Stator Coil Pitch . The distance between the two sides of an individual coil of an ac armature winding is termed the coil pitch. The stator winding pitch of a generator is a design parameter that can be used to optimise the generator waveform shape and minimise the. Each of these coil spans is five. The four coils of phase a would span between slots 1 and 6, slots 2 and 7, slots 7 and 12 and slots 8 and 1. Effect of coil pitch on ac machines.
from www.researchgate.net
Effect of coil pitch on ac machines. The stator winding pitch of a generator is a design parameter that can be used to optimise the generator waveform shape and minimise the. The four coils of phase a would span between slots 1 and 6, slots 2 and 7, slots 7 and 12 and slots 8 and 1. The distance between the two sides of an individual coil of an ac armature winding is termed the coil pitch. Each of these coil spans is five.
Regions of formwound stator coil Download Scientific Diagram
Stator Coil Pitch The stator winding pitch of a generator is a design parameter that can be used to optimise the generator waveform shape and minimise the. Effect of coil pitch on ac machines. The distance between the two sides of an individual coil of an ac armature winding is termed the coil pitch. The stator winding pitch of a generator is a design parameter that can be used to optimise the generator waveform shape and minimise the. Each of these coil spans is five. The four coils of phase a would span between slots 1 and 6, slots 2 and 7, slots 7 and 12 and slots 8 and 1.
From www.schemadigital.com
Wind Stator Wiring » Schema Digital Stator Coil Pitch The stator winding pitch of a generator is a design parameter that can be used to optimise the generator waveform shape and minimise the. The four coils of phase a would span between slots 1 and 6, slots 2 and 7, slots 7 and 12 and slots 8 and 1. Effect of coil pitch on ac machines. The distance between. Stator Coil Pitch.
From reasonablecontractor.com
36 slot 4 pole winding pdf Stator Coil Pitch Effect of coil pitch on ac machines. The stator winding pitch of a generator is a design parameter that can be used to optimise the generator waveform shape and minimise the. Each of these coil spans is five. The four coils of phase a would span between slots 1 and 6, slots 2 and 7, slots 7 and 12 and. Stator Coil Pitch.
From www.youtube.com
Three Phase Motor Stator Coil Middle Forming Machine YouTube Stator Coil Pitch Effect of coil pitch on ac machines. The distance between the two sides of an individual coil of an ac armature winding is termed the coil pitch. The stator winding pitch of a generator is a design parameter that can be used to optimise the generator waveform shape and minimise the. Each of these coil spans is five. The four. Stator Coil Pitch.
From www.chegg.com
Solved Part 3 Tutorial Q1 A 3phase, 4pole, 60 Hz, Stator Coil Pitch The distance between the two sides of an individual coil of an ac armature winding is termed the coil pitch. The four coils of phase a would span between slots 1 and 6, slots 2 and 7, slots 7 and 12 and slots 8 and 1. The stator winding pitch of a generator is a design parameter that can be. Stator Coil Pitch.
From www.researchgate.net
Simplified form of stator coil and pole. Download Scientific Diagram Stator Coil Pitch Effect of coil pitch on ac machines. The stator winding pitch of a generator is a design parameter that can be used to optimise the generator waveform shape and minimise the. The distance between the two sides of an individual coil of an ac armature winding is termed the coil pitch. Each of these coil spans is five. The four. Stator Coil Pitch.
From www.researchgate.net
Regions of formwound stator coil Download Scientific Diagram Stator Coil Pitch Each of these coil spans is five. Effect of coil pitch on ac machines. The four coils of phase a would span between slots 1 and 6, slots 2 and 7, slots 7 and 12 and slots 8 and 1. The distance between the two sides of an individual coil of an ac armature winding is termed the coil pitch.. Stator Coil Pitch.
From www.youtube.com
Stator coil identification of individual coil wires in a marine three Stator Coil Pitch The four coils of phase a would span between slots 1 and 6, slots 2 and 7, slots 7 and 12 and slots 8 and 1. The stator winding pitch of a generator is a design parameter that can be used to optimise the generator waveform shape and minimise the. Each of these coil spans is five. The distance between. Stator Coil Pitch.
From electricalgang.com
What Is Stator? Construction of Stator ElectricalGang Stator Coil Pitch The distance between the two sides of an individual coil of an ac armature winding is termed the coil pitch. Each of these coil spans is five. The stator winding pitch of a generator is a design parameter that can be used to optimise the generator waveform shape and minimise the. The four coils of phase a would span between. Stator Coil Pitch.
From www.slideshare.net
Principios de generación de voltaje Stator Coil Pitch The stator winding pitch of a generator is a design parameter that can be used to optimise the generator waveform shape and minimise the. Each of these coil spans is five. The distance between the two sides of an individual coil of an ac armature winding is termed the coil pitch. The four coils of phase a would span between. Stator Coil Pitch.
From www.emccltd.com
Stator Coils Electric Motor Coil Company Stator Coil Pitch The stator winding pitch of a generator is a design parameter that can be used to optimise the generator waveform shape and minimise the. Effect of coil pitch on ac machines. The distance between the two sides of an individual coil of an ac armature winding is termed the coil pitch. The four coils of phase a would span between. Stator Coil Pitch.
From www.semanticscholar.org
Figure 1 from Influence of Coil Pitch and StatorSlot/RotorPole Stator Coil Pitch The four coils of phase a would span between slots 1 and 6, slots 2 and 7, slots 7 and 12 and slots 8 and 1. Effect of coil pitch on ac machines. Each of these coil spans is five. The stator winding pitch of a generator is a design parameter that can be used to optimise the generator waveform. Stator Coil Pitch.
From scoraigwind.co.uk
3phase stator visualisation Hugh Piggott's blog Stator Coil Pitch The distance between the two sides of an individual coil of an ac armature winding is termed the coil pitch. The four coils of phase a would span between slots 1 and 6, slots 2 and 7, slots 7 and 12 and slots 8 and 1. Effect of coil pitch on ac machines. Each of these coil spans is five.. Stator Coil Pitch.
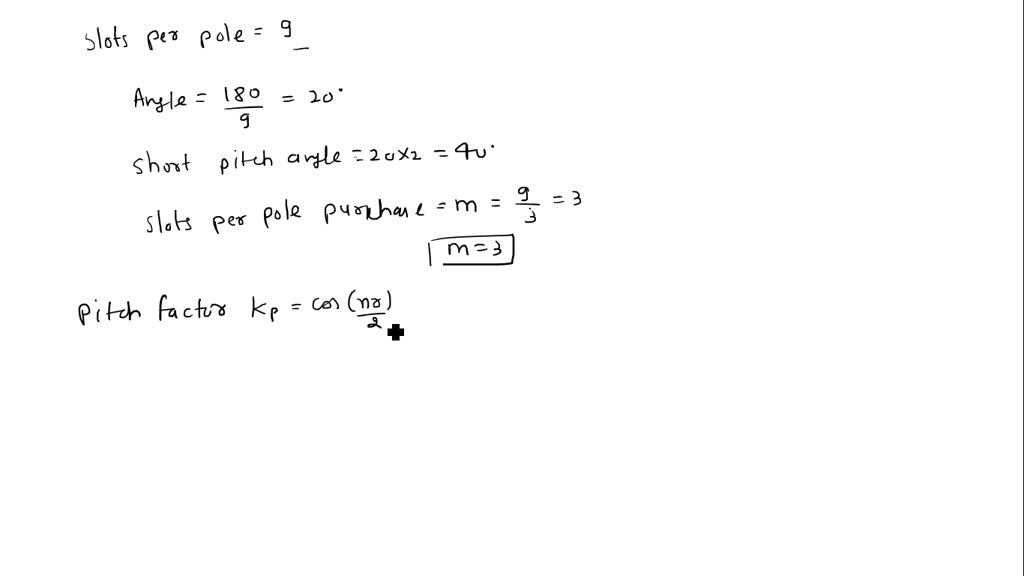
From www.numerade.com
SOLVED Calculate the pitch factor for the given windings 36 stator Stator Coil Pitch Effect of coil pitch on ac machines. Each of these coil spans is five. The distance between the two sides of an individual coil of an ac armature winding is termed the coil pitch. The four coils of phase a would span between slots 1 and 6, slots 2 and 7, slots 7 and 12 and slots 8 and 1.. Stator Coil Pitch.
From www.youtube.com
Stator Coil Types (part2) YouTube Stator Coil Pitch Each of these coil spans is five. The stator winding pitch of a generator is a design parameter that can be used to optimise the generator waveform shape and minimise the. Effect of coil pitch on ac machines. The distance between the two sides of an individual coil of an ac armature winding is termed the coil pitch. The four. Stator Coil Pitch.
From www.theengineeringknowledge.com
What is Coil Pitch and Its Effect on AC Machine The Engineering Knowledge Stator Coil Pitch Each of these coil spans is five. Effect of coil pitch on ac machines. The four coils of phase a would span between slots 1 and 6, slots 2 and 7, slots 7 and 12 and slots 8 and 1. The stator winding pitch of a generator is a design parameter that can be used to optimise the generator waveform. Stator Coil Pitch.
From circuitglobe.com
What is a Coil Span Factor? advantage of Chording Circuit Globe Stator Coil Pitch The distance between the two sides of an individual coil of an ac armature winding is termed the coil pitch. The four coils of phase a would span between slots 1 and 6, slots 2 and 7, slots 7 and 12 and slots 8 and 1. The stator winding pitch of a generator is a design parameter that can be. Stator Coil Pitch.
From www.theengineeringknowledge.com
What is Coil Pitch and Its Effect on AC Machine The Engineering Knowledge Stator Coil Pitch The four coils of phase a would span between slots 1 and 6, slots 2 and 7, slots 7 and 12 and slots 8 and 1. Effect of coil pitch on ac machines. The stator winding pitch of a generator is a design parameter that can be used to optimise the generator waveform shape and minimise the. The distance between. Stator Coil Pitch.
From s2.solveforum.com
Induction motor stator windings How does a shorter coil pitch improve Stator Coil Pitch Each of these coil spans is five. The stator winding pitch of a generator is a design parameter that can be used to optimise the generator waveform shape and minimise the. The distance between the two sides of an individual coil of an ac armature winding is termed the coil pitch. Effect of coil pitch on ac machines. The four. Stator Coil Pitch.
From www.emccltd.com
Stator Coils Electric Motor Coil Company Stator Coil Pitch The distance between the two sides of an individual coil of an ac armature winding is termed the coil pitch. The stator winding pitch of a generator is a design parameter that can be used to optimise the generator waveform shape and minimise the. Each of these coil spans is five. Effect of coil pitch on ac machines. The four. Stator Coil Pitch.
From www.lazada.com.ph
STATOR COIL MRTR XRM 110(4 WIRE) Lazada PH Stator Coil Pitch The four coils of phase a would span between slots 1 and 6, slots 2 and 7, slots 7 and 12 and slots 8 and 1. The distance between the two sides of an individual coil of an ac armature winding is termed the coil pitch. Effect of coil pitch on ac machines. Each of these coil spans is five.. Stator Coil Pitch.
From www.electricaldesks.com
What is Pitch Factor or Coil Span Factor in Alternator? Stator Coil Pitch The four coils of phase a would span between slots 1 and 6, slots 2 and 7, slots 7 and 12 and slots 8 and 1. The stator winding pitch of a generator is a design parameter that can be used to optimise the generator waveform shape and minimise the. The distance between the two sides of an individual coil. Stator Coil Pitch.
From www.youtube.com
HOW STATOR COIL CREATES ELECTRICITY YouTube Stator Coil Pitch Each of these coil spans is five. The four coils of phase a would span between slots 1 and 6, slots 2 and 7, slots 7 and 12 and slots 8 and 1. Effect of coil pitch on ac machines. The distance between the two sides of an individual coil of an ac armature winding is termed the coil pitch.. Stator Coil Pitch.
From www.quora.com
How can we determine the width of the coils of the stator of an AC Stator Coil Pitch The distance between the two sides of an individual coil of an ac armature winding is termed the coil pitch. Effect of coil pitch on ac machines. The four coils of phase a would span between slots 1 and 6, slots 2 and 7, slots 7 and 12 and slots 8 and 1. Each of these coil spans is five.. Stator Coil Pitch.
From www.researchgate.net
Stator coils and coil emf vectors. a Stator coils of 9slot/10pole in Stator Coil Pitch Effect of coil pitch on ac machines. Each of these coil spans is five. The four coils of phase a would span between slots 1 and 6, slots 2 and 7, slots 7 and 12 and slots 8 and 1. The distance between the two sides of an individual coil of an ac armature winding is termed the coil pitch.. Stator Coil Pitch.
From www.youtube.com
Full Pitch and Short Pitch Winding (Worked Example) YouTube Stator Coil Pitch Effect of coil pitch on ac machines. The stator winding pitch of a generator is a design parameter that can be used to optimise the generator waveform shape and minimise the. Each of these coil spans is five. The four coils of phase a would span between slots 1 and 6, slots 2 and 7, slots 7 and 12 and. Stator Coil Pitch.
From machineryequipmentonline.com
Stator and Coil Winding electric equipment Stator Coil Pitch The stator winding pitch of a generator is a design parameter that can be used to optimise the generator waveform shape and minimise the. Effect of coil pitch on ac machines. The four coils of phase a would span between slots 1 and 6, slots 2 and 7, slots 7 and 12 and slots 8 and 1. The distance between. Stator Coil Pitch.
From www.linearmotiontips.com
How does the number of stator phases affect stepper motor performance? Stator Coil Pitch The four coils of phase a would span between slots 1 and 6, slots 2 and 7, slots 7 and 12 and slots 8 and 1. Effect of coil pitch on ac machines. The stator winding pitch of a generator is a design parameter that can be used to optimise the generator waveform shape and minimise the. Each of these. Stator Coil Pitch.
From www.numerade.com
SOLVED The stator of a 3phase alternator has 9 slots per pole and Stator Coil Pitch Each of these coil spans is five. The stator winding pitch of a generator is a design parameter that can be used to optimise the generator waveform shape and minimise the. The four coils of phase a would span between slots 1 and 6, slots 2 and 7, slots 7 and 12 and slots 8 and 1. Effect of coil. Stator Coil Pitch.
From scoraigwind.co.uk
Stator coils fit perfectly. Hugh Piggott's blog Stator Coil Pitch Effect of coil pitch on ac machines. The four coils of phase a would span between slots 1 and 6, slots 2 and 7, slots 7 and 12 and slots 8 and 1. Each of these coil spans is five. The distance between the two sides of an individual coil of an ac armature winding is termed the coil pitch.. Stator Coil Pitch.
From www.youtube.com
STATOR COIL Wiring Diagram YouTube Stator Coil Pitch Effect of coil pitch on ac machines. The distance between the two sides of an individual coil of an ac armature winding is termed the coil pitch. Each of these coil spans is five. The four coils of phase a would span between slots 1 and 6, slots 2 and 7, slots 7 and 12 and slots 8 and 1.. Stator Coil Pitch.
From www.researchgate.net
44 Positions of the flux sensors used in the stator. The coils were Stator Coil Pitch The four coils of phase a would span between slots 1 and 6, slots 2 and 7, slots 7 and 12 and slots 8 and 1. The distance between the two sides of an individual coil of an ac armature winding is termed the coil pitch. Effect of coil pitch on ac machines. Each of these coil spans is five.. Stator Coil Pitch.
From www.semanticscholar.org
A Novel Modular 18Slot 10Pole PMSM with 9Phase UnequalCoilPitch Stator Coil Pitch The four coils of phase a would span between slots 1 and 6, slots 2 and 7, slots 7 and 12 and slots 8 and 1. Effect of coil pitch on ac machines. The stator winding pitch of a generator is a design parameter that can be used to optimise the generator waveform shape and minimise the. The distance between. Stator Coil Pitch.
From www.bluerocktools.com
40A/120D Replacement Electrical Stator / Coil BLUEROCK Tools Stator Coil Pitch The four coils of phase a would span between slots 1 and 6, slots 2 and 7, slots 7 and 12 and slots 8 and 1. The stator winding pitch of a generator is a design parameter that can be used to optimise the generator waveform shape and minimise the. Each of these coil spans is five. Effect of coil. Stator Coil Pitch.
From www.backlack.com
motor stator and rotor coil winding manufacturer Stator Coil Pitch The distance between the two sides of an individual coil of an ac armature winding is termed the coil pitch. Each of these coil spans is five. The four coils of phase a would span between slots 1 and 6, slots 2 and 7, slots 7 and 12 and slots 8 and 1. The stator winding pitch of a generator. Stator Coil Pitch.
From www.researchgate.net
1 Crosssection of a 24slot 4pole outer stator with 3phase windings Stator Coil Pitch The distance between the two sides of an individual coil of an ac armature winding is termed the coil pitch. Each of these coil spans is five. The stator winding pitch of a generator is a design parameter that can be used to optimise the generator waveform shape and minimise the. Effect of coil pitch on ac machines. The four. Stator Coil Pitch.