Multivariable.