High School Soccer Lesson Plans . This resource is a soccer lesson plan for high school students. The lessons are detailed and. It includes 10 lessons for teaching soccer. In the full soccer pack by the pe project you will find: Create two separate soccer fields within the gym or playing area. Challenge students to develop basic soccer skills and talk about why they enjoy. Each field should be about 50 ft long by 25 ft wide. Adapted soccer unit for high school the adapted soccer unit for high school aims to further develop the skills, tactical.
from igisridi.weebly.com
Each field should be about 50 ft long by 25 ft wide. This resource is a soccer lesson plan for high school students. Adapted soccer unit for high school the adapted soccer unit for high school aims to further develop the skills, tactical. Create two separate soccer fields within the gym or playing area. Challenge students to develop basic soccer skills and talk about why they enjoy. It includes 10 lessons for teaching soccer. In the full soccer pack by the pe project you will find: The lessons are detailed and.
((TOP)) U10 Soccer Practice Plans Pdf
High School Soccer Lesson Plans Each field should be about 50 ft long by 25 ft wide. This resource is a soccer lesson plan for high school students. Create two separate soccer fields within the gym or playing area. Each field should be about 50 ft long by 25 ft wide. In the full soccer pack by the pe project you will find: The lessons are detailed and. Challenge students to develop basic soccer skills and talk about why they enjoy. It includes 10 lessons for teaching soccer. Adapted soccer unit for high school the adapted soccer unit for high school aims to further develop the skills, tactical.
From igeeksoccer.com
Tips on How to Create a Great Soccer Lesson Plan High School Soccer Lesson Plans Each field should be about 50 ft long by 25 ft wide. In the full soccer pack by the pe project you will find: Challenge students to develop basic soccer skills and talk about why they enjoy. Create two separate soccer fields within the gym or playing area. This resource is a soccer lesson plan for high school students. It. High School Soccer Lesson Plans.
From igeeksoccer.com
Tips on How to Create a Great Soccer Lesson Plan High School Soccer Lesson Plans The lessons are detailed and. Challenge students to develop basic soccer skills and talk about why they enjoy. Adapted soccer unit for high school the adapted soccer unit for high school aims to further develop the skills, tactical. It includes 10 lessons for teaching soccer. Each field should be about 50 ft long by 25 ft wide. In the full. High School Soccer Lesson Plans.
From www.soccer-training-methods.com
High School Soccer Tryouts Coming Up!! What Do I Need To Know? High School Soccer Lesson Plans This resource is a soccer lesson plan for high school students. Adapted soccer unit for high school the adapted soccer unit for high school aims to further develop the skills, tactical. Challenge students to develop basic soccer skills and talk about why they enjoy. In the full soccer pack by the pe project you will find: It includes 10 lessons. High School Soccer Lesson Plans.
From www.youtube.com
High School Soccer Lesson Plan 7 YouTube High School Soccer Lesson Plans The lessons are detailed and. This resource is a soccer lesson plan for high school students. In the full soccer pack by the pe project you will find: Each field should be about 50 ft long by 25 ft wide. Challenge students to develop basic soccer skills and talk about why they enjoy. It includes 10 lessons for teaching soccer.. High School Soccer Lesson Plans.
From lessonplanslearning.com
Soccer Lesson Plans Lesson Plans Learning High School Soccer Lesson Plans Challenge students to develop basic soccer skills and talk about why they enjoy. In the full soccer pack by the pe project you will find: It includes 10 lessons for teaching soccer. This resource is a soccer lesson plan for high school students. Each field should be about 50 ft long by 25 ft wide. The lessons are detailed and.. High School Soccer Lesson Plans.
From www.pinterest.ca
YOUTH TO PRO SOCCER Soccer practice plans, Soccer workouts, Soccer High School Soccer Lesson Plans In the full soccer pack by the pe project you will find: The lessons are detailed and. Create two separate soccer fields within the gym or playing area. Each field should be about 50 ft long by 25 ft wide. Adapted soccer unit for high school the adapted soccer unit for high school aims to further develop the skills, tactical.. High School Soccer Lesson Plans.
From www.eslprintables.com
Soccer Lesson Plan ESL worksheet by alycia High School Soccer Lesson Plans Each field should be about 50 ft long by 25 ft wide. Adapted soccer unit for high school the adapted soccer unit for high school aims to further develop the skills, tactical. Challenge students to develop basic soccer skills and talk about why they enjoy. The lessons are detailed and. It includes 10 lessons for teaching soccer. Create two separate. High School Soccer Lesson Plans.
From hamiltonplastering.com
40 soccer Practice Plan Template Hamiltonplastering High School Soccer Lesson Plans Adapted soccer unit for high school the adapted soccer unit for high school aims to further develop the skills, tactical. The lessons are detailed and. It includes 10 lessons for teaching soccer. In the full soccer pack by the pe project you will find: This resource is a soccer lesson plan for high school students. Each field should be about. High School Soccer Lesson Plans.
From igisridi.weebly.com
((TOP)) U10 Soccer Practice Plans Pdf High School Soccer Lesson Plans This resource is a soccer lesson plan for high school students. Create two separate soccer fields within the gym or playing area. Each field should be about 50 ft long by 25 ft wide. The lessons are detailed and. In the full soccer pack by the pe project you will find: Adapted soccer unit for high school the adapted soccer. High School Soccer Lesson Plans.
From www.pinterest.com
High School Soccer Lineup Sheet 11v11 4231 Soccer coaching, High High School Soccer Lesson Plans In the full soccer pack by the pe project you will find: Create two separate soccer fields within the gym or playing area. This resource is a soccer lesson plan for high school students. The lessons are detailed and. Each field should be about 50 ft long by 25 ft wide. Challenge students to develop basic soccer skills and talk. High School Soccer Lesson Plans.
From www.scribd.com
Soccer Lesson Plans PDF High School Soccer Lesson Plans The lessons are detailed and. This resource is a soccer lesson plan for high school students. It includes 10 lessons for teaching soccer. Each field should be about 50 ft long by 25 ft wide. In the full soccer pack by the pe project you will find: Challenge students to develop basic soccer skills and talk about why they enjoy.. High School Soccer Lesson Plans.
From www.vrogue.co
10 Lesson Soccer Unit Lesson Plan vrogue.co High School Soccer Lesson Plans In the full soccer pack by the pe project you will find: The lessons are detailed and. This resource is a soccer lesson plan for high school students. Challenge students to develop basic soccer skills and talk about why they enjoy. Adapted soccer unit for high school the adapted soccer unit for high school aims to further develop the skills,. High School Soccer Lesson Plans.
From www.scribd.com
lesson plan soccer middle school Lesson Plan Association Football High School Soccer Lesson Plans Challenge students to develop basic soccer skills and talk about why they enjoy. This resource is a soccer lesson plan for high school students. Create two separate soccer fields within the gym or playing area. In the full soccer pack by the pe project you will find: It includes 10 lessons for teaching soccer. The lessons are detailed and. Each. High School Soccer Lesson Plans.
From www.pinterest.co.uk
the instructions for how to play hockey in an ice rink with diagrams on High School Soccer Lesson Plans The lessons are detailed and. Adapted soccer unit for high school the adapted soccer unit for high school aims to further develop the skills, tactical. It includes 10 lessons for teaching soccer. Each field should be about 50 ft long by 25 ft wide. In the full soccer pack by the pe project you will find: This resource is a. High School Soccer Lesson Plans.
From hamiltonplastering.com
40 soccer Practice Plan Template Hamiltonplastering High School Soccer Lesson Plans This resource is a soccer lesson plan for high school students. The lessons are detailed and. Challenge students to develop basic soccer skills and talk about why they enjoy. Each field should be about 50 ft long by 25 ft wide. Create two separate soccer fields within the gym or playing area. Adapted soccer unit for high school the adapted. High School Soccer Lesson Plans.
From www.vrogue.co
10 Lesson Soccer Unit Lesson Plan vrogue.co High School Soccer Lesson Plans In the full soccer pack by the pe project you will find: The lessons are detailed and. This resource is a soccer lesson plan for high school students. Each field should be about 50 ft long by 25 ft wide. Create two separate soccer fields within the gym or playing area. Challenge students to develop basic soccer skills and talk. High School Soccer Lesson Plans.
From quizzlistleon.z13.web.core.windows.net
Soccer Session Plan Template High School Soccer Lesson Plans Adapted soccer unit for high school the adapted soccer unit for high school aims to further develop the skills, tactical. Each field should be about 50 ft long by 25 ft wide. It includes 10 lessons for teaching soccer. This resource is a soccer lesson plan for high school students. In the full soccer pack by the pe project you. High School Soccer Lesson Plans.
From www.scribd.com
US Soccer Practice Plan Template High School Soccer Lesson Plans Adapted soccer unit for high school the adapted soccer unit for high school aims to further develop the skills, tactical. In the full soccer pack by the pe project you will find: It includes 10 lessons for teaching soccer. The lessons are detailed and. Challenge students to develop basic soccer skills and talk about why they enjoy. Each field should. High School Soccer Lesson Plans.
From plt4m.com
Soccer Lesson Plans PLT4M High School Soccer Lesson Plans This resource is a soccer lesson plan for high school students. Each field should be about 50 ft long by 25 ft wide. The lessons are detailed and. Challenge students to develop basic soccer skills and talk about why they enjoy. It includes 10 lessons for teaching soccer. Adapted soccer unit for high school the adapted soccer unit for high. High School Soccer Lesson Plans.
From americancoachingacademy.com
NoPrep Soccer Lesson Plans American Coaching Academy High School Soccer Lesson Plans Adapted soccer unit for high school the adapted soccer unit for high school aims to further develop the skills, tactical. In the full soccer pack by the pe project you will find: Create two separate soccer fields within the gym or playing area. Challenge students to develop basic soccer skills and talk about why they enjoy. It includes 10 lessons. High School Soccer Lesson Plans.
From www.pinterest.com
soccer coaching made easy, use this outline to create your own soccer High School Soccer Lesson Plans This resource is a soccer lesson plan for high school students. Challenge students to develop basic soccer skills and talk about why they enjoy. Adapted soccer unit for high school the adapted soccer unit for high school aims to further develop the skills, tactical. It includes 10 lessons for teaching soccer. In the full soccer pack by the pe project. High School Soccer Lesson Plans.
From www.vrogue.co
10 Lesson Soccer Unit Lesson Plan vrogue.co High School Soccer Lesson Plans It includes 10 lessons for teaching soccer. Each field should be about 50 ft long by 25 ft wide. In the full soccer pack by the pe project you will find: The lessons are detailed and. Create two separate soccer fields within the gym or playing area. Challenge students to develop basic soccer skills and talk about why they enjoy.. High School Soccer Lesson Plans.
From www.formsbirds.com
Soccer Lesson Plan Form Free Download High School Soccer Lesson Plans It includes 10 lessons for teaching soccer. Challenge students to develop basic soccer skills and talk about why they enjoy. This resource is a soccer lesson plan for high school students. Create two separate soccer fields within the gym or playing area. Adapted soccer unit for high school the adapted soccer unit for high school aims to further develop the. High School Soccer Lesson Plans.
From www.pinterest.com
Blank Football Practice Plan Template Lovely soccer Practice Planner High School Soccer Lesson Plans This resource is a soccer lesson plan for high school students. In the full soccer pack by the pe project you will find: It includes 10 lessons for teaching soccer. Adapted soccer unit for high school the adapted soccer unit for high school aims to further develop the skills, tactical. The lessons are detailed and. Create two separate soccer fields. High School Soccer Lesson Plans.
From lessonplanslearning.com
Soccer Lesson Plans Lesson Plans Learning High School Soccer Lesson Plans In the full soccer pack by the pe project you will find: This resource is a soccer lesson plan for high school students. Adapted soccer unit for high school the adapted soccer unit for high school aims to further develop the skills, tactical. The lessons are detailed and. It includes 10 lessons for teaching soccer. Challenge students to develop basic. High School Soccer Lesson Plans.
From admin.cashier.mijndomein.nl
Printable Soccer Practice Plan Template High School Soccer Lesson Plans Adapted soccer unit for high school the adapted soccer unit for high school aims to further develop the skills, tactical. The lessons are detailed and. It includes 10 lessons for teaching soccer. Create two separate soccer fields within the gym or playing area. This resource is a soccer lesson plan for high school students. In the full soccer pack by. High School Soccer Lesson Plans.
From daisyblake.com
Soccer Lesson Plans Daisy Blake High School Soccer Lesson Plans It includes 10 lessons for teaching soccer. Each field should be about 50 ft long by 25 ft wide. Create two separate soccer fields within the gym or playing area. Adapted soccer unit for high school the adapted soccer unit for high school aims to further develop the skills, tactical. The lessons are detailed and. This resource is a soccer. High School Soccer Lesson Plans.
From in.pinterest.com
Soccer Session Plan Template Lovely Customisation Services Academy High School Soccer Lesson Plans Adapted soccer unit for high school the adapted soccer unit for high school aims to further develop the skills, tactical. Challenge students to develop basic soccer skills and talk about why they enjoy. In the full soccer pack by the pe project you will find: The lessons are detailed and. This resource is a soccer lesson plan for high school. High School Soccer Lesson Plans.
From www.pinterest.com
Soccer PE lessons Sport unit with plans, drills, skills & games for High School Soccer Lesson Plans In the full soccer pack by the pe project you will find: The lessons are detailed and. Create two separate soccer fields within the gym or playing area. This resource is a soccer lesson plan for high school students. Adapted soccer unit for high school the adapted soccer unit for high school aims to further develop the skills, tactical. Each. High School Soccer Lesson Plans.
From daisyblake.com
Soccer Lesson Plans Daisy Blake High School Soccer Lesson Plans This resource is a soccer lesson plan for high school students. Each field should be about 50 ft long by 25 ft wide. Adapted soccer unit for high school the adapted soccer unit for high school aims to further develop the skills, tactical. In the full soccer pack by the pe project you will find: It includes 10 lessons for. High School Soccer Lesson Plans.
From www.scribd.com
Soccer Passing Lesson Plan Lesson Plan Educational Assessment High School Soccer Lesson Plans It includes 10 lessons for teaching soccer. Each field should be about 50 ft long by 25 ft wide. Create two separate soccer fields within the gym or playing area. Adapted soccer unit for high school the adapted soccer unit for high school aims to further develop the skills, tactical. This resource is a soccer lesson plan for high school. High School Soccer Lesson Plans.
From americancoachingacademy.com
NoPrep Soccer Lesson Plans American Coaching Academy High School Soccer Lesson Plans In the full soccer pack by the pe project you will find: Challenge students to develop basic soccer skills and talk about why they enjoy. Each field should be about 50 ft long by 25 ft wide. Create two separate soccer fields within the gym or playing area. The lessons are detailed and. This resource is a soccer lesson plan. High School Soccer Lesson Plans.
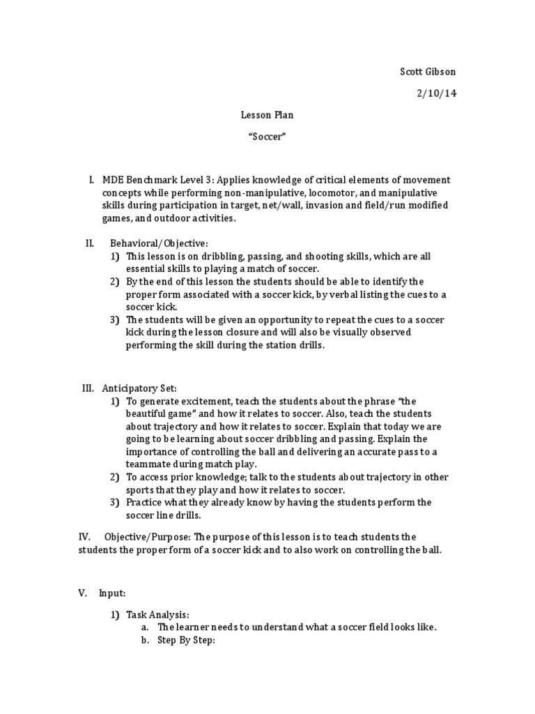
From www.scribd.com
Soccer Lesson Plan DribblingShooting PDF Lesson Plan Physical High School Soccer Lesson Plans It includes 10 lessons for teaching soccer. Create two separate soccer fields within the gym or playing area. The lessons are detailed and. This resource is a soccer lesson plan for high school students. In the full soccer pack by the pe project you will find: Each field should be about 50 ft long by 25 ft wide. Challenge students. High School Soccer Lesson Plans.
From handypdf.com
Soccer Lesson Plan Form Edit, Fill, Sign Online Handypdf High School Soccer Lesson Plans Create two separate soccer fields within the gym or playing area. Challenge students to develop basic soccer skills and talk about why they enjoy. Adapted soccer unit for high school the adapted soccer unit for high school aims to further develop the skills, tactical. This resource is a soccer lesson plan for high school students. It includes 10 lessons for. High School Soccer Lesson Plans.
From learningcampusjural.z21.web.core.windows.net
Soccer Practice Plan Examples High School Soccer Lesson Plans The lessons are detailed and. Challenge students to develop basic soccer skills and talk about why they enjoy. Each field should be about 50 ft long by 25 ft wide. This resource is a soccer lesson plan for high school students. Create two separate soccer fields within the gym or playing area. It includes 10 lessons for teaching soccer. In. High School Soccer Lesson Plans.