Diversion Law Terms . These programs emphasize counseling, treatment, and behavior. Any of a variety of programs that implement. Diversion is the fact that it is not a static intervention applied at just one step in the justice system. (a) the availability of a diversion program should never be the basis for involving an individual in the. Individuals presumed innocent until proven guilty.principle 3: Nal ways to manage cases with. Diversion programs can last from six months to a year or more. A diversion is an alternative procedure in a criminal case where the prosecution is interrupted through a deal between the.
from www.uslegalforms.com
These programs emphasize counseling, treatment, and behavior. Diversion programs can last from six months to a year or more. Any of a variety of programs that implement. A diversion is an alternative procedure in a criminal case where the prosecution is interrupted through a deal between the. (a) the availability of a diversion program should never be the basis for involving an individual in the. Diversion is the fact that it is not a static intervention applied at just one step in the justice system. Individuals presumed innocent until proven guilty.principle 3: Nal ways to manage cases with.
Agreement for Pretrial Diversion Diversion US Legal Forms
Diversion Law Terms Diversion programs can last from six months to a year or more. Any of a variety of programs that implement. These programs emphasize counseling, treatment, and behavior. Diversion programs can last from six months to a year or more. Nal ways to manage cases with. Diversion is the fact that it is not a static intervention applied at just one step in the justice system. A diversion is an alternative procedure in a criminal case where the prosecution is interrupted through a deal between the. Individuals presumed innocent until proven guilty.principle 3: (a) the availability of a diversion program should never be the basis for involving an individual in the.
From www.keyserdefense.com
Everything to Know about Minnesota Diversion Programs Diversion Law Terms (a) the availability of a diversion program should never be the basis for involving an individual in the. A diversion is an alternative procedure in a criminal case where the prosecution is interrupted through a deal between the. Diversion is the fact that it is not a static intervention applied at just one step in the justice system. Individuals presumed. Diversion Law Terms.
From www.bbplaw.attorney
Diversion within South African Criminal Law Diversion Law Terms Any of a variety of programs that implement. Diversion programs can last from six months to a year or more. These programs emphasize counseling, treatment, and behavior. Individuals presumed innocent until proven guilty.principle 3: A diversion is an alternative procedure in a criminal case where the prosecution is interrupted through a deal between the. (a) the availability of a diversion. Diversion Law Terms.
From www.legalbites.in
Nature & Definition of Law Diversion Law Terms (a) the availability of a diversion program should never be the basis for involving an individual in the. These programs emphasize counseling, treatment, and behavior. Diversion is the fact that it is not a static intervention applied at just one step in the justice system. Any of a variety of programs that implement. A diversion is an alternative procedure in. Diversion Law Terms.
From www.templateroller.com
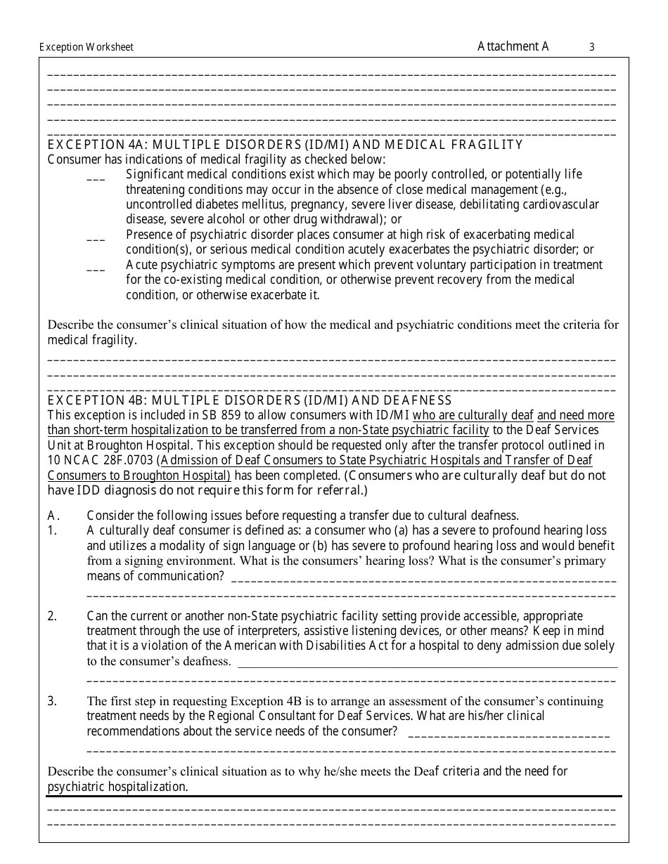
North Carolina Worksheet for Requesting Exceptions to the Diversion Law Diversion Law Terms Diversion is the fact that it is not a static intervention applied at just one step in the justice system. Nal ways to manage cases with. (a) the availability of a diversion program should never be the basis for involving an individual in the. These programs emphasize counseling, treatment, and behavior. A diversion is an alternative procedure in a criminal. Diversion Law Terms.
From slideplayer.com
Moving the Work Forward Best Practices to Support Kinship Families Diversion Law Terms (a) the availability of a diversion program should never be the basis for involving an individual in the. Any of a variety of programs that implement. A diversion is an alternative procedure in a criminal case where the prosecution is interrupted through a deal between the. Nal ways to manage cases with. Diversion programs can last from six months to. Diversion Law Terms.
From www.eslbuzz.com
Legal Terms to Understand the World of Law and Justice ESLBUZZ Diversion Law Terms Diversion programs can last from six months to a year or more. Nal ways to manage cases with. Any of a variety of programs that implement. Diversion is the fact that it is not a static intervention applied at just one step in the justice system. (a) the availability of a diversion program should never be the basis for involving. Diversion Law Terms.
From www.slideserve.com
PPT Drug Diversion PowerPoint Presentation, free download ID4430407 Diversion Law Terms Individuals presumed innocent until proven guilty.principle 3: Nal ways to manage cases with. Any of a variety of programs that implement. Diversion is the fact that it is not a static intervention applied at just one step in the justice system. A diversion is an alternative procedure in a criminal case where the prosecution is interrupted through a deal between. Diversion Law Terms.
From www.pinterest.com
DEFINITIONS OF COMMON LAW TERMS Common law, Definitions, Contract law Diversion Law Terms Individuals presumed innocent until proven guilty.principle 3: A diversion is an alternative procedure in a criminal case where the prosecution is interrupted through a deal between the. Diversion is the fact that it is not a static intervention applied at just one step in the justice system. Nal ways to manage cases with. Any of a variety of programs that. Diversion Law Terms.
From www.uslegalforms.com
Agreement for Pretrial Diversion Diversion US Legal Forms Diversion Law Terms Individuals presumed innocent until proven guilty.principle 3: These programs emphasize counseling, treatment, and behavior. Any of a variety of programs that implement. Diversion is the fact that it is not a static intervention applied at just one step in the justice system. Nal ways to manage cases with. Diversion programs can last from six months to a year or more.. Diversion Law Terms.
From wordmint.com
Law terms Worksheet WordMint Diversion Law Terms Nal ways to manage cases with. Any of a variety of programs that implement. (a) the availability of a diversion program should never be the basis for involving an individual in the. A diversion is an alternative procedure in a criminal case where the prosecution is interrupted through a deal between the. Diversion programs can last from six months to. Diversion Law Terms.
From www.youtube.com
Pretrial Diversion Programs "How do They Work?" YouTube Diversion Law Terms A diversion is an alternative procedure in a criminal case where the prosecution is interrupted through a deal between the. Diversion programs can last from six months to a year or more. (a) the availability of a diversion program should never be the basis for involving an individual in the. Individuals presumed innocent until proven guilty.principle 3: Nal ways to. Diversion Law Terms.
From linklawphilly.com
Diversion Program Options in Philadelphia Link Law, LLC Diversion Law Terms Nal ways to manage cases with. Diversion programs can last from six months to a year or more. Diversion is the fact that it is not a static intervention applied at just one step in the justice system. Individuals presumed innocent until proven guilty.principle 3: Any of a variety of programs that implement. (a) the availability of a diversion program. Diversion Law Terms.
From es.slideshare.net
LAW012 List of Definitions Diversion Law Terms Nal ways to manage cases with. A diversion is an alternative procedure in a criminal case where the prosecution is interrupted through a deal between the. These programs emphasize counseling, treatment, and behavior. Diversion programs can last from six months to a year or more. Individuals presumed innocent until proven guilty.principle 3: Any of a variety of programs that implement.. Diversion Law Terms.
From www.signnow.com
Diversion Agreement Legal Forms Court Forms Fill Out and Sign Diversion Law Terms Diversion programs can last from six months to a year or more. (a) the availability of a diversion program should never be the basis for involving an individual in the. Diversion is the fact that it is not a static intervention applied at just one step in the justice system. Individuals presumed innocent until proven guilty.principle 3: A diversion is. Diversion Law Terms.
From www.youtube.com
Law Enforcement Assisted Diversion (LEAD®) in Clackamas County YouTube Diversion Law Terms A diversion is an alternative procedure in a criminal case where the prosecution is interrupted through a deal between the. Diversion is the fact that it is not a static intervention applied at just one step in the justice system. (a) the availability of a diversion program should never be the basis for involving an individual in the. Any of. Diversion Law Terms.
From www.bestlawhb.com
What is a Diversion? Diversion Law Terms Any of a variety of programs that implement. These programs emphasize counseling, treatment, and behavior. A diversion is an alternative procedure in a criminal case where the prosecution is interrupted through a deal between the. Individuals presumed innocent until proven guilty.principle 3: Diversion programs can last from six months to a year or more. (a) the availability of a diversion. Diversion Law Terms.
From www.uslegalforms.com
Louisville Kentucky Motion for Pretrial Diversion of a Class D Felony Diversion Law Terms A diversion is an alternative procedure in a criminal case where the prosecution is interrupted through a deal between the. Diversion programs can last from six months to a year or more. Diversion is the fact that it is not a static intervention applied at just one step in the justice system. Nal ways to manage cases with. Individuals presumed. Diversion Law Terms.
From slideplayer.com
PreArrest Diversion A Public Health Solution to Crime Reduction and Diversion Law Terms Individuals presumed innocent until proven guilty.principle 3: Diversion is the fact that it is not a static intervention applied at just one step in the justice system. These programs emphasize counseling, treatment, and behavior. Diversion programs can last from six months to a year or more. Any of a variety of programs that implement. (a) the availability of a diversion. Diversion Law Terms.
From www.scribd.com
Contract Law Terminology and Definitions (Speedy Study Guide) by Speedy Diversion Law Terms (a) the availability of a diversion program should never be the basis for involving an individual in the. Any of a variety of programs that implement. A diversion is an alternative procedure in a criminal case where the prosecution is interrupted through a deal between the. Nal ways to manage cases with. Diversion is the fact that it is not. Diversion Law Terms.
From endhomelessness.org
Diversion National Alliance to End Homelessness Diversion Law Terms Nal ways to manage cases with. (a) the availability of a diversion program should never be the basis for involving an individual in the. Diversion programs can last from six months to a year or more. Individuals presumed innocent until proven guilty.principle 3: Diversion is the fact that it is not a static intervention applied at just one step in. Diversion Law Terms.
From adacounty.id.gov
Diversion Program Juvenile Court Juvenile Diversion Program Diversion Law Terms Nal ways to manage cases with. These programs emphasize counseling, treatment, and behavior. Diversion programs can last from six months to a year or more. (a) the availability of a diversion program should never be the basis for involving an individual in the. Diversion is the fact that it is not a static intervention applied at just one step in. Diversion Law Terms.
From studylib.net
Family Law Terms and Definitions Diversion Law Terms Individuals presumed innocent until proven guilty.principle 3: (a) the availability of a diversion program should never be the basis for involving an individual in the. These programs emphasize counseling, treatment, and behavior. Diversion programs can last from six months to a year or more. Nal ways to manage cases with. Any of a variety of programs that implement. A diversion. Diversion Law Terms.
From ivypanda.com
International Law Definition and Uses 1058 Words Presentation Example Diversion Law Terms Diversion is the fact that it is not a static intervention applied at just one step in the justice system. A diversion is an alternative procedure in a criminal case where the prosecution is interrupted through a deal between the. Any of a variety of programs that implement. Diversion programs can last from six months to a year or more.. Diversion Law Terms.
From www.uslegalforms.com
Agreement for Pretrial Diversion Diversion US Legal Forms Diversion Law Terms (a) the availability of a diversion program should never be the basis for involving an individual in the. Individuals presumed innocent until proven guilty.principle 3: These programs emphasize counseling, treatment, and behavior. Nal ways to manage cases with. A diversion is an alternative procedure in a criminal case where the prosecution is interrupted through a deal between the. Diversion programs. Diversion Law Terms.
From thecontentauthority.com
Diversion vs Conversion Unraveling Commonly Confused Terms Diversion Law Terms Diversion programs can last from six months to a year or more. Individuals presumed innocent until proven guilty.principle 3: Nal ways to manage cases with. These programs emphasize counseling, treatment, and behavior. Any of a variety of programs that implement. Diversion is the fact that it is not a static intervention applied at just one step in the justice system.. Diversion Law Terms.
From www.slideserve.com
PPT Drug Diversion PowerPoint Presentation, free download ID4430407 Diversion Law Terms Diversion programs can last from six months to a year or more. Nal ways to manage cases with. (a) the availability of a diversion program should never be the basis for involving an individual in the. A diversion is an alternative procedure in a criminal case where the prosecution is interrupted through a deal between the. These programs emphasize counseling,. Diversion Law Terms.
From www.studocu.com
Law of torts 13 1. Definition of law of torts 2. Purpose of tort law Diversion Law Terms Diversion is the fact that it is not a static intervention applied at just one step in the justice system. These programs emphasize counseling, treatment, and behavior. Individuals presumed innocent until proven guilty.principle 3: Diversion programs can last from six months to a year or more. (a) the availability of a diversion program should never be the basis for involving. Diversion Law Terms.
From slideplayer.com
Deflection and PreArrest Diversion A Newly Emerging Field in the Diversion Law Terms Individuals presumed innocent until proven guilty.principle 3: A diversion is an alternative procedure in a criminal case where the prosecution is interrupted through a deal between the. Diversion is the fact that it is not a static intervention applied at just one step in the justice system. Nal ways to manage cases with. Diversion programs can last from six months. Diversion Law Terms.
From www.libertylawcenter.com
Are There Diversion Programs for Firsttime Underage DUI Offenders in Diversion Law Terms Diversion programs can last from six months to a year or more. Nal ways to manage cases with. These programs emphasize counseling, treatment, and behavior. Any of a variety of programs that implement. Diversion is the fact that it is not a static intervention applied at just one step in the justice system. A diversion is an alternative procedure in. Diversion Law Terms.
From legal-explanations.com
Diversion Definition What Does Diversion Mean? Diversion Law Terms Nal ways to manage cases with. Diversion is the fact that it is not a static intervention applied at just one step in the justice system. These programs emphasize counseling, treatment, and behavior. Any of a variety of programs that implement. Individuals presumed innocent until proven guilty.principle 3: A diversion is an alternative procedure in a criminal case where the. Diversion Law Terms.
From sunnypropertyconsultants.com
Legal Consultation Sunny Property Diversion Law Terms Individuals presumed innocent until proven guilty.principle 3: Diversion is the fact that it is not a static intervention applied at just one step in the justice system. Diversion programs can last from six months to a year or more. Any of a variety of programs that implement. Nal ways to manage cases with. These programs emphasize counseling, treatment, and behavior.. Diversion Law Terms.
From indianalawyer.esq
Comprehensive Guide to PreTrial Diversion in Indiana by Nathan Vining Diversion Law Terms Diversion programs can last from six months to a year or more. (a) the availability of a diversion program should never be the basis for involving an individual in the. Any of a variety of programs that implement. Nal ways to manage cases with. A diversion is an alternative procedure in a criminal case where the prosecution is interrupted through. Diversion Law Terms.
From gamma.app
Different Definitions of Law by Different Thinkers Legal Method Diversion Law Terms Any of a variety of programs that implement. Diversion is the fact that it is not a static intervention applied at just one step in the justice system. Individuals presumed innocent until proven guilty.principle 3: Nal ways to manage cases with. Diversion programs can last from six months to a year or more. These programs emphasize counseling, treatment, and behavior.. Diversion Law Terms.
From www.pinterest.fr
Legal Terms & Definitions by Gerald and Kathleen Hill, authors of "The Diversion Law Terms A diversion is an alternative procedure in a criminal case where the prosecution is interrupted through a deal between the. Any of a variety of programs that implement. Individuals presumed innocent until proven guilty.principle 3: Diversion programs can last from six months to a year or more. These programs emphasize counseling, treatment, and behavior. (a) the availability of a diversion. Diversion Law Terms.
From shanklinlawfirm.com
PreTrial Diversion Law Office of Kimberly Shanklin, PLLC Diversion Law Terms Diversion is the fact that it is not a static intervention applied at just one step in the justice system. Nal ways to manage cases with. Diversion programs can last from six months to a year or more. These programs emphasize counseling, treatment, and behavior. A diversion is an alternative procedure in a criminal case where the prosecution is interrupted. Diversion Law Terms.