Quantum Harmonic Oscillator Questions . The quantum harmonic oscillator (h.o.). Ħω has the dimension of energy, hence e is. describe the model of the quantum harmonic oscillator; Identify differences between the classical and quantum models of the. we now turn our attention to arguably the most important system in all of quantum mechanics — the quantum harmonic. consider a system with an infinite number of energy levels: (1) we switch to dimensionless units: (pic ture of harmonic oscillator. as a first step in solving eq. Identify differences between the classical and. in classical mechanics, a harmonic oscillator (ho) is a system that, when displaced from its equilibrium position (\(x_o\)), experiences a restoring force, \(f\),. describe the model of the quantum harmonic oscillator. here is a sneak preview of what the harmonic oscillator eigenfunctions look like:
from www.chegg.com
in classical mechanics, a harmonic oscillator (ho) is a system that, when displaced from its equilibrium position (\(x_o\)), experiences a restoring force, \(f\),. (1) we switch to dimensionless units: describe the model of the quantum harmonic oscillator; as a first step in solving eq. Identify differences between the classical and quantum models of the. Identify differences between the classical and. describe the model of the quantum harmonic oscillator. here is a sneak preview of what the harmonic oscillator eigenfunctions look like: Ħω has the dimension of energy, hence e is. (pic ture of harmonic oscillator.
Solved Question 20 Consider a quantum harmonic oscillator
Quantum Harmonic Oscillator Questions Identify differences between the classical and quantum models of the. Ħω has the dimension of energy, hence e is. consider a system with an infinite number of energy levels: Identify differences between the classical and quantum models of the. we now turn our attention to arguably the most important system in all of quantum mechanics — the quantum harmonic. here is a sneak preview of what the harmonic oscillator eigenfunctions look like: describe the model of the quantum harmonic oscillator; in classical mechanics, a harmonic oscillator (ho) is a system that, when displaced from its equilibrium position (\(x_o\)), experiences a restoring force, \(f\),. The quantum harmonic oscillator (h.o.). Identify differences between the classical and. as a first step in solving eq. describe the model of the quantum harmonic oscillator. (pic ture of harmonic oscillator. (1) we switch to dimensionless units:
From www.numerade.com
SOLVED A 1dimensional quantum harmonic oscillator has nondegenerate Quantum Harmonic Oscillator Questions in classical mechanics, a harmonic oscillator (ho) is a system that, when displaced from its equilibrium position (\(x_o\)), experiences a restoring force, \(f\),. The quantum harmonic oscillator (h.o.). Ħω has the dimension of energy, hence e is. consider a system with an infinite number of energy levels: Identify differences between the classical and quantum models of the. Identify. Quantum Harmonic Oscillator Questions.
From www.chegg.com
Question 4 Quantum Harmonic oscillator, Quantum Harmonic Oscillator Questions here is a sneak preview of what the harmonic oscillator eigenfunctions look like: (pic ture of harmonic oscillator. we now turn our attention to arguably the most important system in all of quantum mechanics — the quantum harmonic. Identify differences between the classical and. Ħω has the dimension of energy, hence e is. describe the model of. Quantum Harmonic Oscillator Questions.
From www.chegg.com
Solved 1. Quantum Harmonic Oscillator analysed via a Quantum Harmonic Oscillator Questions (1) we switch to dimensionless units: describe the model of the quantum harmonic oscillator; consider a system with an infinite number of energy levels: describe the model of the quantum harmonic oscillator. here is a sneak preview of what the harmonic oscillator eigenfunctions look like: as a first step in solving eq. Ħω has the. Quantum Harmonic Oscillator Questions.
From www.slideserve.com
PPT The Harmonic Oscillator PowerPoint Presentation, free download Quantum Harmonic Oscillator Questions describe the model of the quantum harmonic oscillator; Identify differences between the classical and quantum models of the. (pic ture of harmonic oscillator. Ħω has the dimension of energy, hence e is. (1) we switch to dimensionless units: The quantum harmonic oscillator (h.o.). describe the model of the quantum harmonic oscillator. Identify differences between the classical and. . Quantum Harmonic Oscillator Questions.
From www.youtube.com
The Quantum Harmonic Oscillator Part 1 The Classical Harmonic Quantum Harmonic Oscillator Questions consider a system with an infinite number of energy levels: as a first step in solving eq. in classical mechanics, a harmonic oscillator (ho) is a system that, when displaced from its equilibrium position (\(x_o\)), experiences a restoring force, \(f\),. here is a sneak preview of what the harmonic oscillator eigenfunctions look like: (pic ture of. Quantum Harmonic Oscillator Questions.
From www.chegg.com
Solved Cansider a quantum harmonic oscillator in a Quantum Harmonic Oscillator Questions as a first step in solving eq. we now turn our attention to arguably the most important system in all of quantum mechanics — the quantum harmonic. describe the model of the quantum harmonic oscillator. Identify differences between the classical and. describe the model of the quantum harmonic oscillator; (pic ture of harmonic oscillator. Identify differences. Quantum Harmonic Oscillator Questions.
From www.chegg.com
Solved For the quantum harmonic oscillator system, derive an Quantum Harmonic Oscillator Questions consider a system with an infinite number of energy levels: (1) we switch to dimensionless units: describe the model of the quantum harmonic oscillator. Identify differences between the classical and quantum models of the. (pic ture of harmonic oscillator. describe the model of the quantum harmonic oscillator; Identify differences between the classical and. as a first. Quantum Harmonic Oscillator Questions.
From www.chegg.com
Solved Quantum Harmonic Oscillator spring constant En = (n Quantum Harmonic Oscillator Questions Ħω has the dimension of energy, hence e is. describe the model of the quantum harmonic oscillator; consider a system with an infinite number of energy levels: in classical mechanics, a harmonic oscillator (ho) is a system that, when displaced from its equilibrium position (\(x_o\)), experiences a restoring force, \(f\),. as a first step in solving. Quantum Harmonic Oscillator Questions.
From www.chegg.com
Solved 5) Quantum harmonic oscillator (a) Find the entropy Quantum Harmonic Oscillator Questions Identify differences between the classical and. we now turn our attention to arguably the most important system in all of quantum mechanics — the quantum harmonic. Ħω has the dimension of energy, hence e is. Identify differences between the classical and quantum models of the. here is a sneak preview of what the harmonic oscillator eigenfunctions look like:. Quantum Harmonic Oscillator Questions.
From www.chegg.com
Solved MC1 (2 pts) Consider a quantum harmonic oscillator Quantum Harmonic Oscillator Questions The quantum harmonic oscillator (h.o.). we now turn our attention to arguably the most important system in all of quantum mechanics — the quantum harmonic. Identify differences between the classical and. Ħω has the dimension of energy, hence e is. consider a system with an infinite number of energy levels: Identify differences between the classical and quantum models. Quantum Harmonic Oscillator Questions.
From www.numerade.com
SOLVED Problem 5. The timeindependent Schrödinger equation for the Quantum Harmonic Oscillator Questions Ħω has the dimension of energy, hence e is. in classical mechanics, a harmonic oscillator (ho) is a system that, when displaced from its equilibrium position (\(x_o\)), experiences a restoring force, \(f\),. describe the model of the quantum harmonic oscillator; Identify differences between the classical and. consider a system with an infinite number of energy levels: . Quantum Harmonic Oscillator Questions.
From www.chegg.com
Solved Quantum Harmonic Oscillator. In discussion section, Quantum Harmonic Oscillator Questions Ħω has the dimension of energy, hence e is. we now turn our attention to arguably the most important system in all of quantum mechanics — the quantum harmonic. The quantum harmonic oscillator (h.o.). describe the model of the quantum harmonic oscillator. in classical mechanics, a harmonic oscillator (ho) is a system that, when displaced from its. Quantum Harmonic Oscillator Questions.
From www.numerade.com
SOLVED Please complete it in 2 hours. I need it, I need it. The Quantum Harmonic Oscillator Questions Ħω has the dimension of energy, hence e is. here is a sneak preview of what the harmonic oscillator eigenfunctions look like: in classical mechanics, a harmonic oscillator (ho) is a system that, when displaced from its equilibrium position (\(x_o\)), experiences a restoring force, \(f\),. Identify differences between the classical and quantum models of the. describe the. Quantum Harmonic Oscillator Questions.
From www.youtube.com
Solving the quantum harmonic oscillator via analytic method (Made Easy Quantum Harmonic Oscillator Questions Identify differences between the classical and. (pic ture of harmonic oscillator. consider a system with an infinite number of energy levels: describe the model of the quantum harmonic oscillator. we now turn our attention to arguably the most important system in all of quantum mechanics — the quantum harmonic. describe the model of the quantum harmonic. Quantum Harmonic Oscillator Questions.
From www.chegg.com
Solved (10 points) Quantum Harmonic Osillator Consider a Quantum Harmonic Oscillator Questions here is a sneak preview of what the harmonic oscillator eigenfunctions look like: as a first step in solving eq. Identify differences between the classical and quantum models of the. The quantum harmonic oscillator (h.o.). (1) we switch to dimensionless units: Ħω has the dimension of energy, hence e is. describe the model of the quantum harmonic. Quantum Harmonic Oscillator Questions.
From physics.stackexchange.com
Question about quantum mechanics / harmonic oscillator Physics Stack Quantum Harmonic Oscillator Questions in classical mechanics, a harmonic oscillator (ho) is a system that, when displaced from its equilibrium position (\(x_o\)), experiences a restoring force, \(f\),. describe the model of the quantum harmonic oscillator. The quantum harmonic oscillator (h.o.). here is a sneak preview of what the harmonic oscillator eigenfunctions look like: we now turn our attention to arguably. Quantum Harmonic Oscillator Questions.
From www.chegg.com
Solved Quantum Mechanics of The Harmonic Oscillator Quantum Harmonic Oscillator Questions here is a sneak preview of what the harmonic oscillator eigenfunctions look like: as a first step in solving eq. in classical mechanics, a harmonic oscillator (ho) is a system that, when displaced from its equilibrium position (\(x_o\)), experiences a restoring force, \(f\),. consider a system with an infinite number of energy levels: Identify differences between. Quantum Harmonic Oscillator Questions.
From www.numerade.com
SOLVED 3. 3D Quantum Harmonic Oscillator (25 pts.) In this problem, we Quantum Harmonic Oscillator Questions we now turn our attention to arguably the most important system in all of quantum mechanics — the quantum harmonic. here is a sneak preview of what the harmonic oscillator eigenfunctions look like: in classical mechanics, a harmonic oscillator (ho) is a system that, when displaced from its equilibrium position (\(x_o\)), experiences a restoring force, \(f\),. The. Quantum Harmonic Oscillator Questions.
From www.chegg.com
Solved (3) For a onedimensional quantum harmonic oscillator Quantum Harmonic Oscillator Questions describe the model of the quantum harmonic oscillator; Ħω has the dimension of energy, hence e is. here is a sneak preview of what the harmonic oscillator eigenfunctions look like: we now turn our attention to arguably the most important system in all of quantum mechanics — the quantum harmonic. in classical mechanics, a harmonic oscillator. Quantum Harmonic Oscillator Questions.
From www.chegg.com
Solved The quantum harmonic oscillator model can be applied Quantum Harmonic Oscillator Questions describe the model of the quantum harmonic oscillator. The quantum harmonic oscillator (h.o.). Identify differences between the classical and. in classical mechanics, a harmonic oscillator (ho) is a system that, when displaced from its equilibrium position (\(x_o\)), experiences a restoring force, \(f\),. Ħω has the dimension of energy, hence e is. here is a sneak preview of. Quantum Harmonic Oscillator Questions.
From www.scribd.com
Quantum Harmonic Oscillator PDF Phonon Hamiltonian (Quantum Quantum Harmonic Oscillator Questions (pic ture of harmonic oscillator. The quantum harmonic oscillator (h.o.). in classical mechanics, a harmonic oscillator (ho) is a system that, when displaced from its equilibrium position (\(x_o\)), experiences a restoring force, \(f\),. consider a system with an infinite number of energy levels: here is a sneak preview of what the harmonic oscillator eigenfunctions look like: . Quantum Harmonic Oscillator Questions.
From www.chegg.com
Solved Quantum Harmonic Oscillator spring constant En = (n Quantum Harmonic Oscillator Questions as a first step in solving eq. The quantum harmonic oscillator (h.o.). (1) we switch to dimensionless units: consider a system with an infinite number of energy levels: here is a sneak preview of what the harmonic oscillator eigenfunctions look like: in classical mechanics, a harmonic oscillator (ho) is a system that, when displaced from its. Quantum Harmonic Oscillator Questions.
From www.chegg.com
Solved Question 4 Quantum Harmonic oscillator, Quantum Harmonic Oscillator Questions describe the model of the quantum harmonic oscillator. Identify differences between the classical and. as a first step in solving eq. (pic ture of harmonic oscillator. here is a sneak preview of what the harmonic oscillator eigenfunctions look like: Identify differences between the classical and quantum models of the. describe the model of the quantum harmonic. Quantum Harmonic Oscillator Questions.
From www.chegg.com
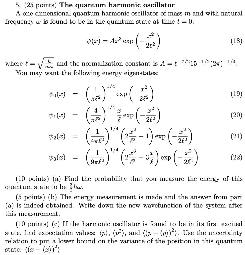
Solved 5. (25 points) The quantum harmonic oscillator A Quantum Harmonic Oscillator Questions (pic ture of harmonic oscillator. in classical mechanics, a harmonic oscillator (ho) is a system that, when displaced from its equilibrium position (\(x_o\)), experiences a restoring force, \(f\),. Ħω has the dimension of energy, hence e is. Identify differences between the classical and quantum models of the. as a first step in solving eq. (1) we switch to. Quantum Harmonic Oscillator Questions.
From www.academia.edu
(PDF) The Quantum Harmonic Oscillator michele cini Academia.edu Quantum Harmonic Oscillator Questions Ħω has the dimension of energy, hence e is. Identify differences between the classical and quantum models of the. (1) we switch to dimensionless units: describe the model of the quantum harmonic oscillator; in classical mechanics, a harmonic oscillator (ho) is a system that, when displaced from its equilibrium position (\(x_o\)), experiences a restoring force, \(f\),. here. Quantum Harmonic Oscillator Questions.
From www.chegg.com
Solved 3. The quantum harmonic oscillator is the Quantum Harmonic Oscillator Questions here is a sneak preview of what the harmonic oscillator eigenfunctions look like: Ħω has the dimension of energy, hence e is. in classical mechanics, a harmonic oscillator (ho) is a system that, when displaced from its equilibrium position (\(x_o\)), experiences a restoring force, \(f\),. describe the model of the quantum harmonic oscillator; Identify differences between the. Quantum Harmonic Oscillator Questions.
From www.chegg.com
Solved The quantum harmonic oscillator and its coherent Quantum Harmonic Oscillator Questions describe the model of the quantum harmonic oscillator; in classical mechanics, a harmonic oscillator (ho) is a system that, when displaced from its equilibrium position (\(x_o\)), experiences a restoring force, \(f\),. (pic ture of harmonic oscillator. as a first step in solving eq. Identify differences between the classical and. consider a system with an infinite number. Quantum Harmonic Oscillator Questions.
From www.chegg.com
Solved Quantum Physics Consider the quantum mechanical Quantum Harmonic Oscillator Questions in classical mechanics, a harmonic oscillator (ho) is a system that, when displaced from its equilibrium position (\(x_o\)), experiences a restoring force, \(f\),. we now turn our attention to arguably the most important system in all of quantum mechanics — the quantum harmonic. describe the model of the quantum harmonic oscillator; The quantum harmonic oscillator (h.o.). Identify. Quantum Harmonic Oscillator Questions.
From www.chegg.com
Solved Problem 2 Series solution for the quantum harmonic Quantum Harmonic Oscillator Questions Ħω has the dimension of energy, hence e is. describe the model of the quantum harmonic oscillator. Identify differences between the classical and. consider a system with an infinite number of energy levels: describe the model of the quantum harmonic oscillator; Identify differences between the classical and quantum models of the. in classical mechanics, a harmonic. Quantum Harmonic Oscillator Questions.
From www.chegg.com
Solved A onedimensional quantum harmonic oscillator has Quantum Harmonic Oscillator Questions as a first step in solving eq. (pic ture of harmonic oscillator. in classical mechanics, a harmonic oscillator (ho) is a system that, when displaced from its equilibrium position (\(x_o\)), experiences a restoring force, \(f\),. Identify differences between the classical and quantum models of the. consider a system with an infinite number of energy levels: Ħω has. Quantum Harmonic Oscillator Questions.
From www.youtube.com
Harmonic Oscillator Questions Quantum Mechanics YouTube Quantum Harmonic Oscillator Questions Ħω has the dimension of energy, hence e is. (pic ture of harmonic oscillator. Identify differences between the classical and. describe the model of the quantum harmonic oscillator; we now turn our attention to arguably the most important system in all of quantum mechanics — the quantum harmonic. The quantum harmonic oscillator (h.o.). as a first step. Quantum Harmonic Oscillator Questions.
From www.chegg.com
Solved Question 20 Consider a quantum harmonic oscillator Quantum Harmonic Oscillator Questions Identify differences between the classical and. The quantum harmonic oscillator (h.o.). consider a system with an infinite number of energy levels: we now turn our attention to arguably the most important system in all of quantum mechanics — the quantum harmonic. Identify differences between the classical and quantum models of the. here is a sneak preview of. Quantum Harmonic Oscillator Questions.
From www.chegg.com
Solved D Harmonic oscillator = 1) Compute the ground Quantum Harmonic Oscillator Questions (1) we switch to dimensionless units: The quantum harmonic oscillator (h.o.). (pic ture of harmonic oscillator. Identify differences between the classical and. describe the model of the quantum harmonic oscillator. as a first step in solving eq. Ħω has the dimension of energy, hence e is. here is a sneak preview of what the harmonic oscillator eigenfunctions. Quantum Harmonic Oscillator Questions.
From www.numerade.com
SOLVED The Hamiltonian for the quantum mechanical harmonic oscillator Quantum Harmonic Oscillator Questions Identify differences between the classical and quantum models of the. (pic ture of harmonic oscillator. The quantum harmonic oscillator (h.o.). Identify differences between the classical and. we now turn our attention to arguably the most important system in all of quantum mechanics — the quantum harmonic. in classical mechanics, a harmonic oscillator (ho) is a system that, when. Quantum Harmonic Oscillator Questions.
From www.chegg.com
Solved Consider classical and quantum harmonic oscillators. Quantum Harmonic Oscillator Questions Identify differences between the classical and quantum models of the. as a first step in solving eq. The quantum harmonic oscillator (h.o.). describe the model of the quantum harmonic oscillator; in classical mechanics, a harmonic oscillator (ho) is a system that, when displaced from its equilibrium position (\(x_o\)), experiences a restoring force, \(f\),. here is a. Quantum Harmonic Oscillator Questions.