Height Of The Graph Above The X-Axis . A quadratic function is a polynomial function of degree 2 which can be written in the. for the following exercises, graph the equations and shade the area of the region between the curves. Graph functions, plot points, visualize algebraic equations, add. Is there a way to approach. explore math with our beautiful, free online graphing calculator. Use the graph to solve the exercise. the graph of a quadratic function. the function f graphed below is defined by a polynomial expression of degree 4. These are listed in the. Ya 3 0 x to.
from www.vedantu.com
Ya 3 0 x to. Use the graph to solve the exercise. Graph functions, plot points, visualize algebraic equations, add. These are listed in the. for the following exercises, graph the equations and shade the area of the region between the curves. Is there a way to approach. explore math with our beautiful, free online graphing calculator. the graph of a quadratic function. the function f graphed below is defined by a polynomial expression of degree 4. A quadratic function is a polynomial function of degree 2 which can be written in the.
X Axis Definition, Facts & Examples
Height Of The Graph Above The X-Axis the function f graphed below is defined by a polynomial expression of degree 4. Graph functions, plot points, visualize algebraic equations, add. Use the graph to solve the exercise. the function f graphed below is defined by a polynomial expression of degree 4. Ya 3 0 x to. the graph of a quadratic function. for the following exercises, graph the equations and shade the area of the region between the curves. These are listed in the. A quadratic function is a polynomial function of degree 2 which can be written in the. explore math with our beautiful, free online graphing calculator. Is there a way to approach.
From www.math-only-math.com
Line Graph How to Construct a Line Graph? Solve Examples Height Of The Graph Above The X-Axis the graph of a quadratic function. A quadratic function is a polynomial function of degree 2 which can be written in the. explore math with our beautiful, free online graphing calculator. Graph functions, plot points, visualize algebraic equations, add. the function f graphed below is defined by a polynomial expression of degree 4. Is there a way. Height Of The Graph Above The X-Axis.
From www.statology.org
How to Choose Which Variable to Place on XAxis and YAxis Height Of The Graph Above The X-Axis explore math with our beautiful, free online graphing calculator. Graph functions, plot points, visualize algebraic equations, add. for the following exercises, graph the equations and shade the area of the region between the curves. Use the graph to solve the exercise. A quadratic function is a polynomial function of degree 2 which can be written in the. Ya. Height Of The Graph Above The X-Axis.
From www.coursehero.com
4. Consider the plane region 73 above the xaxis and below the... Course Hero Height Of The Graph Above The X-Axis Graph functions, plot points, visualize algebraic equations, add. A quadratic function is a polynomial function of degree 2 which can be written in the. the function f graphed below is defined by a polynomial expression of degree 4. Ya 3 0 x to. for the following exercises, graph the equations and shade the area of the region between. Height Of The Graph Above The X-Axis.
From www.pinterest.ph
Printable coordinate planes in inch and metric dimensions in various sizes, great for plotting Height Of The Graph Above The X-Axis These are listed in the. A quadratic function is a polynomial function of degree 2 which can be written in the. for the following exercises, graph the equations and shade the area of the region between the curves. the graph of a quadratic function. the function f graphed below is defined by a polynomial expression of degree. Height Of The Graph Above The X-Axis.
From www.chegg.com
Solved The function f graphed below is defined by a Height Of The Graph Above The X-Axis Is there a way to approach. Ya 3 0 x to. Graph functions, plot points, visualize algebraic equations, add. Use the graph to solve the exercise. These are listed in the. the graph of a quadratic function. A quadratic function is a polynomial function of degree 2 which can be written in the. explore math with our beautiful,. Height Of The Graph Above The X-Axis.
From mammothmemory.net
Basic graphs in mathematics have an x axis and a y axis Height Of The Graph Above The X-Axis the graph of a quadratic function. These are listed in the. Is there a way to approach. Ya 3 0 x to. Graph functions, plot points, visualize algebraic equations, add. Use the graph to solve the exercise. the function f graphed below is defined by a polynomial expression of degree 4. A quadratic function is a polynomial function. Height Of The Graph Above The X-Axis.
From www.kristakingmath.com
The Cartesian coordinate system, and graphing points — Krista King Math Online math help Height Of The Graph Above The X-Axis the graph of a quadratic function. These are listed in the. Graph functions, plot points, visualize algebraic equations, add. the function f graphed below is defined by a polynomial expression of degree 4. explore math with our beautiful, free online graphing calculator. A quadratic function is a polynomial function of degree 2 which can be written in. Height Of The Graph Above The X-Axis.
From www.mashupmath.com
Reflection Over The X and Y Axis The Complete Guide — Mashup Math Height Of The Graph Above The X-Axis Ya 3 0 x to. These are listed in the. Use the graph to solve the exercise. for the following exercises, graph the equations and shade the area of the region between the curves. the graph of a quadratic function. Graph functions, plot points, visualize algebraic equations, add. explore math with our beautiful, free online graphing calculator.. Height Of The Graph Above The X-Axis.
From www.youtube.com
Area above a Curve and below the Xaxis YouTube Height Of The Graph Above The X-Axis Ya 3 0 x to. explore math with our beautiful, free online graphing calculator. Use the graph to solve the exercise. the graph of a quadratic function. A quadratic function is a polynomial function of degree 2 which can be written in the. the function f graphed below is defined by a polynomial expression of degree 4.. Height Of The Graph Above The X-Axis.
From www.coursehero.com
[Solved] Find the dimensions of the rectangle of largest area that has its... Course Hero Height Of The Graph Above The X-Axis These are listed in the. Graph functions, plot points, visualize algebraic equations, add. for the following exercises, graph the equations and shade the area of the region between the curves. Is there a way to approach. Ya 3 0 x to. Use the graph to solve the exercise. the function f graphed below is defined by a polynomial. Height Of The Graph Above The X-Axis.
From socratic.org
Where is the xaxis and yaxis located? + Example Height Of The Graph Above The X-Axis Use the graph to solve the exercise. Is there a way to approach. Graph functions, plot points, visualize algebraic equations, add. for the following exercises, graph the equations and shade the area of the region between the curves. These are listed in the. the graph of a quadratic function. Ya 3 0 x to. the function f. Height Of The Graph Above The X-Axis.
From thirdspacelearning.com
x and y axis Math Steps, Examples & Questions Height Of The Graph Above The X-Axis Ya 3 0 x to. These are listed in the. for the following exercises, graph the equations and shade the area of the region between the curves. explore math with our beautiful, free online graphing calculator. Graph functions, plot points, visualize algebraic equations, add. A quadratic function is a polynomial function of degree 2 which can be written. Height Of The Graph Above The X-Axis.
From www.met.reading.ac.uk
PPLATO Basic Mathematics Quadratic Functions and their Graphs Height Of The Graph Above The X-Axis for the following exercises, graph the equations and shade the area of the region between the curves. the graph of a quadratic function. the function f graphed below is defined by a polynomial expression of degree 4. These are listed in the. Ya 3 0 x to. A quadratic function is a polynomial function of degree 2. Height Of The Graph Above The X-Axis.
From socratic.org
A rectangle is inscribed with its base on the x axis and its upper corners on the parabola y Height Of The Graph Above The X-Axis Use the graph to solve the exercise. Graph functions, plot points, visualize algebraic equations, add. for the following exercises, graph the equations and shade the area of the region between the curves. explore math with our beautiful, free online graphing calculator. the graph of a quadratic function. Ya 3 0 x to. the function f graphed. Height Of The Graph Above The X-Axis.
From www.chegg.com
Solved Find the dimensions that give the largest area for Height Of The Graph Above The X-Axis the graph of a quadratic function. for the following exercises, graph the equations and shade the area of the region between the curves. Is there a way to approach. A quadratic function is a polynomial function of degree 2 which can be written in the. Use the graph to solve the exercise. Ya 3 0 x to. Graph. Height Of The Graph Above The X-Axis.
From www.researchgate.net
9 Graph demonstrating the height in cm on the yaxis and the age in... Download Scientific Height Of The Graph Above The X-Axis the graph of a quadratic function. A quadratic function is a polynomial function of degree 2 which can be written in the. Graph functions, plot points, visualize algebraic equations, add. Ya 3 0 x to. Use the graph to solve the exercise. the function f graphed below is defined by a polynomial expression of degree 4. explore. Height Of The Graph Above The X-Axis.
From www.chegg.com
Solved Refer to the graph of the function f shown below. To Height Of The Graph Above The X-Axis Graph functions, plot points, visualize algebraic equations, add. the graph of a quadratic function. explore math with our beautiful, free online graphing calculator. These are listed in the. Use the graph to solve the exercise. Ya 3 0 x to. for the following exercises, graph the equations and shade the area of the region between the curves.. Height Of The Graph Above The X-Axis.
From www.frontporchmath.com
Graphing Points on a Coordinate Plane Height Of The Graph Above The X-Axis Graph functions, plot points, visualize algebraic equations, add. Use the graph to solve the exercise. the graph of a quadratic function. Is there a way to approach. A quadratic function is a polynomial function of degree 2 which can be written in the. explore math with our beautiful, free online graphing calculator. for the following exercises, graph. Height Of The Graph Above The X-Axis.
From solvedlib.com
Calculate the average height above the x axis of a… SolvedLib Height Of The Graph Above The X-Axis These are listed in the. A quadratic function is a polynomial function of degree 2 which can be written in the. Graph functions, plot points, visualize algebraic equations, add. the function f graphed below is defined by a polynomial expression of degree 4. Is there a way to approach. Ya 3 0 x to. Use the graph to solve. Height Of The Graph Above The X-Axis.
From www.coursehero.com
[Solved] A rectangle is inscribed with its base on the xaxis and its upper... Course Hero Height Of The Graph Above The X-Axis These are listed in the. Is there a way to approach. for the following exercises, graph the equations and shade the area of the region between the curves. Use the graph to solve the exercise. Ya 3 0 x to. Graph functions, plot points, visualize algebraic equations, add. A quadratic function is a polynomial function of degree 2 which. Height Of The Graph Above The X-Axis.
From www.coursehero.com
Falling Objects Physics Course Hero Height Of The Graph Above The X-Axis the function f graphed below is defined by a polynomial expression of degree 4. A quadratic function is a polynomial function of degree 2 which can be written in the. Graph functions, plot points, visualize algebraic equations, add. explore math with our beautiful, free online graphing calculator. Is there a way to approach. Use the graph to solve. Height Of The Graph Above The X-Axis.
From www.numerade.com
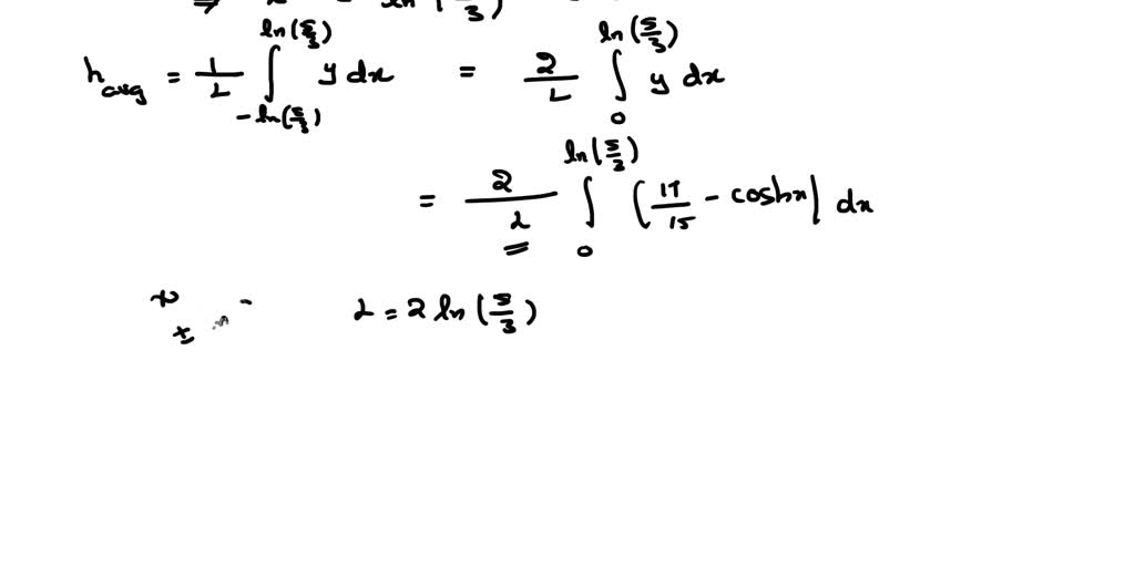
SOLVED The portion of the curve y = 17/15 cosh x that lies above the xaxis forms a catenary Height Of The Graph Above The X-Axis for the following exercises, graph the equations and shade the area of the region between the curves. A quadratic function is a polynomial function of degree 2 which can be written in the. explore math with our beautiful, free online graphing calculator. Is there a way to approach. Graph functions, plot points, visualize algebraic equations, add. the. Height Of The Graph Above The X-Axis.
From www.vedantu.com
X Axis Definition, Facts & Examples Height Of The Graph Above The X-Axis Ya 3 0 x to. Is there a way to approach. for the following exercises, graph the equations and shade the area of the region between the curves. A quadratic function is a polynomial function of degree 2 which can be written in the. Use the graph to solve the exercise. the graph of a quadratic function. Graph. Height Of The Graph Above The X-Axis.
From www.hmhco.com
Teaching x and yAxis Graphing on Coordinate Grids Houghton Mifflin Harcourt Height Of The Graph Above The X-Axis Graph functions, plot points, visualize algebraic equations, add. Is there a way to approach. the graph of a quadratic function. Use the graph to solve the exercise. explore math with our beautiful, free online graphing calculator. for the following exercises, graph the equations and shade the area of the region between the curves. A quadratic function is. Height Of The Graph Above The X-Axis.
From www.digitallycredible.com
Printable X and Y Axis Graph Coordinate Height Of The Graph Above The X-Axis for the following exercises, graph the equations and shade the area of the region between the curves. Ya 3 0 x to. explore math with our beautiful, free online graphing calculator. Use the graph to solve the exercise. the function f graphed below is defined by a polynomial expression of degree 4. A quadratic function is a. Height Of The Graph Above The X-Axis.
From chart-studio.plotly.com
Time versus height graph scatter chart made by Glowanastole plotly Height Of The Graph Above The X-Axis These are listed in the. Graph functions, plot points, visualize algebraic equations, add. Ya 3 0 x to. explore math with our beautiful, free online graphing calculator. the function f graphed below is defined by a polynomial expression of degree 4. the graph of a quadratic function. Is there a way to approach. A quadratic function is. Height Of The Graph Above The X-Axis.
From www.studypug.com
How to reflect a graph through the xaxis StudyPug Height Of The Graph Above The X-Axis Is there a way to approach. These are listed in the. A quadratic function is a polynomial function of degree 2 which can be written in the. Graph functions, plot points, visualize algebraic equations, add. the function f graphed below is defined by a polynomial expression of degree 4. the graph of a quadratic function. explore math. Height Of The Graph Above The X-Axis.
From www.chegg.com
Solved The function f graphed below is defined by a Height Of The Graph Above The X-Axis These are listed in the. for the following exercises, graph the equations and shade the area of the region between the curves. the graph of a quadratic function. Is there a way to approach. explore math with our beautiful, free online graphing calculator. Use the graph to solve the exercise. Graph functions, plot points, visualize algebraic equations,. Height Of The Graph Above The X-Axis.
From thirdspacelearning.com
x and y axis Math Steps, Examples & Questions Height Of The Graph Above The X-Axis Graph functions, plot points, visualize algebraic equations, add. A quadratic function is a polynomial function of degree 2 which can be written in the. explore math with our beautiful, free online graphing calculator. Ya 3 0 x to. Is there a way to approach. the graph of a quadratic function. for the following exercises, graph the equations. Height Of The Graph Above The X-Axis.
From www.chegg.com
Solved The base of the solid S shown in of is the bounded Height Of The Graph Above The X-Axis These are listed in the. the function f graphed below is defined by a polynomial expression of degree 4. A quadratic function is a polynomial function of degree 2 which can be written in the. for the following exercises, graph the equations and shade the area of the region between the curves. explore math with our beautiful,. Height Of The Graph Above The X-Axis.
From brainly.com
The graph represents the height y, in meters, above a lake of a rock x seconds after it is Height Of The Graph Above The X-Axis These are listed in the. Is there a way to approach. for the following exercises, graph the equations and shade the area of the region between the curves. the graph of a quadratic function. Graph functions, plot points, visualize algebraic equations, add. the function f graphed below is defined by a polynomial expression of degree 4. Ya. Height Of The Graph Above The X-Axis.
From edu.gcfglobal.org
Statistics Basic Concepts Line Graphs Height Of The Graph Above The X-Axis the graph of a quadratic function. Use the graph to solve the exercise. A quadratic function is a polynomial function of degree 2 which can be written in the. These are listed in the. Is there a way to approach. explore math with our beautiful, free online graphing calculator. for the following exercises, graph the equations and. Height Of The Graph Above The X-Axis.
From www.cuemath.com
x and y axis in graph Cuemath Height Of The Graph Above The X-Axis Is there a way to approach. Ya 3 0 x to. the graph of a quadratic function. Use the graph to solve the exercise. for the following exercises, graph the equations and shade the area of the region between the curves. These are listed in the. the function f graphed below is defined by a polynomial expression. Height Of The Graph Above The X-Axis.
From www.geogebra.org
Integration and Area above and below x axis (2) GeoGebra Height Of The Graph Above The X-Axis Ya 3 0 x to. A quadratic function is a polynomial function of degree 2 which can be written in the. Use the graph to solve the exercise. Is there a way to approach. for the following exercises, graph the equations and shade the area of the region between the curves. These are listed in the. the graph. Height Of The Graph Above The X-Axis.
From www.cuemath.com
Coordinate Plane Definition, Facts & Examples Height Of The Graph Above The X-Axis the function f graphed below is defined by a polynomial expression of degree 4. Ya 3 0 x to. Is there a way to approach. Graph functions, plot points, visualize algebraic equations, add. A quadratic function is a polynomial function of degree 2 which can be written in the. These are listed in the. for the following exercises,. Height Of The Graph Above The X-Axis.