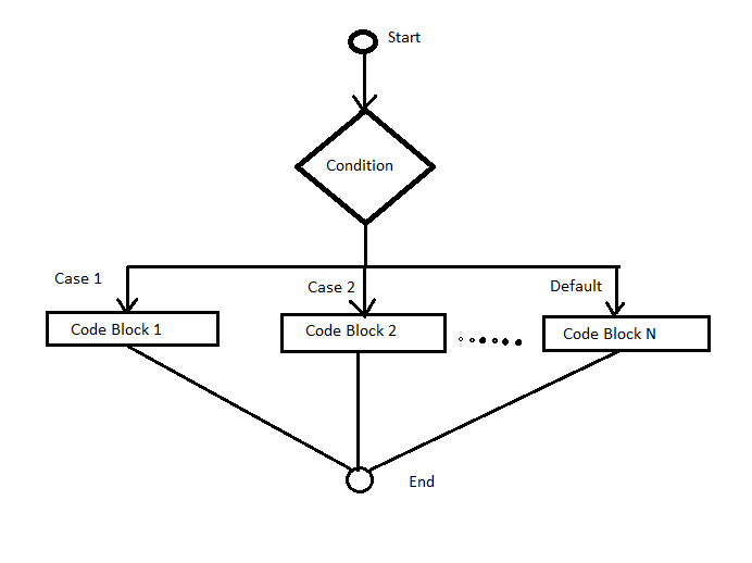
Switch Break Example In C . // default statements } how does the switch statement work? Learn switch case syntax, flow chart, and switch case example with programs. Switch statements can be nested inside each other. Switch(a*b+c*d) switch(a+b+c) break statements are used to exit a case. It can be used inside loops or switch statements to bring the control. When c reaches a break keyword, it breaks out of the switch block. Break statement in switch case. The break in c is a loop control statement that breaks out of the loop when encountered. Switch (expression) { case constant1: This will stop the execution of more code and case testing inside the block. Switch statement in c tests the value of a variable and compares it with multiple cases. Whenever a break statement is encountered in the.
from learnprogramo.com
Switch(a*b+c*d) switch(a+b+c) break statements are used to exit a case. This will stop the execution of more code and case testing inside the block. Learn switch case syntax, flow chart, and switch case example with programs. The break in c is a loop control statement that breaks out of the loop when encountered. Switch statement in c tests the value of a variable and compares it with multiple cases. Break statement in switch case. When c reaches a break keyword, it breaks out of the switch block. Whenever a break statement is encountered in the. It can be used inside loops or switch statements to bring the control. // default statements } how does the switch statement work?
Switch Case in C [ Break Statement With Explanation ] Learnprogramo
Switch Break Example In C Switch statement in c tests the value of a variable and compares it with multiple cases. Break statement in switch case. The break in c is a loop control statement that breaks out of the loop when encountered. When c reaches a break keyword, it breaks out of the switch block. It can be used inside loops or switch statements to bring the control. Switch(a*b+c*d) switch(a+b+c) break statements are used to exit a case. Whenever a break statement is encountered in the. This will stop the execution of more code and case testing inside the block. // default statements } how does the switch statement work? Learn switch case syntax, flow chart, and switch case example with programs. Switch (expression) { case constant1: Switch statements can be nested inside each other. Switch statement in c tests the value of a variable and compares it with multiple cases.
From learnprogramo.com
Switch Case in C [ Break Statement With Explanation ] Learnprogramo Switch Break Example In C Break statement in switch case. This will stop the execution of more code and case testing inside the block. Switch (expression) { case constant1: Switch statement in c tests the value of a variable and compares it with multiple cases. Switch statements can be nested inside each other. // default statements } how does the switch statement work? It can. Switch Break Example In C.
From www.delftstack.com
Breaks en las sentencias switch de C++ Delft Stack Switch Break Example In C Break statement in switch case. This will stop the execution of more code and case testing inside the block. Learn switch case syntax, flow chart, and switch case example with programs. Switch (expression) { case constant1: Switch(a*b+c*d) switch(a+b+c) break statements are used to exit a case. The break in c is a loop control statement that breaks out of the. Switch Break Example In C.
From www.algbly.com
C++ Switch...case Statement (with Examples) Algbly Switch Break Example In C When c reaches a break keyword, it breaks out of the switch block. Switch statements can be nested inside each other. Switch statement in c tests the value of a variable and compares it with multiple cases. This will stop the execution of more code and case testing inside the block. Switch (expression) { case constant1: Learn switch case syntax,. Switch Break Example In C.
From www.studypool.com
SOLUTION Multiple switch break using c language with sample flowchart Switch Break Example In C Switch statement in c tests the value of a variable and compares it with multiple cases. This will stop the execution of more code and case testing inside the block. Learn switch case syntax, flow chart, and switch case example with programs. Switch(a*b+c*d) switch(a+b+c) break statements are used to exit a case. The break in c is a loop control. Switch Break Example In C.
From www.studypool.com
SOLUTION Multiple switch break using c language with sample flowchart Switch Break Example In C Whenever a break statement is encountered in the. Switch statement in c tests the value of a variable and compares it with multiple cases. Switch (expression) { case constant1: It can be used inside loops or switch statements to bring the control. Switch(a*b+c*d) switch(a+b+c) break statements are used to exit a case. // default statements } how does the switch. Switch Break Example In C.
From www.slideserve.com
PPT Switch Statement in C++ PowerPoint Presentation, free download Switch Break Example In C Switch (expression) { case constant1: Switch(a*b+c*d) switch(a+b+c) break statements are used to exit a case. The break in c is a loop control statement that breaks out of the loop when encountered. Learn switch case syntax, flow chart, and switch case example with programs. Break statement in switch case. Switch statements can be nested inside each other. Switch statement in. Switch Break Example In C.
From www.infobrother.com
C++ Switch Statement InfoBrother Switch Break Example In C Whenever a break statement is encountered in the. The break in c is a loop control statement that breaks out of the loop when encountered. Break statement in switch case. Switch statements can be nested inside each other. It can be used inside loops or switch statements to bring the control. This will stop the execution of more code and. Switch Break Example In C.
From www.tenouk.com
The C tutorial programming on selection using switchcasebreak Switch Break Example In C Switch (expression) { case constant1: It can be used inside loops or switch statements to bring the control. Switch(a*b+c*d) switch(a+b+c) break statements are used to exit a case. When c reaches a break keyword, it breaks out of the switch block. Learn switch case syntax, flow chart, and switch case example with programs. Switch statement in c tests the value. Switch Break Example In C.
From www.youtube.com
switch, break, continue and goto statements in C (11) YouTube Switch Break Example In C When c reaches a break keyword, it breaks out of the switch block. Switch (expression) { case constant1: // default statements } how does the switch statement work? Break statement in switch case. This will stop the execution of more code and case testing inside the block. Switch statement in c tests the value of a variable and compares it. Switch Break Example In C.
From slidetodoc.com
COS 130 Switch break and constants Switch Statement Switch Break Example In C Break statement in switch case. // default statements } how does the switch statement work? Switch (expression) { case constant1: Switch statement in c tests the value of a variable and compares it with multiple cases. Whenever a break statement is encountered in the. The break in c is a loop control statement that breaks out of the loop when. Switch Break Example In C.
From www.youtube.com
Switch Statements, Break, & Continue C++ Tutorial 10 YouTube Switch Break Example In C Break statement in switch case. When c reaches a break keyword, it breaks out of the switch block. Switch (expression) { case constant1: Learn switch case syntax, flow chart, and switch case example with programs. // default statements } how does the switch statement work? Whenever a break statement is encountered in the. Switch(a*b+c*d) switch(a+b+c) break statements are used to. Switch Break Example In C.
From www.codingpanel.com
Switch statement in C Learn Coding Online Switch Break Example In C // default statements } how does the switch statement work? Switch statements can be nested inside each other. It can be used inside loops or switch statements to bring the control. Break statement in switch case. Switch(a*b+c*d) switch(a+b+c) break statements are used to exit a case. The break in c is a loop control statement that breaks out of the. Switch Break Example In C.
From www.studypool.com
SOLUTION Multiple switch break using c language with sample flowchart Switch Break Example In C It can be used inside loops or switch statements to bring the control. This will stop the execution of more code and case testing inside the block. Switch statement in c tests the value of a variable and compares it with multiple cases. Switch(a*b+c*d) switch(a+b+c) break statements are used to exit a case. Break statement in switch case. Learn switch. Switch Break Example In C.
From www.geeksforgeeks.org
Switch Statement in C/C++ Switch Break Example In C Switch (expression) { case constant1: Switch(a*b+c*d) switch(a+b+c) break statements are used to exit a case. // default statements } how does the switch statement work? Switch statements can be nested inside each other. It can be used inside loops or switch statements to bring the control. Break statement in switch case. This will stop the execution of more code and. Switch Break Example In C.
From www.scaler.com
Switch Case in C C Switch Statement with Examples Scaler Topics Switch Break Example In C When c reaches a break keyword, it breaks out of the switch block. Whenever a break statement is encountered in the. The break in c is a loop control statement that breaks out of the loop when encountered. Switch (expression) { case constant1: Learn switch case syntax, flow chart, and switch case example with programs. Break statement in switch case.. Switch Break Example In C.
From www.btechsmartclass.com
C Tutorials switch statement Control Statements in C Switch Break Example In C Whenever a break statement is encountered in the. Learn switch case syntax, flow chart, and switch case example with programs. This will stop the execution of more code and case testing inside the block. The break in c is a loop control statement that breaks out of the loop when encountered. When c reaches a break keyword, it breaks out. Switch Break Example In C.
From learningmonkey.in
Switch Statement in C Detailed Explanation Made Easy Lec 32 Switch Break Example In C Whenever a break statement is encountered in the. Learn switch case syntax, flow chart, and switch case example with programs. When c reaches a break keyword, it breaks out of the switch block. Switch(a*b+c*d) switch(a+b+c) break statements are used to exit a case. Switch (expression) { case constant1: This will stop the execution of more code and case testing inside. Switch Break Example In C.
From www.slideshare.net
[ITP Lecture 10] Switch Statement, Break and Continue Statement in Switch Break Example In C Switch statement in c tests the value of a variable and compares it with multiple cases. This will stop the execution of more code and case testing inside the block. // default statements } how does the switch statement work? When c reaches a break keyword, it breaks out of the switch block. The break in c is a loop. Switch Break Example In C.
From www.youtube.com
C Programming Tutorial Chapter 3(Nested Loop , Switch Break) YouTube Switch Break Example In C Switch(a*b+c*d) switch(a+b+c) break statements are used to exit a case. // default statements } how does the switch statement work? The break in c is a loop control statement that breaks out of the loop when encountered. This will stop the execution of more code and case testing inside the block. When c reaches a break keyword, it breaks out. Switch Break Example In C.
From www.slideserve.com
PPT Control Structures PowerPoint Presentation, free download ID Switch Break Example In C Break statement in switch case. Learn switch case syntax, flow chart, and switch case example with programs. It can be used inside loops or switch statements to bring the control. Switch statement in c tests the value of a variable and compares it with multiple cases. // default statements } how does the switch statement work? Switch(a*b+c*d) switch(a+b+c) break statements. Switch Break Example In C.
From www.slideserve.com
PPT Chapter3 Structured Program Development in C++ PowerPoint Switch Break Example In C It can be used inside loops or switch statements to bring the control. When c reaches a break keyword, it breaks out of the switch block. Switch(a*b+c*d) switch(a+b+c) break statements are used to exit a case. // default statements } how does the switch statement work? Break statement in switch case. The break in c is a loop control statement. Switch Break Example In C.
From www.algbly.com
C break and continue (with examples) Algbly Switch Break Example In C Switch statements can be nested inside each other. Break statement in switch case. The break in c is a loop control statement that breaks out of the loop when encountered. This will stop the execution of more code and case testing inside the block. Whenever a break statement is encountered in the. When c reaches a break keyword, it breaks. Switch Break Example In C.
From www.codingpanel.com
break and continue statements in C Learn Coding Online Switch Break Example In C This will stop the execution of more code and case testing inside the block. Switch (expression) { case constant1: Switch statements can be nested inside each other. Learn switch case syntax, flow chart, and switch case example with programs. Whenever a break statement is encountered in the. The break in c is a loop control statement that breaks out of. Switch Break Example In C.
From fahad-cprogramming.blogspot.com
Switch statement in C++ programming C++ Programming Tutorial for Switch Break Example In C // default statements } how does the switch statement work? Switch(a*b+c*d) switch(a+b+c) break statements are used to exit a case. Learn switch case syntax, flow chart, and switch case example with programs. Break statement in switch case. It can be used inside loops or switch statements to bring the control. Switch statement in c tests the value of a variable. Switch Break Example In C.
From sillycodes.com
break statement in C Language with Example programs Switch Break Example In C Break statement in switch case. It can be used inside loops or switch statements to bring the control. Switch statement in c tests the value of a variable and compares it with multiple cases. The break in c is a loop control statement that breaks out of the loop when encountered. Switch(a*b+c*d) switch(a+b+c) break statements are used to exit a. Switch Break Example In C.
From www.youtube.com
usage of break statement in switch statements C++ switch case Switch Break Example In C Switch (expression) { case constant1: Switch statement in c tests the value of a variable and compares it with multiple cases. Break statement in switch case. // default statements } how does the switch statement work? Whenever a break statement is encountered in the. It can be used inside loops or switch statements to bring the control. This will stop. Switch Break Example In C.
From www.programiz.com
C++ switch...case Statement (With Examples) Switch Break Example In C This will stop the execution of more code and case testing inside the block. Switch (expression) { case constant1: Switch statement in c tests the value of a variable and compares it with multiple cases. It can be used inside loops or switch statements to bring the control. Learn switch case syntax, flow chart, and switch case example with programs.. Switch Break Example In C.
From www.instms.com
Switch Statement Cpp Tutorial Switch Break Example In C Switch statement in c tests the value of a variable and compares it with multiple cases. // default statements } how does the switch statement work? Break statement in switch case. When c reaches a break keyword, it breaks out of the switch block. This will stop the execution of more code and case testing inside the block. Whenever a. Switch Break Example In C.
From www.youtube.com
C C switch/break YouTube Switch Break Example In C Whenever a break statement is encountered in the. Switch statement in c tests the value of a variable and compares it with multiple cases. The break in c is a loop control statement that breaks out of the loop when encountered. This will stop the execution of more code and case testing inside the block. It can be used inside. Switch Break Example In C.
From es.acervolima.com
Toma de decisiones de C (if, ifelse, ifelseif ladder, anidado if Switch Break Example In C Learn switch case syntax, flow chart, and switch case example with programs. Break statement in switch case. Switch statement in c tests the value of a variable and compares it with multiple cases. Whenever a break statement is encountered in the. Switch (expression) { case constant1: Switch(a*b+c*d) switch(a+b+c) break statements are used to exit a case. This will stop the. Switch Break Example In C.
From www.atnyla.com
switch case in C Programming Language atnyla Switch Break Example In C It can be used inside loops or switch statements to bring the control. Break statement in switch case. When c reaches a break keyword, it breaks out of the switch block. This will stop the execution of more code and case testing inside the block. Switch (expression) { case constant1: Switch statement in c tests the value of a variable. Switch Break Example In C.
From www.delftstack.com
Breaks in C++ Switch Statement Delft Stack Switch Break Example In C Whenever a break statement is encountered in the. When c reaches a break keyword, it breaks out of the switch block. Switch statements can be nested inside each other. // default statements } how does the switch statement work? Switch(a*b+c*d) switch(a+b+c) break statements are used to exit a case. Switch (expression) { case constant1: Learn switch case syntax, flow chart,. Switch Break Example In C.
From instrumentationtools.com
Switch Types and Common Terminology Inst Tools Switch Break Example In C Learn switch case syntax, flow chart, and switch case example with programs. Switch statement in c tests the value of a variable and compares it with multiple cases. Switch statements can be nested inside each other. The break in c is a loop control statement that breaks out of the loop when encountered. Break statement in switch case. Whenever a. Switch Break Example In C.
From www.youtube.com
CURSO DE C++ Cap. 6 Sentencias Switch Break Case YouTube Switch Break Example In C Switch(a*b+c*d) switch(a+b+c) break statements are used to exit a case. When c reaches a break keyword, it breaks out of the switch block. Break statement in switch case. It can be used inside loops or switch statements to bring the control. Switch statements can be nested inside each other. This will stop the execution of more code and case testing. Switch Break Example In C.
From www.howtoforge.com
Linux C Programming Tutorial Part 16 Switch, Break, and Continue Switch Break Example In C When c reaches a break keyword, it breaks out of the switch block. Switch(a*b+c*d) switch(a+b+c) break statements are used to exit a case. Switch (expression) { case constant1: Switch statements can be nested inside each other. Whenever a break statement is encountered in the. // default statements } how does the switch statement work? Learn switch case syntax, flow chart,. Switch Break Example In C.