Does Heating Milk Kill Protein . Adding heat to raw milk causes mild nutrient loss in pasteurized milk. Studies have found that while boiling milk eliminated bacteria from. However, boiled milk contains fewer intact proteins and less vitamin c. Pasteurization involves heating milk to between 63 °c and 72 °c for a few seconds before cooling it. Boiling milk is known to significantly lessen milk’s nutritional value. Boiling milk helps reduce foodborne pathogens and may increase the fatty acid content; The university of minnesota reports that pasteurized milk loses 3 to 4 percent thiamin, less than 5 percent vitamin e and less than 10. Cooking milk has probably only a minor effect on its nutritional value. However, denaturing whey protein does not affect the nutritional value of milk. According to usda table of nutrient retention. The study found that when proteins from dairy products were heated, they lost their solubility, or their ability to absorb in water. The goal of this process is to destroy any bacteria that may be present in cow's.
from www.slideserve.com
Boiling milk is known to significantly lessen milk’s nutritional value. However, boiled milk contains fewer intact proteins and less vitamin c. Pasteurization involves heating milk to between 63 °c and 72 °c for a few seconds before cooling it. Cooking milk has probably only a minor effect on its nutritional value. Adding heat to raw milk causes mild nutrient loss in pasteurized milk. Boiling milk helps reduce foodborne pathogens and may increase the fatty acid content; However, denaturing whey protein does not affect the nutritional value of milk. The goal of this process is to destroy any bacteria that may be present in cow's. The university of minnesota reports that pasteurized milk loses 3 to 4 percent thiamin, less than 5 percent vitamin e and less than 10. According to usda table of nutrient retention.
PPT Chapter 8 Milk and Milk Products PowerPoint Presentation, free
Does Heating Milk Kill Protein According to usda table of nutrient retention. Cooking milk has probably only a minor effect on its nutritional value. Boiling milk is known to significantly lessen milk’s nutritional value. The goal of this process is to destroy any bacteria that may be present in cow's. The university of minnesota reports that pasteurized milk loses 3 to 4 percent thiamin, less than 5 percent vitamin e and less than 10. However, denaturing whey protein does not affect the nutritional value of milk. However, boiled milk contains fewer intact proteins and less vitamin c. Boiling milk helps reduce foodborne pathogens and may increase the fatty acid content; Pasteurization involves heating milk to between 63 °c and 72 °c for a few seconds before cooling it. Adding heat to raw milk causes mild nutrient loss in pasteurized milk. Studies have found that while boiling milk eliminated bacteria from. The study found that when proteins from dairy products were heated, they lost their solubility, or their ability to absorb in water. According to usda table of nutrient retention.
From www.steadfastnutrition.in
Extraction of Protein from Milk Steadfast Nutrition Does Heating Milk Kill Protein The goal of this process is to destroy any bacteria that may be present in cow's. The study found that when proteins from dairy products were heated, they lost their solubility, or their ability to absorb in water. Studies have found that while boiling milk eliminated bacteria from. However, boiled milk contains fewer intact proteins and less vitamin c. Cooking. Does Heating Milk Kill Protein.
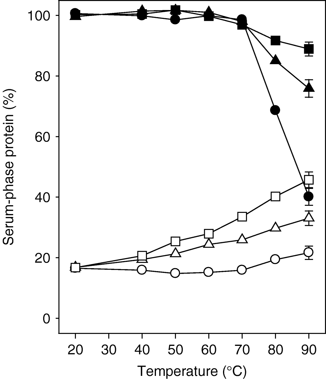
From www.researchgate.net
Preliminary model for the sieving effect of heatmodified milk proteins Does Heating Milk Kill Protein The goal of this process is to destroy any bacteria that may be present in cow's. Boiling milk is known to significantly lessen milk’s nutritional value. Boiling milk helps reduce foodborne pathogens and may increase the fatty acid content; However, boiled milk contains fewer intact proteins and less vitamin c. However, denaturing whey protein does not affect the nutritional value. Does Heating Milk Kill Protein.
From milk.co.uk
Protein in milk Dairy UK Does Heating Milk Kill Protein Studies have found that while boiling milk eliminated bacteria from. Pasteurization involves heating milk to between 63 °c and 72 °c for a few seconds before cooling it. The goal of this process is to destroy any bacteria that may be present in cow's. Boiling milk is known to significantly lessen milk’s nutritional value. However, denaturing whey protein does not. Does Heating Milk Kill Protein.
From www.dirt-to-dinner.com
Digging Deeper Pasteurization Dirt to Dinner Does Heating Milk Kill Protein Studies have found that while boiling milk eliminated bacteria from. Boiling milk helps reduce foodborne pathogens and may increase the fatty acid content; Cooking milk has probably only a minor effect on its nutritional value. Adding heat to raw milk causes mild nutrient loss in pasteurized milk. The goal of this process is to destroy any bacteria that may be. Does Heating Milk Kill Protein.
From www.journalofdairyscience.org
Effects of heating on the secondary structure of proteins in milk Does Heating Milk Kill Protein Pasteurization involves heating milk to between 63 °c and 72 °c for a few seconds before cooling it. However, denaturing whey protein does not affect the nutritional value of milk. Cooking milk has probably only a minor effect on its nutritional value. The study found that when proteins from dairy products were heated, they lost their solubility, or their ability. Does Heating Milk Kill Protein.
From www.mdpi.com
Dairy Free FullText Thermal Denaturation of Milk Whey Proteins A Does Heating Milk Kill Protein Boiling milk is known to significantly lessen milk’s nutritional value. Pasteurization involves heating milk to between 63 °c and 72 °c for a few seconds before cooling it. Studies have found that while boiling milk eliminated bacteria from. The goal of this process is to destroy any bacteria that may be present in cow's. The university of minnesota reports that. Does Heating Milk Kill Protein.
From themoderndayhomestead.com
Does Heating Raw Milk Destroy Nutrients? A Comprehensive Analysis Does Heating Milk Kill Protein The goal of this process is to destroy any bacteria that may be present in cow's. Boiling milk is known to significantly lessen milk’s nutritional value. The university of minnesota reports that pasteurized milk loses 3 to 4 percent thiamin, less than 5 percent vitamin e and less than 10. Pasteurization involves heating milk to between 63 °c and 72. Does Heating Milk Kill Protein.
From foodly.tn
Does heating milk in microwave kill nutrients? Does Heating Milk Kill Protein However, boiled milk contains fewer intact proteins and less vitamin c. According to usda table of nutrient retention. Pasteurization involves heating milk to between 63 °c and 72 °c for a few seconds before cooling it. Studies have found that while boiling milk eliminated bacteria from. Cooking milk has probably only a minor effect on its nutritional value. Boiling milk. Does Heating Milk Kill Protein.
From www.mdpi.com
Animals Free FullText Amino Acids Supplementation for the Milk and Does Heating Milk Kill Protein Boiling milk is known to significantly lessen milk’s nutritional value. However, boiled milk contains fewer intact proteins and less vitamin c. Studies have found that while boiling milk eliminated bacteria from. The goal of this process is to destroy any bacteria that may be present in cow's. Boiling milk helps reduce foodborne pathogens and may increase the fatty acid content;. Does Heating Milk Kill Protein.
From www.researchgate.net
Denaturation temperature of proteins in milk treated with PEF Does Heating Milk Kill Protein Boiling milk is known to significantly lessen milk’s nutritional value. The study found that when proteins from dairy products were heated, they lost their solubility, or their ability to absorb in water. However, boiled milk contains fewer intact proteins and less vitamin c. Pasteurization involves heating milk to between 63 °c and 72 °c for a few seconds before cooling. Does Heating Milk Kill Protein.
From www.mdpi.com
Processes Free FullText Production of Liquid Milk Protein Does Heating Milk Kill Protein The goal of this process is to destroy any bacteria that may be present in cow's. The university of minnesota reports that pasteurized milk loses 3 to 4 percent thiamin, less than 5 percent vitamin e and less than 10. According to usda table of nutrient retention. Studies have found that while boiling milk eliminated bacteria from. Cooking milk has. Does Heating Milk Kill Protein.
From www.nutritiontactics.com
Subjects wanted Does heating milk impact muscle growth? Does Heating Milk Kill Protein However, boiled milk contains fewer intact proteins and less vitamin c. Pasteurization involves heating milk to between 63 °c and 72 °c for a few seconds before cooling it. Boiling milk is known to significantly lessen milk’s nutritional value. Studies have found that while boiling milk eliminated bacteria from. The goal of this process is to destroy any bacteria that. Does Heating Milk Kill Protein.
From housevivid.com
Does Heating Soy Milk Remove Its Protein? Toasty Truths Does Heating Milk Kill Protein Pasteurization involves heating milk to between 63 °c and 72 °c for a few seconds before cooling it. Boiling milk helps reduce foodborne pathogens and may increase the fatty acid content; Adding heat to raw milk causes mild nutrient loss in pasteurized milk. However, denaturing whey protein does not affect the nutritional value of milk. The goal of this process. Does Heating Milk Kill Protein.
From www.frontiersin.org
Frontiers Effect of Heat Treatment on the Property, Structure, and Does Heating Milk Kill Protein The study found that when proteins from dairy products were heated, they lost their solubility, or their ability to absorb in water. Studies have found that while boiling milk eliminated bacteria from. Boiling milk helps reduce foodborne pathogens and may increase the fatty acid content; According to usda table of nutrient retention. Pasteurization involves heating milk to between 63 °c. Does Heating Milk Kill Protein.
From www.mdpi.com
Foods Free FullText Unravelling Conformational Aspects of Milk Does Heating Milk Kill Protein The university of minnesota reports that pasteurized milk loses 3 to 4 percent thiamin, less than 5 percent vitamin e and less than 10. The goal of this process is to destroy any bacteria that may be present in cow's. Cooking milk has probably only a minor effect on its nutritional value. Pasteurization involves heating milk to between 63 °c. Does Heating Milk Kill Protein.
From sites.google.com
13chapter (biochemistry ) chemistry.edu.ssc.shahid mahmood Does Heating Milk Kill Protein According to usda table of nutrient retention. Adding heat to raw milk causes mild nutrient loss in pasteurized milk. However, denaturing whey protein does not affect the nutritional value of milk. Cooking milk has probably only a minor effect on its nutritional value. Boiling milk is known to significantly lessen milk’s nutritional value. However, boiled milk contains fewer intact proteins. Does Heating Milk Kill Protein.
From klajbrvoj.blob.core.windows.net
Protein Denature Temp at Howard Swan blog Does Heating Milk Kill Protein Adding heat to raw milk causes mild nutrient loss in pasteurized milk. Studies have found that while boiling milk eliminated bacteria from. Pasteurization involves heating milk to between 63 °c and 72 °c for a few seconds before cooling it. Boiling milk is known to significantly lessen milk’s nutritional value. However, denaturing whey protein does not affect the nutritional value. Does Heating Milk Kill Protein.
From www.mdpi.com
Polymers Free FullText Influence of UltraHeat Treatment on Does Heating Milk Kill Protein According to usda table of nutrient retention. However, boiled milk contains fewer intact proteins and less vitamin c. Boiling milk is known to significantly lessen milk’s nutritional value. Boiling milk helps reduce foodborne pathogens and may increase the fatty acid content; Cooking milk has probably only a minor effect on its nutritional value. Studies have found that while boiling milk. Does Heating Milk Kill Protein.
From www.eatortoss.com
Is milk still safe to drink when it starts to spoil? Does Heating Milk Kill Protein Cooking milk has probably only a minor effect on its nutritional value. Studies have found that while boiling milk eliminated bacteria from. Boiling milk is known to significantly lessen milk’s nutritional value. However, denaturing whey protein does not affect the nutritional value of milk. The university of minnesota reports that pasteurized milk loses 3 to 4 percent thiamin, less than. Does Heating Milk Kill Protein.
From ceodiffz.blob.core.windows.net
What Is Milk Basic Protein at Jerry Wells blog Does Heating Milk Kill Protein The university of minnesota reports that pasteurized milk loses 3 to 4 percent thiamin, less than 5 percent vitamin e and less than 10. Studies have found that while boiling milk eliminated bacteria from. According to usda table of nutrient retention. Adding heat to raw milk causes mild nutrient loss in pasteurized milk. Boiling milk is known to significantly lessen. Does Heating Milk Kill Protein.
From www.semanticscholar.org
Figure 6 from Effect of heat treatment on milk protein functionality at Does Heating Milk Kill Protein Boiling milk helps reduce foodborne pathogens and may increase the fatty acid content; Adding heat to raw milk causes mild nutrient loss in pasteurized milk. Studies have found that while boiling milk eliminated bacteria from. The goal of this process is to destroy any bacteria that may be present in cow's. Pasteurization involves heating milk to between 63 °c and. Does Heating Milk Kill Protein.
From www.slideserve.com
PPT Chapter 8 Milk and Milk Products PowerPoint Presentation, free Does Heating Milk Kill Protein Cooking milk has probably only a minor effect on its nutritional value. The university of minnesota reports that pasteurized milk loses 3 to 4 percent thiamin, less than 5 percent vitamin e and less than 10. Studies have found that while boiling milk eliminated bacteria from. The study found that when proteins from dairy products were heated, they lost their. Does Heating Milk Kill Protein.
From www.cambridge.org
On heating milk, the dissociation of κcasein from the casein micelles Does Heating Milk Kill Protein Studies have found that while boiling milk eliminated bacteria from. The study found that when proteins from dairy products were heated, they lost their solubility, or their ability to absorb in water. Adding heat to raw milk causes mild nutrient loss in pasteurized milk. Cooking milk has probably only a minor effect on its nutritional value. However, boiled milk contains. Does Heating Milk Kill Protein.
From www.nutritiontactics.com
Processing of milk lowers protein absorption? Does Heating Milk Kill Protein The goal of this process is to destroy any bacteria that may be present in cow's. According to usda table of nutrient retention. Adding heat to raw milk causes mild nutrient loss in pasteurized milk. Boiling milk is known to significantly lessen milk’s nutritional value. The university of minnesota reports that pasteurized milk loses 3 to 4 percent thiamin, less. Does Heating Milk Kill Protein.
From www.hdfcergo.com
How Much Protein Does Milk Have Does Heating Milk Kill Protein Boiling milk is known to significantly lessen milk’s nutritional value. Studies have found that while boiling milk eliminated bacteria from. Adding heat to raw milk causes mild nutrient loss in pasteurized milk. The goal of this process is to destroy any bacteria that may be present in cow's. Pasteurization involves heating milk to between 63 °c and 72 °c for. Does Heating Milk Kill Protein.
From www.slideserve.com
PPT What is in Milk? PowerPoint Presentation, free download ID5477654 Does Heating Milk Kill Protein Cooking milk has probably only a minor effect on its nutritional value. According to usda table of nutrient retention. Adding heat to raw milk causes mild nutrient loss in pasteurized milk. Boiling milk helps reduce foodborne pathogens and may increase the fatty acid content; Pasteurization involves heating milk to between 63 °c and 72 °c for a few seconds before. Does Heating Milk Kill Protein.
From www.dairy-journal.org
Controlling milk protein interactions to enhance the reconstitution Does Heating Milk Kill Protein Boiling milk helps reduce foodborne pathogens and may increase the fatty acid content; Studies have found that while boiling milk eliminated bacteria from. According to usda table of nutrient retention. The study found that when proteins from dairy products were heated, they lost their solubility, or their ability to absorb in water. The goal of this process is to destroy. Does Heating Milk Kill Protein.
From www.researchgate.net
Schematic diagram is presenting the interaction between denatured whey Does Heating Milk Kill Protein The goal of this process is to destroy any bacteria that may be present in cow's. The university of minnesota reports that pasteurized milk loses 3 to 4 percent thiamin, less than 5 percent vitamin e and less than 10. The study found that when proteins from dairy products were heated, they lost their solubility, or their ability to absorb. Does Heating Milk Kill Protein.
From www.milk.co.uk
Nutritious Dairy The Dairy Council Does Heating Milk Kill Protein The university of minnesota reports that pasteurized milk loses 3 to 4 percent thiamin, less than 5 percent vitamin e and less than 10. According to usda table of nutrient retention. Boiling milk is known to significantly lessen milk’s nutritional value. However, boiled milk contains fewer intact proteins and less vitamin c. The goal of this process is to destroy. Does Heating Milk Kill Protein.
From feastgood.com
Protein Powder With Milk or Water Which Is Better? Does Heating Milk Kill Protein Boiling milk helps reduce foodborne pathogens and may increase the fatty acid content; According to usda table of nutrient retention. Studies have found that while boiling milk eliminated bacteria from. The goal of this process is to destroy any bacteria that may be present in cow's. Pasteurization involves heating milk to between 63 °c and 72 °c for a few. Does Heating Milk Kill Protein.
From www.mdpi.com
Polymers Free FullText Influence of UltraHeat Treatment on Does Heating Milk Kill Protein Cooking milk has probably only a minor effect on its nutritional value. Studies have found that while boiling milk eliminated bacteria from. Boiling milk is known to significantly lessen milk’s nutritional value. The goal of this process is to destroy any bacteria that may be present in cow's. However, boiled milk contains fewer intact proteins and less vitamin c. The. Does Heating Milk Kill Protein.
From www.atyutka.com
Why Milk spills out while boiling? Atyutka General Knowledge Does Heating Milk Kill Protein The goal of this process is to destroy any bacteria that may be present in cow's. Studies have found that while boiling milk eliminated bacteria from. Boiling milk is known to significantly lessen milk’s nutritional value. Boiling milk helps reduce foodborne pathogens and may increase the fatty acid content; Pasteurization involves heating milk to between 63 °c and 72 °c. Does Heating Milk Kill Protein.
From kitchendimes.com
Kitchen Archives Kitchen Dimes Does Heating Milk Kill Protein The goal of this process is to destroy any bacteria that may be present in cow's. Adding heat to raw milk causes mild nutrient loss in pasteurized milk. However, denaturing whey protein does not affect the nutritional value of milk. Boiling milk helps reduce foodborne pathogens and may increase the fatty acid content; Studies have found that while boiling milk. Does Heating Milk Kill Protein.
From www.journalofdairyscience.org
Effects of heating on the secondary structure of proteins in milk Does Heating Milk Kill Protein Boiling milk helps reduce foodborne pathogens and may increase the fatty acid content; However, denaturing whey protein does not affect the nutritional value of milk. However, boiled milk contains fewer intact proteins and less vitamin c. Pasteurization involves heating milk to between 63 °c and 72 °c for a few seconds before cooling it. The study found that when proteins. Does Heating Milk Kill Protein.
From en.ppt-online.org
Protein denaturation online presentation Does Heating Milk Kill Protein Adding heat to raw milk causes mild nutrient loss in pasteurized milk. Boiling milk is known to significantly lessen milk’s nutritional value. The goal of this process is to destroy any bacteria that may be present in cow's. However, boiled milk contains fewer intact proteins and less vitamin c. Studies have found that while boiling milk eliminated bacteria from. Cooking. Does Heating Milk Kill Protein.