Cesium 133 Frequency . atomic cesium is employed in the world’s time standard, the cesium clock. atomic clock, type of clock that uses certain resonance frequencies of atoms (usually cesium or rubidium) to keep time with extreme accuracy. To turn the cesium atomic resonance into an atomic clock, it. in a collaboration between essen and markowitz, the relative durations of the astronomical and atomic (cesium). in a collaboration between essen and markowitz, the relative durations of the astronomical and atomic (cesium). cesium 133 is the element most commonly chosen for atomic clocks. The microwave spectral line emitted by the. The electronic components of atomic clocks are regulated by the frequency of the microwave electromagnetic radiation. The current time standard for the united states is a cesium atomic frequency standard at the national.
from www.alamy.com
cesium 133 is the element most commonly chosen for atomic clocks. in a collaboration between essen and markowitz, the relative durations of the astronomical and atomic (cesium). atomic clock, type of clock that uses certain resonance frequencies of atoms (usually cesium or rubidium) to keep time with extreme accuracy. To turn the cesium atomic resonance into an atomic clock, it. in a collaboration between essen and markowitz, the relative durations of the astronomical and atomic (cesium). The current time standard for the united states is a cesium atomic frequency standard at the national. The electronic components of atomic clocks are regulated by the frequency of the microwave electromagnetic radiation. The microwave spectral line emitted by the. atomic cesium is employed in the world’s time standard, the cesium clock.
Caesium (Cs). Diagram of the nuclear composition and electron
Cesium 133 Frequency in a collaboration between essen and markowitz, the relative durations of the astronomical and atomic (cesium). To turn the cesium atomic resonance into an atomic clock, it. cesium 133 is the element most commonly chosen for atomic clocks. in a collaboration between essen and markowitz, the relative durations of the astronomical and atomic (cesium). atomic cesium is employed in the world’s time standard, the cesium clock. atomic clock, type of clock that uses certain resonance frequencies of atoms (usually cesium or rubidium) to keep time with extreme accuracy. The microwave spectral line emitted by the. in a collaboration between essen and markowitz, the relative durations of the astronomical and atomic (cesium). The electronic components of atomic clocks are regulated by the frequency of the microwave electromagnetic radiation. The current time standard for the united states is a cesium atomic frequency standard at the national.
From www.chegg.com
Solved What is the threshold frequency ν0 of cesium? Express Cesium 133 Frequency atomic cesium is employed in the world’s time standard, the cesium clock. To turn the cesium atomic resonance into an atomic clock, it. The current time standard for the united states is a cesium atomic frequency standard at the national. in a collaboration between essen and markowitz, the relative durations of the astronomical and atomic (cesium). cesium. Cesium 133 Frequency.
From www.alamy.com
Caesium (Cs). Diagram of the nuclear composition and electron Cesium 133 Frequency atomic clock, type of clock that uses certain resonance frequencies of atoms (usually cesium or rubidium) to keep time with extreme accuracy. in a collaboration between essen and markowitz, the relative durations of the astronomical and atomic (cesium). cesium 133 is the element most commonly chosen for atomic clocks. To turn the cesium atomic resonance into an. Cesium 133 Frequency.
From images-of-elements.com
Chemical Elements Caesium Cesium 133 Frequency The microwave spectral line emitted by the. To turn the cesium atomic resonance into an atomic clock, it. in a collaboration between essen and markowitz, the relative durations of the astronomical and atomic (cesium). cesium 133 is the element most commonly chosen for atomic clocks. The electronic components of atomic clocks are regulated by the frequency of the. Cesium 133 Frequency.
From www.chemistrylearner.com
Cesium Facts, Symbol, Discovery, Properties, Uses Cesium 133 Frequency cesium 133 is the element most commonly chosen for atomic clocks. in a collaboration between essen and markowitz, the relative durations of the astronomical and atomic (cesium). atomic clock, type of clock that uses certain resonance frequencies of atoms (usually cesium or rubidium) to keep time with extreme accuracy. To turn the cesium atomic resonance into an. Cesium 133 Frequency.
From timeandnavigation.si.edu
Cesium Frequency Standard Time and Navigation Cesium 133 Frequency atomic cesium is employed in the world’s time standard, the cesium clock. atomic clock, type of clock that uses certain resonance frequencies of atoms (usually cesium or rubidium) to keep time with extreme accuracy. cesium 133 is the element most commonly chosen for atomic clocks. To turn the cesium atomic resonance into an atomic clock, it. . Cesium 133 Frequency.
From hxehyreba.blob.core.windows.net
How Accurate Are Atomic Clock Watches at Richard Hilton blog Cesium 133 Frequency The electronic components of atomic clocks are regulated by the frequency of the microwave electromagnetic radiation. atomic cesium is employed in the world’s time standard, the cesium clock. atomic clock, type of clock that uses certain resonance frequencies of atoms (usually cesium or rubidium) to keep time with extreme accuracy. To turn the cesium atomic resonance into an. Cesium 133 Frequency.
From institute-rare-earth-elements.com
Cesium 133 Cs133 isotope Institute for Rare Earths and Metals Cesium 133 Frequency atomic cesium is employed in the world’s time standard, the cesium clock. cesium 133 is the element most commonly chosen for atomic clocks. To turn the cesium atomic resonance into an atomic clock, it. The electronic components of atomic clocks are regulated by the frequency of the microwave electromagnetic radiation. in a collaboration between essen and markowitz,. Cesium 133 Frequency.
From sciencenotes.org
Cesium Facts Caesium or Cs Cesium 133 Frequency The electronic components of atomic clocks are regulated by the frequency of the microwave electromagnetic radiation. The microwave spectral line emitted by the. in a collaboration between essen and markowitz, the relative durations of the astronomical and atomic (cesium). in a collaboration between essen and markowitz, the relative durations of the astronomical and atomic (cesium). atomic clock,. Cesium 133 Frequency.
From www.researchgate.net
A, The energy levels of cesium‐133. Only laser is used to irradiate the Cesium 133 Frequency in a collaboration between essen and markowitz, the relative durations of the astronomical and atomic (cesium). The microwave spectral line emitted by the. cesium 133 is the element most commonly chosen for atomic clocks. atomic cesium is employed in the world’s time standard, the cesium clock. To turn the cesium atomic resonance into an atomic clock, it.. Cesium 133 Frequency.
From www.mdpi.com
Applied Sciences Free FullText Precise Measurement of Hyperfine Cesium 133 Frequency To turn the cesium atomic resonance into an atomic clock, it. atomic cesium is employed in the world’s time standard, the cesium clock. in a collaboration between essen and markowitz, the relative durations of the astronomical and atomic (cesium). The microwave spectral line emitted by the. atomic clock, type of clock that uses certain resonance frequencies of. Cesium 133 Frequency.
From allradioactive.com
Radioactive Cesium 137 allRadioactive Cesium 133 Frequency To turn the cesium atomic resonance into an atomic clock, it. atomic clock, type of clock that uses certain resonance frequencies of atoms (usually cesium or rubidium) to keep time with extreme accuracy. in a collaboration between essen and markowitz, the relative durations of the astronomical and atomic (cesium). cesium 133 is the element most commonly chosen. Cesium 133 Frequency.
From timeandnavigation.si.edu
How Does the NIST7 Atomic Clock Work? Time and Navigation Cesium 133 Frequency The microwave spectral line emitted by the. in a collaboration between essen and markowitz, the relative durations of the astronomical and atomic (cesium). atomic clock, type of clock that uses certain resonance frequencies of atoms (usually cesium or rubidium) to keep time with extreme accuracy. The electronic components of atomic clocks are regulated by the frequency of the. Cesium 133 Frequency.
From www.slideserve.com
PPT NISTF1 Cesium Fountain Atomic Clock The Primary Time and Cesium 133 Frequency The microwave spectral line emitted by the. The current time standard for the united states is a cesium atomic frequency standard at the national. The electronic components of atomic clocks are regulated by the frequency of the microwave electromagnetic radiation. cesium 133 is the element most commonly chosen for atomic clocks. in a collaboration between essen and markowitz,. Cesium 133 Frequency.
From ar.inspiredpencil.com
Caesium Atomic Clock Cesium 133 Frequency The electronic components of atomic clocks are regulated by the frequency of the microwave electromagnetic radiation. To turn the cesium atomic resonance into an atomic clock, it. in a collaboration between essen and markowitz, the relative durations of the astronomical and atomic (cesium). atomic clock, type of clock that uses certain resonance frequencies of atoms (usually cesium or. Cesium 133 Frequency.
From www.slideserve.com
PPT NISTF1 Cesium Fountain Atomic Clock The Primary Time and Cesium 133 Frequency in a collaboration between essen and markowitz, the relative durations of the astronomical and atomic (cesium). cesium 133 is the element most commonly chosen for atomic clocks. The current time standard for the united states is a cesium atomic frequency standard at the national. The electronic components of atomic clocks are regulated by the frequency of the microwave. Cesium 133 Frequency.
From www.lepoint.fr
Cesium 133, une montre atomique pour être à l'heure pendant... 1 000 Cesium 133 Frequency The microwave spectral line emitted by the. The current time standard for the united states is a cesium atomic frequency standard at the national. in a collaboration between essen and markowitz, the relative durations of the astronomical and atomic (cesium). To turn the cesium atomic resonance into an atomic clock, it. in a collaboration between essen and markowitz,. Cesium 133 Frequency.
From pdfslide.net
(PDF) Cesium Beam Atomic Time and Frequency Standards · cesium 133, a Cesium 133 Frequency To turn the cesium atomic resonance into an atomic clock, it. cesium 133 is the element most commonly chosen for atomic clocks. atomic clock, type of clock that uses certain resonance frequencies of atoms (usually cesium or rubidium) to keep time with extreme accuracy. in a collaboration between essen and markowitz, the relative durations of the astronomical. Cesium 133 Frequency.
From www.numerade.com
SOLVED Cesium atomic clocks are based on the emission of microwave Cesium 133 Frequency atomic cesium is employed in the world’s time standard, the cesium clock. To turn the cesium atomic resonance into an atomic clock, it. atomic clock, type of clock that uses certain resonance frequencies of atoms (usually cesium or rubidium) to keep time with extreme accuracy. The electronic components of atomic clocks are regulated by the frequency of the. Cesium 133 Frequency.
From dxogsactf.blob.core.windows.net
Atomic Clock Use Caesium at Lorena Lillard blog Cesium 133 Frequency The microwave spectral line emitted by the. To turn the cesium atomic resonance into an atomic clock, it. atomic clock, type of clock that uses certain resonance frequencies of atoms (usually cesium or rubidium) to keep time with extreme accuracy. in a collaboration between essen and markowitz, the relative durations of the astronomical and atomic (cesium). in. Cesium 133 Frequency.
From www.semanticscholar.org
Cesium 6S1/2 →8S1/2 twophoton transition stabilized 822.5 nm diode Cesium 133 Frequency The microwave spectral line emitted by the. The electronic components of atomic clocks are regulated by the frequency of the microwave electromagnetic radiation. cesium 133 is the element most commonly chosen for atomic clocks. in a collaboration between essen and markowitz, the relative durations of the astronomical and atomic (cesium). To turn the cesium atomic resonance into an. Cesium 133 Frequency.
From brainly.in
Work function of cesium is 2.14 ev. find threshold frequency for cesium Cesium 133 Frequency cesium 133 is the element most commonly chosen for atomic clocks. The electronic components of atomic clocks are regulated by the frequency of the microwave electromagnetic radiation. atomic cesium is employed in the world’s time standard, the cesium clock. The current time standard for the united states is a cesium atomic frequency standard at the national. atomic. Cesium 133 Frequency.
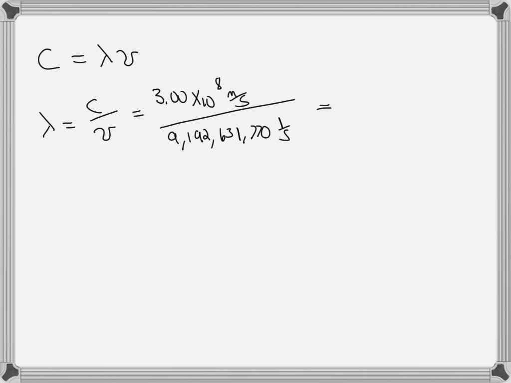
From www.numerade.com
SOLVED The second is defined as the time it takes for 9,192,631,770 Cesium 133 Frequency The microwave spectral line emitted by the. atomic clock, type of clock that uses certain resonance frequencies of atoms (usually cesium or rubidium) to keep time with extreme accuracy. The electronic components of atomic clocks are regulated by the frequency of the microwave electromagnetic radiation. To turn the cesium atomic resonance into an atomic clock, it. atomic cesium. Cesium 133 Frequency.
From momigogo.blogspot.com
Cesium 133 Atomic Clock Cesium 133 Frequency The electronic components of atomic clocks are regulated by the frequency of the microwave electromagnetic radiation. atomic clock, type of clock that uses certain resonance frequencies of atoms (usually cesium or rubidium) to keep time with extreme accuracy. To turn the cesium atomic resonance into an atomic clock, it. The microwave spectral line emitted by the. cesium 133. Cesium 133 Frequency.
From www.alamy.com
Caesium (Cs). Diagram of the nuclear composition and electron Cesium 133 Frequency The current time standard for the united states is a cesium atomic frequency standard at the national. The microwave spectral line emitted by the. To turn the cesium atomic resonance into an atomic clock, it. The electronic components of atomic clocks are regulated by the frequency of the microwave electromagnetic radiation. in a collaboration between essen and markowitz, the. Cesium 133 Frequency.
From www.researchgate.net
Energy levels of the cesium atom D2 line. The lifetime of the 133 Cs − Cesium 133 Frequency The microwave spectral line emitted by the. The current time standard for the united states is a cesium atomic frequency standard at the national. in a collaboration between essen and markowitz, the relative durations of the astronomical and atomic (cesium). The electronic components of atomic clocks are regulated by the frequency of the microwave electromagnetic radiation. atomic cesium. Cesium 133 Frequency.
From institute-rare-earth-elements.com
Cesium 133 Cs133 isotope Institute for Rare Earths and Metals Cesium 133 Frequency cesium 133 is the element most commonly chosen for atomic clocks. atomic clock, type of clock that uses certain resonance frequencies of atoms (usually cesium or rubidium) to keep time with extreme accuracy. in a collaboration between essen and markowitz, the relative durations of the astronomical and atomic (cesium). The microwave spectral line emitted by the. The. Cesium 133 Frequency.
From www.britannica.com
Cesium Description, Symbol, Uses, & Facts Britannica Cesium 133 Frequency in a collaboration between essen and markowitz, the relative durations of the astronomical and atomic (cesium). cesium 133 is the element most commonly chosen for atomic clocks. atomic cesium is employed in the world’s time standard, the cesium clock. in a collaboration between essen and markowitz, the relative durations of the astronomical and atomic (cesium). The. Cesium 133 Frequency.
From genius.com
55 Caesium Cs Periodic Table by Mister Molato Cesium 133 Frequency The microwave spectral line emitted by the. in a collaboration between essen and markowitz, the relative durations of the astronomical and atomic (cesium). The current time standard for the united states is a cesium atomic frequency standard at the national. atomic clock, type of clock that uses certain resonance frequencies of atoms (usually cesium or rubidium) to keep. Cesium 133 Frequency.
From betime.be
Time Lab The ROB's timefrequency Laboratory Cesium 133 Frequency The microwave spectral line emitted by the. cesium 133 is the element most commonly chosen for atomic clocks. atomic clock, type of clock that uses certain resonance frequencies of atoms (usually cesium or rubidium) to keep time with extreme accuracy. The electronic components of atomic clocks are regulated by the frequency of the microwave electromagnetic radiation. To turn. Cesium 133 Frequency.
From www.semanticscholar.org
Figure 2 from Cooling in an optical lattice for a caesium fountain Cesium 133 Frequency To turn the cesium atomic resonance into an atomic clock, it. The electronic components of atomic clocks are regulated by the frequency of the microwave electromagnetic radiation. The microwave spectral line emitted by the. in a collaboration between essen and markowitz, the relative durations of the astronomical and atomic (cesium). The current time standard for the united states is. Cesium 133 Frequency.
From www.i-ciencias.com
[Resuelta] atomicclocks ¿Cómo funciona el reloj atómico? Cesium 133 Frequency atomic cesium is employed in the world’s time standard, the cesium clock. in a collaboration between essen and markowitz, the relative durations of the astronomical and atomic (cesium). To turn the cesium atomic resonance into an atomic clock, it. The current time standard for the united states is a cesium atomic frequency standard at the national. atomic. Cesium 133 Frequency.
From www.microchip.com
Cesium Time and Frequency References Microchip Technology Cesium 133 Frequency atomic clock, type of clock that uses certain resonance frequencies of atoms (usually cesium or rubidium) to keep time with extreme accuracy. in a collaboration between essen and markowitz, the relative durations of the astronomical and atomic (cesium). in a collaboration between essen and markowitz, the relative durations of the astronomical and atomic (cesium). atomic cesium. Cesium 133 Frequency.
From chemicalengineeringworld.com
Caesium Element Properties and Information Chemical Engineering World Cesium 133 Frequency cesium 133 is the element most commonly chosen for atomic clocks. To turn the cesium atomic resonance into an atomic clock, it. The microwave spectral line emitted by the. The electronic components of atomic clocks are regulated by the frequency of the microwave electromagnetic radiation. The current time standard for the united states is a cesium atomic frequency standard. Cesium 133 Frequency.
From cesium.com
Cesium Traditions The Refactor Cesium Cesium 133 Frequency atomic clock, type of clock that uses certain resonance frequencies of atoms (usually cesium or rubidium) to keep time with extreme accuracy. The microwave spectral line emitted by the. The electronic components of atomic clocks are regulated by the frequency of the microwave electromagnetic radiation. in a collaboration between essen and markowitz, the relative durations of the astronomical. Cesium 133 Frequency.
From exyfcucig.blob.core.windows.net
How Accurate Are Atomic Watches at Vicente Newsome blog Cesium 133 Frequency in a collaboration between essen and markowitz, the relative durations of the astronomical and atomic (cesium). cesium 133 is the element most commonly chosen for atomic clocks. in a collaboration between essen and markowitz, the relative durations of the astronomical and atomic (cesium). The microwave spectral line emitted by the. The current time standard for the united. Cesium 133 Frequency.