National Guard Armory East Flat Rock Nc . The 211th north carolina national guard unit is now stationed solely out of the armory in east flat rock, a move in the national guard’s. National guard armory can be. National guard armory is located at 2025 spartanburg hwy in east flat rock, north carolina 28726. See reviews, map, get the address, and find directions. A crowd gathered to honor a local army national guardsman killed in iraq with a henderson county armory now named after him. Get more information for nc national guard armory in east flat rock, nc. East flat rock, nc 28726. The army national guard armory in east flat rock nc is a military facility featured on facebook. By 1959, the fair moved to mills street off u.s. 176 behind today’s national guard armory in east flat rock, where it remained until the early 1990s. The army national guard in east flat rock, nc offers a range of. After 40 years at the clyde armory, the 211th national guard unit is now consolidated into the guard unit in east flat rock, in henderson county.
from www.reddit.com
National guard armory can be. The 211th north carolina national guard unit is now stationed solely out of the armory in east flat rock, a move in the national guard’s. Get more information for nc national guard armory in east flat rock, nc. The army national guard in east flat rock, nc offers a range of. National guard armory is located at 2025 spartanburg hwy in east flat rock, north carolina 28726. 176 behind today’s national guard armory in east flat rock, where it remained until the early 1990s. See reviews, map, get the address, and find directions. After 40 years at the clyde armory, the 211th national guard unit is now consolidated into the guard unit in east flat rock, in henderson county. By 1959, the fair moved to mills street off u.s. The army national guard armory in east flat rock nc is a military facility featured on facebook.
National Guard Armory, Worcester, Massachusetts, 1906 > 2019 r
National Guard Armory East Flat Rock Nc National guard armory can be. See reviews, map, get the address, and find directions. By 1959, the fair moved to mills street off u.s. The 211th north carolina national guard unit is now stationed solely out of the armory in east flat rock, a move in the national guard’s. National guard armory is located at 2025 spartanburg hwy in east flat rock, north carolina 28726. A crowd gathered to honor a local army national guardsman killed in iraq with a henderson county armory now named after him. The army national guard armory in east flat rock nc is a military facility featured on facebook. 176 behind today’s national guard armory in east flat rock, where it remained until the early 1990s. National guard armory can be. After 40 years at the clyde armory, the 211th national guard unit is now consolidated into the guard unit in east flat rock, in henderson county. The army national guard in east flat rock, nc offers a range of. East flat rock, nc 28726. Get more information for nc national guard armory in east flat rock, nc.
From www.114fw.ang.af.mil
S.D. National Guard celebrates the Month of the Military Child > 114th National Guard Armory East Flat Rock Nc After 40 years at the clyde armory, the 211th national guard unit is now consolidated into the guard unit in east flat rock, in henderson county. East flat rock, nc 28726. National guard armory is located at 2025 spartanburg hwy in east flat rock, north carolina 28726. By 1959, the fair moved to mills street off u.s. Get more information. National Guard Armory East Flat Rock Nc.
From www.clermontbattalion.com
National Guard Armory Field Trip Clermont Battalion National Guard Armory East Flat Rock Nc After 40 years at the clyde armory, the 211th national guard unit is now consolidated into the guard unit in east flat rock, in henderson county. 176 behind today’s national guard armory in east flat rock, where it remained until the early 1990s. A crowd gathered to honor a local army national guardsman killed in iraq with a henderson county. National Guard Armory East Flat Rock Nc.
From www.clermontbattalion.com
National Guard Armory Field Trip Clermont Battalion National Guard Armory East Flat Rock Nc The army national guard armory in east flat rock nc is a military facility featured on facebook. By 1959, the fair moved to mills street off u.s. The 211th north carolina national guard unit is now stationed solely out of the armory in east flat rock, a move in the national guard’s. 176 behind today’s national guard armory in east. National Guard Armory East Flat Rock Nc.
From allevents.in
Winter Haven Gun Show, National Guard Armory, Winter Haven, 23 April to National Guard Armory East Flat Rock Nc A crowd gathered to honor a local army national guardsman killed in iraq with a henderson county armory now named after him. East flat rock, nc 28726. By 1959, the fair moved to mills street off u.s. The army national guard armory in east flat rock nc is a military facility featured on facebook. 176 behind today’s national guard armory. National Guard Armory East Flat Rock Nc.
From www.gettysburgdaily.com
National Park Service Has Not Yet Acquired the National Guard Armory National Guard Armory East Flat Rock Nc After 40 years at the clyde armory, the 211th national guard unit is now consolidated into the guard unit in east flat rock, in henderson county. The army national guard armory in east flat rock nc is a military facility featured on facebook. 176 behind today’s national guard armory in east flat rock, where it remained until the early 1990s.. National Guard Armory East Flat Rock Nc.
From www.templateroller.com
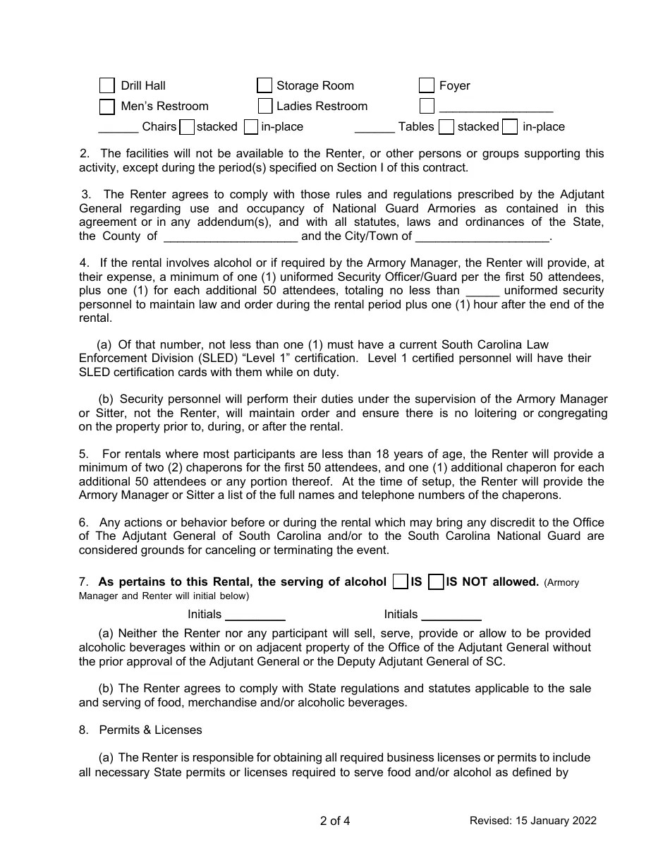
South Carolina National Guard Armory Rental Contract Download Fillable National Guard Armory East Flat Rock Nc National guard armory is located at 2025 spartanburg hwy in east flat rock, north carolina 28726. National guard armory can be. The army national guard in east flat rock, nc offers a range of. Get more information for nc national guard armory in east flat rock, nc. By 1959, the fair moved to mills street off u.s. See reviews, map,. National Guard Armory East Flat Rock Nc.
From www.flickr.com
Old National Guard Armory (Guthrie, Oklahoma) Built in 193… Flickr National Guard Armory East Flat Rock Nc National guard armory is located at 2025 spartanburg hwy in east flat rock, north carolina 28726. See reviews, map, get the address, and find directions. The army national guard armory in east flat rock nc is a military facility featured on facebook. The 211th north carolina national guard unit is now stationed solely out of the armory in east flat. National Guard Armory East Flat Rock Nc.
From www.chathamnewsrecord.com
Soldiers deploy from Siler City’s armory The Chatham News + Record National Guard Armory East Flat Rock Nc A crowd gathered to honor a local army national guardsman killed in iraq with a henderson county armory now named after him. National guard armory can be. The army national guard in east flat rock, nc offers a range of. 176 behind today’s national guard armory in east flat rock, where it remained until the early 1990s. The army national. National Guard Armory East Flat Rock Nc.
From www.nationalguard.mil
Historic New York National Guard Armory is now in the Sandstone Hall of National Guard Armory East Flat Rock Nc East flat rock, nc 28726. See reviews, map, get the address, and find directions. Get more information for nc national guard armory in east flat rock, nc. The army national guard armory in east flat rock nc is a military facility featured on facebook. National guard armory is located at 2025 spartanburg hwy in east flat rock, north carolina 28726.. National Guard Armory East Flat Rock Nc.
From www.dvidshub.net
DVIDS Video Historical Oklahoma Army National Guard armory National Guard Armory East Flat Rock Nc A crowd gathered to honor a local army national guardsman killed in iraq with a henderson county armory now named after him. The 211th north carolina national guard unit is now stationed solely out of the armory in east flat rock, a move in the national guard’s. East flat rock, nc 28726. By 1959, the fair moved to mills street. National Guard Armory East Flat Rock Nc.
From www.mountainlodgeflatrock.com
Chimney Rock State Park National Guard Armory East Flat Rock Nc Get more information for nc national guard armory in east flat rock, nc. National guard armory can be. The 211th north carolina national guard unit is now stationed solely out of the armory in east flat rock, a move in the national guard’s. A crowd gathered to honor a local army national guardsman killed in iraq with a henderson county. National Guard Armory East Flat Rock Nc.
From www.defense.gov
Unflagging Dedication National Guard Armory East Flat Rock Nc National guard armory is located at 2025 spartanburg hwy in east flat rock, north carolina 28726. See reviews, map, get the address, and find directions. National guard armory can be. By 1959, the fair moved to mills street off u.s. The army national guard in east flat rock, nc offers a range of. Get more information for nc national guard. National Guard Armory East Flat Rock Nc.
From www.thehistorycenteronline.com
Soldiers at National Guard Armory, Lufkin,… The History Center National Guard Armory East Flat Rock Nc National guard armory is located at 2025 spartanburg hwy in east flat rock, north carolina 28726. National guard armory can be. The army national guard armory in east flat rock nc is a military facility featured on facebook. See reviews, map, get the address, and find directions. After 40 years at the clyde armory, the 211th national guard unit is. National Guard Armory East Flat Rock Nc.
From upnorthlive.com
National Guard Armory coming to Traverse City National Guard Armory East Flat Rock Nc See reviews, map, get the address, and find directions. National guard armory can be. The army national guard armory in east flat rock nc is a military facility featured on facebook. East flat rock, nc 28726. National guard armory is located at 2025 spartanburg hwy in east flat rock, north carolina 28726. A crowd gathered to honor a local army. National Guard Armory East Flat Rock Nc.
From www.jconline.com
National Guard Armory battles indoor mold growth National Guard Armory East Flat Rock Nc See reviews, map, get the address, and find directions. The army national guard in east flat rock, nc offers a range of. After 40 years at the clyde armory, the 211th national guard unit is now consolidated into the guard unit in east flat rock, in henderson county. Get more information for nc national guard armory in east flat rock,. National Guard Armory East Flat Rock Nc.
From www.flickr.com
Iowa National Guard An Iowa Army National Guard Soldier ca… Flickr National Guard Armory East Flat Rock Nc 176 behind today’s national guard armory in east flat rock, where it remained until the early 1990s. The 211th north carolina national guard unit is now stationed solely out of the armory in east flat rock, a move in the national guard’s. By 1959, the fair moved to mills street off u.s. National guard armory is located at 2025 spartanburg. National Guard Armory East Flat Rock Nc.
From www.thehistorycenteronline.com
Soldiers at National Guard Armory, Lufkin,… The History Center National Guard Armory East Flat Rock Nc The 211th north carolina national guard unit is now stationed solely out of the armory in east flat rock, a move in the national guard’s. National guard armory can be. The army national guard in east flat rock, nc offers a range of. By 1959, the fair moved to mills street off u.s. The army national guard armory in east. National Guard Armory East Flat Rock Nc.
From www.thehistorycenteronline.com
Soldiers at the National Guard Armory, Lufkin,… The History Center National Guard Armory East Flat Rock Nc The army national guard in east flat rock, nc offers a range of. East flat rock, nc 28726. Get more information for nc national guard armory in east flat rock, nc. See reviews, map, get the address, and find directions. After 40 years at the clyde armory, the 211th national guard unit is now consolidated into the guard unit in. National Guard Armory East Flat Rock Nc.
From www.gettysburgdaily.com
National Park Service Has Not Yet Acquired the National Guard Armory National Guard Armory East Flat Rock Nc The army national guard armory in east flat rock nc is a military facility featured on facebook. East flat rock, nc 28726. National guard armory can be. Get more information for nc national guard armory in east flat rock, nc. A crowd gathered to honor a local army national guardsman killed in iraq with a henderson county armory now named. National Guard Armory East Flat Rock Nc.
From www.krbd.org
At Ketchikan's Army National Guard armory No armor, but lots of space National Guard Armory East Flat Rock Nc Get more information for nc national guard armory in east flat rock, nc. The army national guard armory in east flat rock nc is a military facility featured on facebook. 176 behind today’s national guard armory in east flat rock, where it remained until the early 1990s. East flat rock, nc 28726. National guard armory can be. After 40 years. National Guard Armory East Flat Rock Nc.
From www.thehistorycenteronline.com
Soldiers at National Guard Armory, Lufkin,… The History Center National Guard Armory East Flat Rock Nc 176 behind today’s national guard armory in east flat rock, where it remained until the early 1990s. After 40 years at the clyde armory, the 211th national guard unit is now consolidated into the guard unit in east flat rock, in henderson county. The army national guard in east flat rock, nc offers a range of. By 1959, the fair. National Guard Armory East Flat Rock Nc.
From morganton.com
North Carolina National Guard opening new regional training center in National Guard Armory East Flat Rock Nc A crowd gathered to honor a local army national guardsman killed in iraq with a henderson county armory now named after him. The army national guard in east flat rock, nc offers a range of. See reviews, map, get the address, and find directions. East flat rock, nc 28726. By 1959, the fair moved to mills street off u.s. 176. National Guard Armory East Flat Rock Nc.
From www.reddit.com
National Guard Armory, Worcester, Massachusetts, 1906 > 2019 r National Guard Armory East Flat Rock Nc A crowd gathered to honor a local army national guardsman killed in iraq with a henderson county armory now named after him. National guard armory can be. East flat rock, nc 28726. National guard armory is located at 2025 spartanburg hwy in east flat rock, north carolina 28726. 176 behind today’s national guard armory in east flat rock, where it. National Guard Armory East Flat Rock Nc.
From www.ong.ohio.gov
A fixture in the community for nearly 150 years St. Marys memorializes National Guard Armory East Flat Rock Nc 176 behind today’s national guard armory in east flat rock, where it remained until the early 1990s. By 1959, the fair moved to mills street off u.s. National guard armory can be. East flat rock, nc 28726. A crowd gathered to honor a local army national guardsman killed in iraq with a henderson county armory now named after him. See. National Guard Armory East Flat Rock Nc.
From www.dvidshub.net
DVIDS Video Modernization of Michigan Army National Guard Grand National Guard Armory East Flat Rock Nc A crowd gathered to honor a local army national guardsman killed in iraq with a henderson county armory now named after him. Get more information for nc national guard armory in east flat rock, nc. The 211th north carolina national guard unit is now stationed solely out of the armory in east flat rock, a move in the national guard’s.. National Guard Armory East Flat Rock Nc.
From lostnewengland.com
National Guard Armory, Holyoke, Mass Lost New England National Guard Armory East Flat Rock Nc After 40 years at the clyde armory, the 211th national guard unit is now consolidated into the guard unit in east flat rock, in henderson county. See reviews, map, get the address, and find directions. East flat rock, nc 28726. National guard armory is located at 2025 spartanburg hwy in east flat rock, north carolina 28726. By 1959, the fair. National Guard Armory East Flat Rock Nc.
From www.clermontbattalion.com
National Guard Armory Field Trip Clermont Battalion National Guard Armory East Flat Rock Nc See reviews, map, get the address, and find directions. Get more information for nc national guard armory in east flat rock, nc. The army national guard in east flat rock, nc offers a range of. By 1959, the fair moved to mills street off u.s. A crowd gathered to honor a local army national guardsman killed in iraq with a. National Guard Armory East Flat Rock Nc.
From www.templateroller.com
South Carolina National Guard Armory Rental Application Download National Guard Armory East Flat Rock Nc The army national guard armory in east flat rock nc is a military facility featured on facebook. 176 behind today’s national guard armory in east flat rock, where it remained until the early 1990s. National guard armory is located at 2025 spartanburg hwy in east flat rock, north carolina 28726. A crowd gathered to honor a local army national guardsman. National Guard Armory East Flat Rock Nc.
From www.clermontbattalion.com
National Guard Armory Field Trip Clermont Battalion National Guard Armory East Flat Rock Nc National guard armory is located at 2025 spartanburg hwy in east flat rock, north carolina 28726. The 211th north carolina national guard unit is now stationed solely out of the armory in east flat rock, a move in the national guard’s. A crowd gathered to honor a local army national guardsman killed in iraq with a henderson county armory now. National Guard Armory East Flat Rock Nc.
From www.clermontbattalion.com
National Guard Armory Field Trip Clermont Battalion National Guard Armory East Flat Rock Nc Get more information for nc national guard armory in east flat rock, nc. The army national guard armory in east flat rock nc is a military facility featured on facebook. 176 behind today’s national guard armory in east flat rock, where it remained until the early 1990s. See reviews, map, get the address, and find directions. East flat rock, nc. National Guard Armory East Flat Rock Nc.
From www.clermontbattalion.com
National Guard Armory Field Trip Clermont Battalion National Guard Armory East Flat Rock Nc A crowd gathered to honor a local army national guardsman killed in iraq with a henderson county armory now named after him. By 1959, the fair moved to mills street off u.s. National guard armory can be. East flat rock, nc 28726. Get more information for nc national guard armory in east flat rock, nc. 176 behind today’s national guard. National Guard Armory East Flat Rock Nc.
From www.slideserve.com
PPT National Guard Armory 1710 East 4150 South St. UT 84790 National Guard Armory East Flat Rock Nc See reviews, map, get the address, and find directions. Get more information for nc national guard armory in east flat rock, nc. The 211th north carolina national guard unit is now stationed solely out of the armory in east flat rock, a move in the national guard’s. After 40 years at the clyde armory, the 211th national guard unit is. National Guard Armory East Flat Rock Nc.
From www.opendurham.org
NATIONAL GUARD ARMORY Open Durham National Guard Armory East Flat Rock Nc A crowd gathered to honor a local army national guardsman killed in iraq with a henderson county armory now named after him. 176 behind today’s national guard armory in east flat rock, where it remained until the early 1990s. National guard armory is located at 2025 spartanburg hwy in east flat rock, north carolina 28726. The 211th north carolina national. National Guard Armory East Flat Rock Nc.
From www.gettysburgdaily.com
National Park Service Has Not Yet Acquired the National Guard Armory National Guard Armory East Flat Rock Nc After 40 years at the clyde armory, the 211th national guard unit is now consolidated into the guard unit in east flat rock, in henderson county. A crowd gathered to honor a local army national guardsman killed in iraq with a henderson county armory now named after him. Get more information for nc national guard armory in east flat rock,. National Guard Armory East Flat Rock Nc.
From www.dvidshub.net
DVIDS Video Modernization of Michigan Army National Guard Grand National Guard Armory East Flat Rock Nc A crowd gathered to honor a local army national guardsman killed in iraq with a henderson county armory now named after him. The army national guard in east flat rock, nc offers a range of. By 1959, the fair moved to mills street off u.s. National guard armory is located at 2025 spartanburg hwy in east flat rock, north carolina. National Guard Armory East Flat Rock Nc.