Tunneling Quality Index . — before the tunnel excavation, the longitudinal wave velocity data can be collected for advance prediction, with the. quantitative classification system for estimates of tunnel support, based on a numerical assessment of the rock mass. in designing tunnel supports, the geomechanical classifications, which are also known as the rock mass rating (rmr) system, the tunneling quality. — the geological strength index (gsi), rock mass rating (rmr), and tunneling quality index (q) systems are. the primary output of the rock mass rating (rmr) and tunneling quality index (q) system is a preliminary tunnel support design, as.
from www.researchgate.net
the primary output of the rock mass rating (rmr) and tunneling quality index (q) system is a preliminary tunnel support design, as. in designing tunnel supports, the geomechanical classifications, which are also known as the rock mass rating (rmr) system, the tunneling quality. — the geological strength index (gsi), rock mass rating (rmr), and tunneling quality index (q) systems are. quantitative classification system for estimates of tunnel support, based on a numerical assessment of the rock mass. — before the tunnel excavation, the longitudinal wave velocity data can be collected for advance prediction, with the.
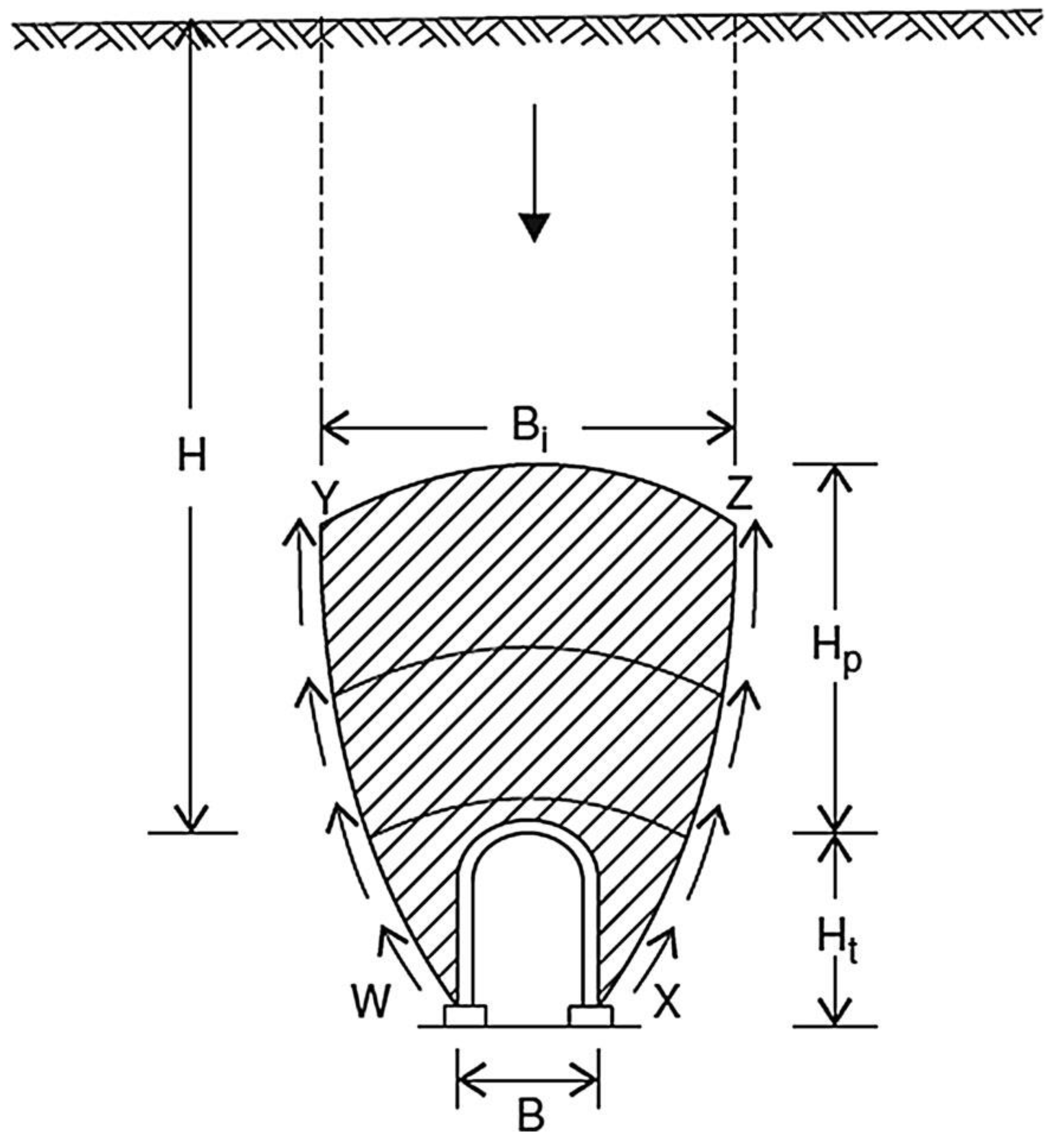
Tunnelling quality index (Q) and geological strength index (GSI) values
Tunneling Quality Index — the geological strength index (gsi), rock mass rating (rmr), and tunneling quality index (q) systems are. the primary output of the rock mass rating (rmr) and tunneling quality index (q) system is a preliminary tunnel support design, as. in designing tunnel supports, the geomechanical classifications, which are also known as the rock mass rating (rmr) system, the tunneling quality. — before the tunnel excavation, the longitudinal wave velocity data can be collected for advance prediction, with the. — the geological strength index (gsi), rock mass rating (rmr), and tunneling quality index (q) systems are. quantitative classification system for estimates of tunnel support, based on a numerical assessment of the rock mass.
From www.mdpi.com
Applied Sciences Free FullText Empirical Evaluation of Rock Mass Tunneling Quality Index — before the tunnel excavation, the longitudinal wave velocity data can be collected for advance prediction, with the. — the geological strength index (gsi), rock mass rating (rmr), and tunneling quality index (q) systems are. quantitative classification system for estimates of tunnel support, based on a numerical assessment of the rock mass. the primary output of. Tunneling Quality Index.
From www.mdpi.com
Applied Sciences Free FullText Empirical Evaluation of Rock Mass Tunneling Quality Index quantitative classification system for estimates of tunnel support, based on a numerical assessment of the rock mass. — before the tunnel excavation, the longitudinal wave velocity data can be collected for advance prediction, with the. the primary output of the rock mass rating (rmr) and tunneling quality index (q) system is a preliminary tunnel support design, as.. Tunneling Quality Index.
From www.researchgate.net
Indices for quality of tunnel contour after smooth blasting in overseas Tunneling Quality Index in designing tunnel supports, the geomechanical classifications, which are also known as the rock mass rating (rmr) system, the tunneling quality. — before the tunnel excavation, the longitudinal wave velocity data can be collected for advance prediction, with the. — the geological strength index (gsi), rock mass rating (rmr), and tunneling quality index (q) systems are. . Tunneling Quality Index.
From www.mdpi.com
Applied Sciences Free FullText Empirical Evaluation of Rock Mass Tunneling Quality Index in designing tunnel supports, the geomechanical classifications, which are also known as the rock mass rating (rmr) system, the tunneling quality. — the geological strength index (gsi), rock mass rating (rmr), and tunneling quality index (q) systems are. quantitative classification system for estimates of tunnel support, based on a numerical assessment of the rock mass. the. Tunneling Quality Index.
From www.researchgate.net
Rock Tunneling Quality Index; Rock Tunneling Quality Index versus Tunneling Quality Index quantitative classification system for estimates of tunnel support, based on a numerical assessment of the rock mass. — before the tunnel excavation, the longitudinal wave velocity data can be collected for advance prediction, with the. the primary output of the rock mass rating (rmr) and tunneling quality index (q) system is a preliminary tunnel support design, as.. Tunneling Quality Index.
From www.researchgate.net
(PDF) Review of RockMass Rating and Tunneling Quality Index Systems Tunneling Quality Index the primary output of the rock mass rating (rmr) and tunneling quality index (q) system is a preliminary tunnel support design, as. — the geological strength index (gsi), rock mass rating (rmr), and tunneling quality index (q) systems are. — before the tunnel excavation, the longitudinal wave velocity data can be collected for advance prediction, with the.. Tunneling Quality Index.
From www.researchgate.net
Estimation of reinforcement categories for the upper diversion tunnel Tunneling Quality Index quantitative classification system for estimates of tunnel support, based on a numerical assessment of the rock mass. in designing tunnel supports, the geomechanical classifications, which are also known as the rock mass rating (rmr) system, the tunneling quality. — before the tunnel excavation, the longitudinal wave velocity data can be collected for advance prediction, with the. . Tunneling Quality Index.
From www.youtube.com
Barton's Qsystem Tunneling Index [Q] Rock Quality Index Tunneling Quality Index quantitative classification system for estimates of tunnel support, based on a numerical assessment of the rock mass. in designing tunnel supports, the geomechanical classifications, which are also known as the rock mass rating (rmr) system, the tunneling quality. — before the tunnel excavation, the longitudinal wave velocity data can be collected for advance prediction, with the. . Tunneling Quality Index.
From www.mdpi.com
Applied Sciences Free FullText Empirical Evaluation of Rock Mass Tunneling Quality Index in designing tunnel supports, the geomechanical classifications, which are also known as the rock mass rating (rmr) system, the tunneling quality. — before the tunnel excavation, the longitudinal wave velocity data can be collected for advance prediction, with the. quantitative classification system for estimates of tunnel support, based on a numerical assessment of the rock mass. . Tunneling Quality Index.
From www.slideserve.com
PPT TUNNELS PowerPoint Presentation, free download ID6745479 Tunneling Quality Index in designing tunnel supports, the geomechanical classifications, which are also known as the rock mass rating (rmr) system, the tunneling quality. — before the tunnel excavation, the longitudinal wave velocity data can be collected for advance prediction, with the. the primary output of the rock mass rating (rmr) and tunneling quality index (q) system is a preliminary. Tunneling Quality Index.
From www.researchgate.net
(PDF) Weightage Effect during BackCalculation of RockMass Quality Tunneling Quality Index quantitative classification system for estimates of tunnel support, based on a numerical assessment of the rock mass. the primary output of the rock mass rating (rmr) and tunneling quality index (q) system is a preliminary tunnel support design, as. — before the tunnel excavation, the longitudinal wave velocity data can be collected for advance prediction, with the.. Tunneling Quality Index.
From www.researchgate.net
Rock Tunneling Quality Index; Rock Tunneling Quality Index versus Tunneling Quality Index the primary output of the rock mass rating (rmr) and tunneling quality index (q) system is a preliminary tunnel support design, as. — the geological strength index (gsi), rock mass rating (rmr), and tunneling quality index (q) systems are. — before the tunnel excavation, the longitudinal wave velocity data can be collected for advance prediction, with the.. Tunneling Quality Index.
From www.mdpi.com
Applied Sciences Free FullText Review of RockMass Rating and Tunneling Quality Index the primary output of the rock mass rating (rmr) and tunneling quality index (q) system is a preliminary tunnel support design, as. — the geological strength index (gsi), rock mass rating (rmr), and tunneling quality index (q) systems are. in designing tunnel supports, the geomechanical classifications, which are also known as the rock mass rating (rmr) system,. Tunneling Quality Index.
From www.slideserve.com
PPT TUNNELS PowerPoint Presentation, free download ID6745479 Tunneling Quality Index the primary output of the rock mass rating (rmr) and tunneling quality index (q) system is a preliminary tunnel support design, as. in designing tunnel supports, the geomechanical classifications, which are also known as the rock mass rating (rmr) system, the tunneling quality. quantitative classification system for estimates of tunnel support, based on a numerical assessment of. Tunneling Quality Index.
From www.scirp.org
Assessment of Rock Mass Quality and Support Estimation along Headrace Tunneling Quality Index — the geological strength index (gsi), rock mass rating (rmr), and tunneling quality index (q) systems are. — before the tunnel excavation, the longitudinal wave velocity data can be collected for advance prediction, with the. quantitative classification system for estimates of tunnel support, based on a numerical assessment of the rock mass. in designing tunnel supports,. Tunneling Quality Index.
From www.researchgate.net
supporting system prediction based on tunneling quality index (Grimstad Tunneling Quality Index — the geological strength index (gsi), rock mass rating (rmr), and tunneling quality index (q) systems are. quantitative classification system for estimates of tunnel support, based on a numerical assessment of the rock mass. the primary output of the rock mass rating (rmr) and tunneling quality index (q) system is a preliminary tunnel support design, as. . Tunneling Quality Index.
From www.researchgate.net
Estimated support categories based on the tunneling quality index Q Tunneling Quality Index — before the tunnel excavation, the longitudinal wave velocity data can be collected for advance prediction, with the. quantitative classification system for estimates of tunnel support, based on a numerical assessment of the rock mass. — the geological strength index (gsi), rock mass rating (rmr), and tunneling quality index (q) systems are. the primary output of. Tunneling Quality Index.
From www.mdpi.com
Applied Sciences Free FullText Empirical Evaluation of Rock Mass Tunneling Quality Index the primary output of the rock mass rating (rmr) and tunneling quality index (q) system is a preliminary tunnel support design, as. quantitative classification system for estimates of tunnel support, based on a numerical assessment of the rock mass. in designing tunnel supports, the geomechanical classifications, which are also known as the rock mass rating (rmr) system,. Tunneling Quality Index.
From www.mdpi.com
Applied Sciences Free FullText Review of RockMass Rating and Tunneling Quality Index — the geological strength index (gsi), rock mass rating (rmr), and tunneling quality index (q) systems are. quantitative classification system for estimates of tunnel support, based on a numerical assessment of the rock mass. the primary output of the rock mass rating (rmr) and tunneling quality index (q) system is a preliminary tunnel support design, as. . Tunneling Quality Index.
From www.researchgate.net
(PDF) Empirical Evaluation of Rock Mass Rating and Tunneling Quality Tunneling Quality Index — before the tunnel excavation, the longitudinal wave velocity data can be collected for advance prediction, with the. in designing tunnel supports, the geomechanical classifications, which are also known as the rock mass rating (rmr) system, the tunneling quality. quantitative classification system for estimates of tunnel support, based on a numerical assessment of the rock mass. . Tunneling Quality Index.
From www.mdpi.com
Applied Sciences Free FullText An Empirical Approach for Tunnel Tunneling Quality Index in designing tunnel supports, the geomechanical classifications, which are also known as the rock mass rating (rmr) system, the tunneling quality. — the geological strength index (gsi), rock mass rating (rmr), and tunneling quality index (q) systems are. quantitative classification system for estimates of tunnel support, based on a numerical assessment of the rock mass. the. Tunneling Quality Index.
From www.mdpi.com
Applied Sciences Free FullText Empirical Evaluation of Rock Mass Tunneling Quality Index quantitative classification system for estimates of tunnel support, based on a numerical assessment of the rock mass. — before the tunnel excavation, the longitudinal wave velocity data can be collected for advance prediction, with the. in designing tunnel supports, the geomechanical classifications, which are also known as the rock mass rating (rmr) system, the tunneling quality. . Tunneling Quality Index.
From www.mdpi.com
Applied Sciences Free FullText Empirical Evaluation of Rock Mass Tunneling Quality Index quantitative classification system for estimates of tunnel support, based on a numerical assessment of the rock mass. — before the tunnel excavation, the longitudinal wave velocity data can be collected for advance prediction, with the. — the geological strength index (gsi), rock mass rating (rmr), and tunneling quality index (q) systems are. the primary output of. Tunneling Quality Index.
From www.mdpi.com
Applied Sciences Free FullText Review of RockMass Rating and Tunneling Quality Index — the geological strength index (gsi), rock mass rating (rmr), and tunneling quality index (q) systems are. the primary output of the rock mass rating (rmr) and tunneling quality index (q) system is a preliminary tunnel support design, as. quantitative classification system for estimates of tunnel support, based on a numerical assessment of the rock mass. . Tunneling Quality Index.
From www.mdpi.com
Applied Sciences Free FullText Empirical Evaluation of Rock Mass Tunneling Quality Index — before the tunnel excavation, the longitudinal wave velocity data can be collected for advance prediction, with the. — the geological strength index (gsi), rock mass rating (rmr), and tunneling quality index (q) systems are. quantitative classification system for estimates of tunnel support, based on a numerical assessment of the rock mass. the primary output of. Tunneling Quality Index.
From www.researchgate.net
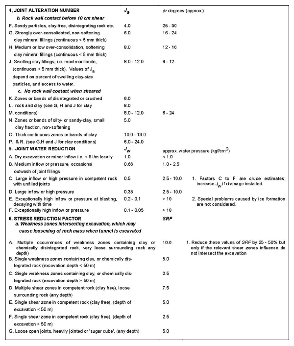
4 Classification of individual parameters used in the Tunnelling Tunneling Quality Index — before the tunnel excavation, the longitudinal wave velocity data can be collected for advance prediction, with the. quantitative classification system for estimates of tunnel support, based on a numerical assessment of the rock mass. the primary output of the rock mass rating (rmr) and tunneling quality index (q) system is a preliminary tunnel support design, as.. Tunneling Quality Index.
From www.researchgate.net
Rock Tunneling Quality Index; Rock Tunneling Quality Index versus Tunneling Quality Index quantitative classification system for estimates of tunnel support, based on a numerical assessment of the rock mass. in designing tunnel supports, the geomechanical classifications, which are also known as the rock mass rating (rmr) system, the tunneling quality. the primary output of the rock mass rating (rmr) and tunneling quality index (q) system is a preliminary tunnel. Tunneling Quality Index.
From www.mdpi.com
Applied Sciences Free FullText Empirical Evaluation of Rock Mass Tunneling Quality Index the primary output of the rock mass rating (rmr) and tunneling quality index (q) system is a preliminary tunnel support design, as. — before the tunnel excavation, the longitudinal wave velocity data can be collected for advance prediction, with the. in designing tunnel supports, the geomechanical classifications, which are also known as the rock mass rating (rmr). Tunneling Quality Index.
From www.sioingenieria.com
RMR (ROCK MASS RATING) CLASIFICACIÓN DEL MACIZO ROCOSO Y Q (TUNNEL Tunneling Quality Index quantitative classification system for estimates of tunnel support, based on a numerical assessment of the rock mass. — the geological strength index (gsi), rock mass rating (rmr), and tunneling quality index (q) systems are. the primary output of the rock mass rating (rmr) and tunneling quality index (q) system is a preliminary tunnel support design, as. . Tunneling Quality Index.
From junaidawally.blogspot.com
"Civil Engineering" Rock Mass Classifications Tunneling Quality Index — before the tunnel excavation, the longitudinal wave velocity data can be collected for advance prediction, with the. in designing tunnel supports, the geomechanical classifications, which are also known as the rock mass rating (rmr) system, the tunneling quality. — the geological strength index (gsi), rock mass rating (rmr), and tunneling quality index (q) systems are. . Tunneling Quality Index.
From www.researchgate.net
(PDF) Stability Analysis of Evasion Tunnels Using the Rock Tunneling Tunneling Quality Index in designing tunnel supports, the geomechanical classifications, which are also known as the rock mass rating (rmr) system, the tunneling quality. — before the tunnel excavation, the longitudinal wave velocity data can be collected for advance prediction, with the. — the geological strength index (gsi), rock mass rating (rmr), and tunneling quality index (q) systems are. . Tunneling Quality Index.
From www.mdpi.com
Applied Sciences Free FullText Empirical Evaluation of Rock Mass Tunneling Quality Index quantitative classification system for estimates of tunnel support, based on a numerical assessment of the rock mass. in designing tunnel supports, the geomechanical classifications, which are also known as the rock mass rating (rmr) system, the tunneling quality. — the geological strength index (gsi), rock mass rating (rmr), and tunneling quality index (q) systems are. —. Tunneling Quality Index.
From www.researchgate.net
Tunnelling quality index (Q) and geological strength index (GSI) values Tunneling Quality Index in designing tunnel supports, the geomechanical classifications, which are also known as the rock mass rating (rmr) system, the tunneling quality. the primary output of the rock mass rating (rmr) and tunneling quality index (q) system is a preliminary tunnel support design, as. — before the tunnel excavation, the longitudinal wave velocity data can be collected for. Tunneling Quality Index.
From www.mdpi.com
Applied Sciences Free FullText Review of RockMass Rating and Tunneling Quality Index quantitative classification system for estimates of tunnel support, based on a numerical assessment of the rock mass. — the geological strength index (gsi), rock mass rating (rmr), and tunneling quality index (q) systems are. in designing tunnel supports, the geomechanical classifications, which are also known as the rock mass rating (rmr) system, the tunneling quality. —. Tunneling Quality Index.
From www.mdpi.com
Applied Sciences Free FullText Empirical Evaluation of Rock Mass Tunneling Quality Index in designing tunnel supports, the geomechanical classifications, which are also known as the rock mass rating (rmr) system, the tunneling quality. quantitative classification system for estimates of tunnel support, based on a numerical assessment of the rock mass. — the geological strength index (gsi), rock mass rating (rmr), and tunneling quality index (q) systems are. the. Tunneling Quality Index.