Apparent And Real Expansion . When liquid is heated directly without using any container or vessel, the expansion that you. apparent expansion means the thermal expansion of a liquid as measured in a graduated container without allowance for. the coefficient of apparent expansion of a liquid is given by the formula: the real expansion of liquid = apparent expansion of liquid + volume expansion of the container. the expansion of a liquid, ignoring the expansion of the container, is called the apparent expansion of the liquid. Therefore, in the case of liquids, we are concerned only with. real and apparent expansions. The expansion we see when a liquid is heated without a container is known as true. the apparent expansion takes into account the expansion of the container holding the liquid, while the real expansion only.
from www.youtube.com
When liquid is heated directly without using any container or vessel, the expansion that you. real and apparent expansions. the expansion of a liquid, ignoring the expansion of the container, is called the apparent expansion of the liquid. the coefficient of apparent expansion of a liquid is given by the formula: the apparent expansion takes into account the expansion of the container holding the liquid, while the real expansion only. The expansion we see when a liquid is heated without a container is known as true. the real expansion of liquid = apparent expansion of liquid + volume expansion of the container. apparent expansion means the thermal expansion of a liquid as measured in a graduated container without allowance for. Therefore, in the case of liquids, we are concerned only with.
Apparent and real expansion YouTube
Apparent And Real Expansion the real expansion of liquid = apparent expansion of liquid + volume expansion of the container. the expansion of a liquid, ignoring the expansion of the container, is called the apparent expansion of the liquid. real and apparent expansions. the coefficient of apparent expansion of a liquid is given by the formula: the real expansion of liquid = apparent expansion of liquid + volume expansion of the container. Therefore, in the case of liquids, we are concerned only with. The expansion we see when a liquid is heated without a container is known as true. the apparent expansion takes into account the expansion of the container holding the liquid, while the real expansion only. When liquid is heated directly without using any container or vessel, the expansion that you. apparent expansion means the thermal expansion of a liquid as measured in a graduated container without allowance for.
From www.doubtnut.com
[Odia] Distinguish between real and apparent expansion of a liquid. Es Apparent And Real Expansion real and apparent expansions. When liquid is heated directly without using any container or vessel, the expansion that you. The expansion we see when a liquid is heated without a container is known as true. the apparent expansion takes into account the expansion of the container holding the liquid, while the real expansion only. the coefficient of. Apparent And Real Expansion.
From www.learnthesky.com
Apparent versus Absolute Magnitude Apparent And Real Expansion The expansion we see when a liquid is heated without a container is known as true. apparent expansion means the thermal expansion of a liquid as measured in a graduated container without allowance for. real and apparent expansions. Therefore, in the case of liquids, we are concerned only with. the expansion of a liquid, ignoring the expansion. Apparent And Real Expansion.
From www.youtube.com
MADHYAMIK CLASSES/ TOPIC COEFFICIENT OF REAL AND APPARENT EXPANSION OF Apparent And Real Expansion When liquid is heated directly without using any container or vessel, the expansion that you. the real expansion of liquid = apparent expansion of liquid + volume expansion of the container. Therefore, in the case of liquids, we are concerned only with. the apparent expansion takes into account the expansion of the container holding the liquid, while the. Apparent And Real Expansion.
From www.w3schools.blog
Thermal Expansion of Liquids W3schools Apparent And Real Expansion Therefore, in the case of liquids, we are concerned only with. real and apparent expansions. the coefficient of apparent expansion of a liquid is given by the formula: The expansion we see when a liquid is heated without a container is known as true. apparent expansion means the thermal expansion of a liquid as measured in a. Apparent And Real Expansion.
From www.youtube.com
Liquid Real and Apparent expansion YouTube Apparent And Real Expansion Therefore, in the case of liquids, we are concerned only with. real and apparent expansions. the apparent expansion takes into account the expansion of the container holding the liquid, while the real expansion only. When liquid is heated directly without using any container or vessel, the expansion that you. the real expansion of liquid = apparent expansion. Apparent And Real Expansion.
From www.yaclass.in
Real and Apparent expansions — lesson. Science State Board, Class 10. Apparent And Real Expansion The expansion we see when a liquid is heated without a container is known as true. the expansion of a liquid, ignoring the expansion of the container, is called the apparent expansion of the liquid. the real expansion of liquid = apparent expansion of liquid + volume expansion of the container. apparent expansion means the thermal expansion. Apparent And Real Expansion.
From www.youtube.com
Define apparent and real expansion of a liquid and derive a relation Apparent And Real Expansion the coefficient of apparent expansion of a liquid is given by the formula: When liquid is heated directly without using any container or vessel, the expansion that you. the apparent expansion takes into account the expansion of the container holding the liquid, while the real expansion only. the expansion of a liquid, ignoring the expansion of the. Apparent And Real Expansion.
From www.doubtnut.com
[Tamil] Explain the experiment of measuring the real and apparent expa Apparent And Real Expansion the coefficient of apparent expansion of a liquid is given by the formula: the apparent expansion takes into account the expansion of the container holding the liquid, while the real expansion only. the real expansion of liquid = apparent expansion of liquid + volume expansion of the container. When liquid is heated directly without using any container. Apparent And Real Expansion.
From questions-in.kunduz.com
The sum and difference of coefficient of real and ap... Physics Apparent And Real Expansion the real expansion of liquid = apparent expansion of liquid + volume expansion of the container. the apparent expansion takes into account the expansion of the container holding the liquid, while the real expansion only. real and apparent expansions. the expansion of a liquid, ignoring the expansion of the container, is called the apparent expansion of. Apparent And Real Expansion.
From www.scribd.com
Real and Apparent Expansion of a Liquid Thermal Expansion Density Apparent And Real Expansion Therefore, in the case of liquids, we are concerned only with. apparent expansion means the thermal expansion of a liquid as measured in a graduated container without allowance for. the coefficient of apparent expansion of a liquid is given by the formula: real and apparent expansions. When liquid is heated directly without using any container or vessel,. Apparent And Real Expansion.
From www.youtube.com
Apparent and real expansion YouTube Apparent And Real Expansion the expansion of a liquid, ignoring the expansion of the container, is called the apparent expansion of the liquid. the apparent expansion takes into account the expansion of the container holding the liquid, while the real expansion only. The expansion we see when a liquid is heated without a container is known as true. apparent expansion means. Apparent And Real Expansion.
From www.youtube.com
10th science real and apparent expansion experiment book back long Apparent And Real Expansion real and apparent expansions. Therefore, in the case of liquids, we are concerned only with. the apparent expansion takes into account the expansion of the container holding the liquid, while the real expansion only. When liquid is heated directly without using any container or vessel, the expansion that you. the real expansion of liquid = apparent expansion. Apparent And Real Expansion.
From www.venkatsacademy.com
Expansion of Liquids IIT JEE and NEET Physics Apparent And Real Expansion the coefficient of apparent expansion of a liquid is given by the formula: Therefore, in the case of liquids, we are concerned only with. the expansion of a liquid, ignoring the expansion of the container, is called the apparent expansion of the liquid. The expansion we see when a liquid is heated without a container is known as. Apparent And Real Expansion.
From www.youtube.com
Expansion of liquids class 11 coefficient of real expansion Apparent And Real Expansion the apparent expansion takes into account the expansion of the container holding the liquid, while the real expansion only. When liquid is heated directly without using any container or vessel, the expansion that you. the expansion of a liquid, ignoring the expansion of the container, is called the apparent expansion of the liquid. apparent expansion means the. Apparent And Real Expansion.
From www.youtube.com
Real and apparent expansion of liquid Thermal Expansion YouTube Apparent And Real Expansion the real expansion of liquid = apparent expansion of liquid + volume expansion of the container. When liquid is heated directly without using any container or vessel, the expansion that you. the coefficient of apparent expansion of a liquid is given by the formula: real and apparent expansions. The expansion we see when a liquid is heated. Apparent And Real Expansion.
From www.doubtnut.com
[Odia] Distinguish between real and apparent expansion of a liquid. Es Apparent And Real Expansion Therefore, in the case of liquids, we are concerned only with. The expansion we see when a liquid is heated without a container is known as true. the apparent expansion takes into account the expansion of the container holding the liquid, while the real expansion only. the real expansion of liquid = apparent expansion of liquid + volume. Apparent And Real Expansion.
From www.youtube.com
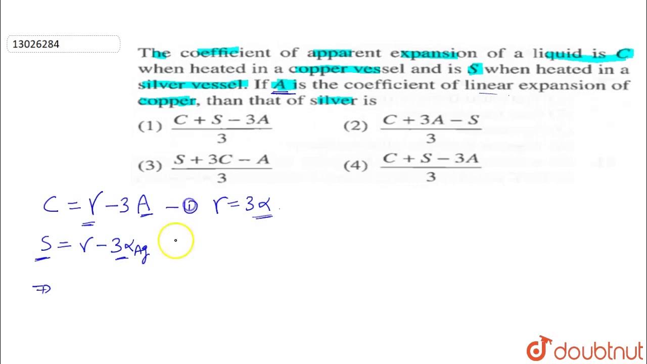
The coefficient of apparent expansion of a liquid is `C` when heated in Apparent And Real Expansion real and apparent expansions. When liquid is heated directly without using any container or vessel, the expansion that you. The expansion we see when a liquid is heated without a container is known as true. the real expansion of liquid = apparent expansion of liquid + volume expansion of the container. the apparent expansion takes into account. Apparent And Real Expansion.
From askfilo.com
2. Explain the experiment of measuri real and apparent expansion of a liq.. Apparent And Real Expansion When liquid is heated directly without using any container or vessel, the expansion that you. the expansion of a liquid, ignoring the expansion of the container, is called the apparent expansion of the liquid. the real expansion of liquid = apparent expansion of liquid + volume expansion of the container. The expansion we see when a liquid is. Apparent And Real Expansion.
From www.youtube.com
Thermal Properties Relation between Real and Apparent Expansion Apparent And Real Expansion the coefficient of apparent expansion of a liquid is given by the formula: The expansion we see when a liquid is heated without a container is known as true. Therefore, in the case of liquids, we are concerned only with. the apparent expansion takes into account the expansion of the container holding the liquid, while the real expansion. Apparent And Real Expansion.
From scienceuniverse101.blogspot.com
Science universe Physics articles Real and apparent expansion of a Apparent And Real Expansion apparent expansion means the thermal expansion of a liquid as measured in a graduated container without allowance for. Therefore, in the case of liquids, we are concerned only with. When liquid is heated directly without using any container or vessel, the expansion that you. the expansion of a liquid, ignoring the expansion of the container, is called the. Apparent And Real Expansion.
From www.youtube.com
thermal expansion of liquid mohibmirha real expansion and apparent Apparent And Real Expansion the coefficient of apparent expansion of a liquid is given by the formula: the real expansion of liquid = apparent expansion of liquid + volume expansion of the container. real and apparent expansions. the apparent expansion takes into account the expansion of the container holding the liquid, while the real expansion only. apparent expansion means. Apparent And Real Expansion.
From brainly.in
ii) Explain the experiment of measuring the real and apparent expansion Apparent And Real Expansion the coefficient of apparent expansion of a liquid is given by the formula: real and apparent expansions. Therefore, in the case of liquids, we are concerned only with. the apparent expansion takes into account the expansion of the container holding the liquid, while the real expansion only. The expansion we see when a liquid is heated without. Apparent And Real Expansion.
From www.youtube.com
Expansion of Liquid, What is Real and Apparent expansion in liquid Apparent And Real Expansion the expansion of a liquid, ignoring the expansion of the container, is called the apparent expansion of the liquid. the apparent expansion takes into account the expansion of the container holding the liquid, while the real expansion only. The expansion we see when a liquid is heated without a container is known as true. the coefficient of. Apparent And Real Expansion.
From www.youtube.com
Real and apparent Expansion and its co efficient 10th Thermal Physics Apparent And Real Expansion the real expansion of liquid = apparent expansion of liquid + volume expansion of the container. When liquid is heated directly without using any container or vessel, the expansion that you. the expansion of a liquid, ignoring the expansion of the container, is called the apparent expansion of the liquid. real and apparent expansions. the apparent. Apparent And Real Expansion.
From www.youtube.com
18. apparent expansion of liquid relation of real and apparent Apparent And Real Expansion the expansion of a liquid, ignoring the expansion of the container, is called the apparent expansion of the liquid. apparent expansion means the thermal expansion of a liquid as measured in a graduated container without allowance for. When liquid is heated directly without using any container or vessel, the expansion that you. real and apparent expansions. . Apparent And Real Expansion.
From 9to5science.com
[Solved] Derivation of Apparent Expansion of Liquid 9to5Science Apparent And Real Expansion real and apparent expansions. When liquid is heated directly without using any container or vessel, the expansion that you. the coefficient of apparent expansion of a liquid is given by the formula: apparent expansion means the thermal expansion of a liquid as measured in a graduated container without allowance for. the apparent expansion takes into account. Apparent And Real Expansion.
From www.toppr.com
Coefficient of apparent expansions of a liquid in two different vessels Apparent And Real Expansion the real expansion of liquid = apparent expansion of liquid + volume expansion of the container. apparent expansion means the thermal expansion of a liquid as measured in a graduated container without allowance for. Therefore, in the case of liquids, we are concerned only with. the coefficient of apparent expansion of a liquid is given by the. Apparent And Real Expansion.
From www.youtube.com
Define apparent and real expansion of a liquid and derive a relation Apparent And Real Expansion the real expansion of liquid = apparent expansion of liquid + volume expansion of the container. real and apparent expansions. the coefficient of apparent expansion of a liquid is given by the formula: Therefore, in the case of liquids, we are concerned only with. When liquid is heated directly without using any container or vessel, the expansion. Apparent And Real Expansion.
From www.toppr.com
Coefficient of apparent expansions of a liquid in two different vessels Apparent And Real Expansion the apparent expansion takes into account the expansion of the container holding the liquid, while the real expansion only. The expansion we see when a liquid is heated without a container is known as true. real and apparent expansions. the expansion of a liquid, ignoring the expansion of the container, is called the apparent expansion of the. Apparent And Real Expansion.
From www.youtube.com
Define apparent and real expansion of a liquid and derive a relation Apparent And Real Expansion the coefficient of apparent expansion of a liquid is given by the formula: the expansion of a liquid, ignoring the expansion of the container, is called the apparent expansion of the liquid. the apparent expansion takes into account the expansion of the container holding the liquid, while the real expansion only. apparent expansion means the thermal. Apparent And Real Expansion.
From www.youtube.com
Unit3 Thermal physics(class10) Experiment to measure real and apparent Apparent And Real Expansion the real expansion of liquid = apparent expansion of liquid + volume expansion of the container. the expansion of a liquid, ignoring the expansion of the container, is called the apparent expansion of the liquid. Therefore, in the case of liquids, we are concerned only with. When liquid is heated directly without using any container or vessel, the. Apparent And Real Expansion.
From www.scribd.com
Experiment To Measure Real and Apparent Expansion of Apparent And Real Expansion the coefficient of apparent expansion of a liquid is given by the formula: apparent expansion means the thermal expansion of a liquid as measured in a graduated container without allowance for. When liquid is heated directly without using any container or vessel, the expansion that you. the apparent expansion takes into account the expansion of the container. Apparent And Real Expansion.
From www.doubtnut.com
Define coefficient of apparent and real expansion of a liquid. Apparent And Real Expansion real and apparent expansions. the real expansion of liquid = apparent expansion of liquid + volume expansion of the container. Therefore, in the case of liquids, we are concerned only with. the apparent expansion takes into account the expansion of the container holding the liquid, while the real expansion only. The expansion we see when a liquid. Apparent And Real Expansion.
From www.youtube.com
Class 12 Physics Practicals Apparent expansion of liquids YouTube Apparent And Real Expansion the coefficient of apparent expansion of a liquid is given by the formula: When liquid is heated directly without using any container or vessel, the expansion that you. the real expansion of liquid = apparent expansion of liquid + volume expansion of the container. Therefore, in the case of liquids, we are concerned only with. real and. Apparent And Real Expansion.
From www.youtube.com
Physics Practical Apparent expansion of liquids Experiment video YouTube Apparent And Real Expansion Therefore, in the case of liquids, we are concerned only with. the coefficient of apparent expansion of a liquid is given by the formula: The expansion we see when a liquid is heated without a container is known as true. apparent expansion means the thermal expansion of a liquid as measured in a graduated container without allowance for.. Apparent And Real Expansion.