Sulphur Content In Molasses . blackstrap molasses is thick, dark and has the lowest sugar concentration of all varieties. the difference between the two is that green sugarcane needs to be preserved until it can be processed, so it's treated with a. sulfured molasses contains a form of sulfur called sulfur dioxide, a preservative. Many people use molasses for its nutritional benefits, which include its antioxidants. Unsulphured molasses is sweet and squeezed from ripe sugarcane — it's typically the variety you buy in the supermarket. molasses is a thick, sweet syrup that is a byproduct of the sugar refining process, produced when sugar cane or sugar beet juice is boiled down. unsulphered molasses is the better candidate for the sweet addition your morning oatmeal needs or as the star of molasses gingersnap cookies. molasses labeled “sulfured” contains added sulfur dioxide, which acts as a preservative, preventing the molasses from spoiling.
from www.webstaurantstore.com
molasses is a thick, sweet syrup that is a byproduct of the sugar refining process, produced when sugar cane or sugar beet juice is boiled down. Many people use molasses for its nutritional benefits, which include its antioxidants. the difference between the two is that green sugarcane needs to be preserved until it can be processed, so it's treated with a. blackstrap molasses is thick, dark and has the lowest sugar concentration of all varieties. sulfured molasses contains a form of sulfur called sulfur dioxide, a preservative. molasses labeled “sulfured” contains added sulfur dioxide, which acts as a preservative, preventing the molasses from spoiling. Unsulphured molasses is sweet and squeezed from ripe sugarcane — it's typically the variety you buy in the supermarket. unsulphered molasses is the better candidate for the sweet addition your morning oatmeal needs or as the star of molasses gingersnap cookies.
Regal Foods SulfurFree Molasses 1 Gallon Bulk Container
Sulphur Content In Molasses Unsulphured molasses is sweet and squeezed from ripe sugarcane — it's typically the variety you buy in the supermarket. unsulphered molasses is the better candidate for the sweet addition your morning oatmeal needs or as the star of molasses gingersnap cookies. Many people use molasses for its nutritional benefits, which include its antioxidants. the difference between the two is that green sugarcane needs to be preserved until it can be processed, so it's treated with a. molasses is a thick, sweet syrup that is a byproduct of the sugar refining process, produced when sugar cane or sugar beet juice is boiled down. sulfured molasses contains a form of sulfur called sulfur dioxide, a preservative. Unsulphured molasses is sweet and squeezed from ripe sugarcane — it's typically the variety you buy in the supermarket. blackstrap molasses is thick, dark and has the lowest sugar concentration of all varieties. molasses labeled “sulfured” contains added sulfur dioxide, which acts as a preservative, preventing the molasses from spoiling.
From www.webstaurantstore.com
Golden Barrel 1 Qt. SulfurFree Blackstrap Molasses Sulphur Content In Molasses unsulphered molasses is the better candidate for the sweet addition your morning oatmeal needs or as the star of molasses gingersnap cookies. Unsulphured molasses is sweet and squeezed from ripe sugarcane — it's typically the variety you buy in the supermarket. blackstrap molasses is thick, dark and has the lowest sugar concentration of all varieties. the difference. Sulphur Content In Molasses.
From www.webstaurantstore.com
Golden Barrel 1 Qt. SulfurFree Blackstrap Molasses Sulphur Content In Molasses blackstrap molasses is thick, dark and has the lowest sugar concentration of all varieties. molasses is a thick, sweet syrup that is a byproduct of the sugar refining process, produced when sugar cane or sugar beet juice is boiled down. Many people use molasses for its nutritional benefits, which include its antioxidants. sulfured molasses contains a form. Sulphur Content In Molasses.
From www.leaf.tv
Sulfur and Molasses Home Remedy LEAFtv Sulphur Content In Molasses Unsulphured molasses is sweet and squeezed from ripe sugarcane — it's typically the variety you buy in the supermarket. Many people use molasses for its nutritional benefits, which include its antioxidants. blackstrap molasses is thick, dark and has the lowest sugar concentration of all varieties. unsulphered molasses is the better candidate for the sweet addition your morning oatmeal. Sulphur Content In Molasses.
From foodstruct.com
Molasses nutrition calories, carbs, GI, protein, fiber, fats Sulphur Content In Molasses Many people use molasses for its nutritional benefits, which include its antioxidants. sulfured molasses contains a form of sulfur called sulfur dioxide, a preservative. the difference between the two is that green sugarcane needs to be preserved until it can be processed, so it's treated with a. molasses labeled “sulfured” contains added sulfur dioxide, which acts as. Sulphur Content In Molasses.
From www.researchgate.net
A few examples of sulfur content (wt) in solid [73,74], liquid... Download Scientific Diagram Sulphur Content In Molasses Many people use molasses for its nutritional benefits, which include its antioxidants. blackstrap molasses is thick, dark and has the lowest sugar concentration of all varieties. molasses is a thick, sweet syrup that is a byproduct of the sugar refining process, produced when sugar cane or sugar beet juice is boiled down. Unsulphured molasses is sweet and squeezed. Sulphur Content In Molasses.
From www.webstaurantstore.com
Golden Barrel 1 Gallon SulfurFree Blackstrap Molasses Sulphur Content In Molasses molasses is a thick, sweet syrup that is a byproduct of the sugar refining process, produced when sugar cane or sugar beet juice is boiled down. molasses labeled “sulfured” contains added sulfur dioxide, which acts as a preservative, preventing the molasses from spoiling. sulfured molasses contains a form of sulfur called sulfur dioxide, a preservative. Many people. Sulphur Content In Molasses.
From www.webstaurantstore.com
Golden Barrel 1 Gallon SulfurFree Supreme Baking Molasses Sulphur Content In Molasses unsulphered molasses is the better candidate for the sweet addition your morning oatmeal needs or as the star of molasses gingersnap cookies. sulfured molasses contains a form of sulfur called sulfur dioxide, a preservative. the difference between the two is that green sugarcane needs to be preserved until it can be processed, so it's treated with a.. Sulphur Content In Molasses.
From www.dreamstime.com
Infographics of Sulfur Content in Natural Organic Food Products Stock Vector Illustration of Sulphur Content In Molasses unsulphered molasses is the better candidate for the sweet addition your morning oatmeal needs or as the star of molasses gingersnap cookies. Many people use molasses for its nutritional benefits, which include its antioxidants. the difference between the two is that green sugarcane needs to be preserved until it can be processed, so it's treated with a. . Sulphur Content In Molasses.
From www.webstaurantstore.com
Golden Barrel Blackstrap Molasses Bulk 5 Gallon Container Sulphur Content In Molasses molasses labeled “sulfured” contains added sulfur dioxide, which acts as a preservative, preventing the molasses from spoiling. Unsulphured molasses is sweet and squeezed from ripe sugarcane — it's typically the variety you buy in the supermarket. molasses is a thick, sweet syrup that is a byproduct of the sugar refining process, produced when sugar cane or sugar beet. Sulphur Content In Molasses.
From www.researchgate.net
Aggregate Mineralogy and total sulphur (ST ) content. Download Scientific Diagram Sulphur Content In Molasses the difference between the two is that green sugarcane needs to be preserved until it can be processed, so it's treated with a. Unsulphured molasses is sweet and squeezed from ripe sugarcane — it's typically the variety you buy in the supermarket. sulfured molasses contains a form of sulfur called sulfur dioxide, a preservative. blackstrap molasses is. Sulphur Content In Molasses.
From www.walmart.com
Grandma's® Original Unsulphured Molasses 24 fl. oz. Jar Sulphur Content In Molasses molasses labeled “sulfured” contains added sulfur dioxide, which acts as a preservative, preventing the molasses from spoiling. the difference between the two is that green sugarcane needs to be preserved until it can be processed, so it's treated with a. Unsulphured molasses is sweet and squeezed from ripe sugarcane — it's typically the variety you buy in the. Sulphur Content In Molasses.
From lifeirl.com
100 Pure California DATE Molasses, USDA organic, Free of Sulphur, Squeeze Bottle NonGMO, Nut Sulphur Content In Molasses molasses labeled “sulfured” contains added sulfur dioxide, which acts as a preservative, preventing the molasses from spoiling. blackstrap molasses is thick, dark and has the lowest sugar concentration of all varieties. molasses is a thick, sweet syrup that is a byproduct of the sugar refining process, produced when sugar cane or sugar beet juice is boiled down.. Sulphur Content In Molasses.
From culinarylore.com
Why Does my Molasses say Unsulphured? Was Sulphur Removed From it? CulinaryLore Sulphur Content In Molasses sulfured molasses contains a form of sulfur called sulfur dioxide, a preservative. unsulphered molasses is the better candidate for the sweet addition your morning oatmeal needs or as the star of molasses gingersnap cookies. blackstrap molasses is thick, dark and has the lowest sugar concentration of all varieties. molasses is a thick, sweet syrup that is. Sulphur Content In Molasses.
From www.youtube.com
What is Molasses? Dr Chan highlights 4 facts abt Molasses Glycemic Index, Nutrient & Sugar Sulphur Content In Molasses Unsulphured molasses is sweet and squeezed from ripe sugarcane — it's typically the variety you buy in the supermarket. the difference between the two is that green sugarcane needs to be preserved until it can be processed, so it's treated with a. blackstrap molasses is thick, dark and has the lowest sugar concentration of all varieties. unsulphered. Sulphur Content In Molasses.
From www.scribd.com
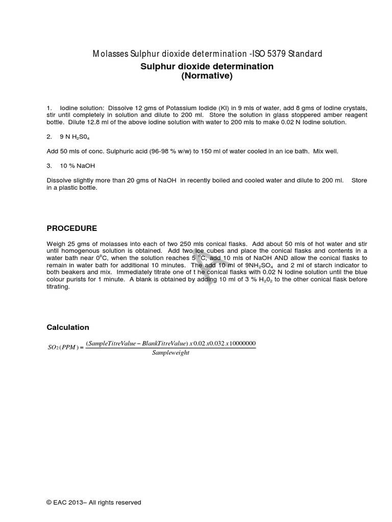
Molasses Sulphur Dioxide Determination ISO 5379 Standard PDF Sulphur Content In Molasses the difference between the two is that green sugarcane needs to be preserved until it can be processed, so it's treated with a. sulfured molasses contains a form of sulfur called sulfur dioxide, a preservative. Many people use molasses for its nutritional benefits, which include its antioxidants. molasses is a thick, sweet syrup that is a byproduct. Sulphur Content In Molasses.
From www.webstaurantstore.com
Golden Barrel 1 Qt. SulfurFree Supreme Baking Molasses Sulphur Content In Molasses Unsulphured molasses is sweet and squeezed from ripe sugarcane — it's typically the variety you buy in the supermarket. molasses labeled “sulfured” contains added sulfur dioxide, which acts as a preservative, preventing the molasses from spoiling. blackstrap molasses is thick, dark and has the lowest sugar concentration of all varieties. unsulphered molasses is the better candidate for. Sulphur Content In Molasses.
From www.webstaurantstore.com
Golden Barrel 1 Gallon SulfurFree Blackstrap Molasses Sulphur Content In Molasses sulfured molasses contains a form of sulfur called sulfur dioxide, a preservative. molasses labeled “sulfured” contains added sulfur dioxide, which acts as a preservative, preventing the molasses from spoiling. Many people use molasses for its nutritional benefits, which include its antioxidants. Unsulphured molasses is sweet and squeezed from ripe sugarcane — it's typically the variety you buy in. Sulphur Content In Molasses.
From www.webstaurantstore.com
Golden Barrel 1 Qt. SulfurFree Supreme Baking Molasses Sulphur Content In Molasses sulfured molasses contains a form of sulfur called sulfur dioxide, a preservative. unsulphered molasses is the better candidate for the sweet addition your morning oatmeal needs or as the star of molasses gingersnap cookies. molasses labeled “sulfured” contains added sulfur dioxide, which acts as a preservative, preventing the molasses from spoiling. molasses is a thick, sweet. Sulphur Content In Molasses.
From www.webstaurantstore.com
Golden Barrel Organic SulfurFree Blackstrap Molasses Bulk 5Gallon Supply Sulphur Content In Molasses blackstrap molasses is thick, dark and has the lowest sugar concentration of all varieties. the difference between the two is that green sugarcane needs to be preserved until it can be processed, so it's treated with a. molasses is a thick, sweet syrup that is a byproduct of the sugar refining process, produced when sugar cane or. Sulphur Content In Molasses.
From www.webstaurantstore.com
Golden Barrel 1 Qt. SulfurFree Blackstrap Molasses Sulphur Content In Molasses molasses labeled “sulfured” contains added sulfur dioxide, which acts as a preservative, preventing the molasses from spoiling. Unsulphured molasses is sweet and squeezed from ripe sugarcane — it's typically the variety you buy in the supermarket. blackstrap molasses is thick, dark and has the lowest sugar concentration of all varieties. Many people use molasses for its nutritional benefits,. Sulphur Content In Molasses.
From www.verywellfit.com
Molasses Nutrition Facts and Health Benefits Sulphur Content In Molasses Unsulphured molasses is sweet and squeezed from ripe sugarcane — it's typically the variety you buy in the supermarket. molasses labeled “sulfured” contains added sulfur dioxide, which acts as a preservative, preventing the molasses from spoiling. blackstrap molasses is thick, dark and has the lowest sugar concentration of all varieties. unsulphered molasses is the better candidate for. Sulphur Content In Molasses.
From www.amazon.in
ifarmerscart Organic Sugarcane Blackstrap Molasses Weekly Fresh Production Sulphur Sulphur Content In Molasses Many people use molasses for its nutritional benefits, which include its antioxidants. blackstrap molasses is thick, dark and has the lowest sugar concentration of all varieties. molasses is a thick, sweet syrup that is a byproduct of the sugar refining process, produced when sugar cane or sugar beet juice is boiled down. unsulphered molasses is the better. Sulphur Content In Molasses.
From www.hitechlabs.in
HiTech Lab Solutions Sulphur Content In Molasses Unsulphured molasses is sweet and squeezed from ripe sugarcane — it's typically the variety you buy in the supermarket. Many people use molasses for its nutritional benefits, which include its antioxidants. molasses is a thick, sweet syrup that is a byproduct of the sugar refining process, produced when sugar cane or sugar beet juice is boiled down. blackstrap. Sulphur Content In Molasses.
From www.researchgate.net
The carbon and sulfur content distribution within the liquid (outer)... Download Scientific Sulphur Content In Molasses unsulphered molasses is the better candidate for the sweet addition your morning oatmeal needs or as the star of molasses gingersnap cookies. molasses is a thick, sweet syrup that is a byproduct of the sugar refining process, produced when sugar cane or sugar beet juice is boiled down. sulfured molasses contains a form of sulfur called sulfur. Sulphur Content In Molasses.
From www.pinterest.com
Golden Barrel Unsulfured Blackstrap Molasses 128 fl oz. Blackstrap molasses, Molasses Sulphur Content In Molasses unsulphered molasses is the better candidate for the sweet addition your morning oatmeal needs or as the star of molasses gingersnap cookies. molasses labeled “sulfured” contains added sulfur dioxide, which acts as a preservative, preventing the molasses from spoiling. molasses is a thick, sweet syrup that is a byproduct of the sugar refining process, produced when sugar. Sulphur Content In Molasses.
From www.researchgate.net
6. Sulphur content () for the media. Download Scientific Diagram Sulphur Content In Molasses molasses labeled “sulfured” contains added sulfur dioxide, which acts as a preservative, preventing the molasses from spoiling. sulfured molasses contains a form of sulfur called sulfur dioxide, a preservative. Many people use molasses for its nutritional benefits, which include its antioxidants. unsulphered molasses is the better candidate for the sweet addition your morning oatmeal needs or as. Sulphur Content In Molasses.
From www.allrecipes.com
What's the Difference Between Sulphured and Unsulphured Molasses? Sulphur Content In Molasses the difference between the two is that green sugarcane needs to be preserved until it can be processed, so it's treated with a. Many people use molasses for its nutritional benefits, which include its antioxidants. Unsulphured molasses is sweet and squeezed from ripe sugarcane — it's typically the variety you buy in the supermarket. molasses labeled “sulfured” contains. Sulphur Content In Molasses.
From www.webstaurantstore.com
Regal Foods SulfurFree Molasses 1 Gallon Bulk Container Sulphur Content In Molasses unsulphered molasses is the better candidate for the sweet addition your morning oatmeal needs or as the star of molasses gingersnap cookies. blackstrap molasses is thick, dark and has the lowest sugar concentration of all varieties. molasses labeled “sulfured” contains added sulfur dioxide, which acts as a preservative, preventing the molasses from spoiling. molasses is a. Sulphur Content In Molasses.
From www.webstaurantstore.com
Golden Barrel 5 Gallon SulfurFree Blackstrap Molasses Sulphur Content In Molasses sulfured molasses contains a form of sulfur called sulfur dioxide, a preservative. Many people use molasses for its nutritional benefits, which include its antioxidants. unsulphered molasses is the better candidate for the sweet addition your morning oatmeal needs or as the star of molasses gingersnap cookies. Unsulphured molasses is sweet and squeezed from ripe sugarcane — it's typically. Sulphur Content In Molasses.
From www.thehealthyhomeeconomist.com
The Best Molasses to Use in the Diet Healthy Home Economist Sulphur Content In Molasses sulfured molasses contains a form of sulfur called sulfur dioxide, a preservative. blackstrap molasses is thick, dark and has the lowest sugar concentration of all varieties. the difference between the two is that green sugarcane needs to be preserved until it can be processed, so it's treated with a. Unsulphured molasses is sweet and squeezed from ripe. Sulphur Content In Molasses.
From www.researchgate.net
XRD patterns of Na¢TCP/S. Sulfur content; (a) 0 mol , (b) 2.0 mol ,... Download Scientific Sulphur Content In Molasses molasses is a thick, sweet syrup that is a byproduct of the sugar refining process, produced when sugar cane or sugar beet juice is boiled down. molasses labeled “sulfured” contains added sulfur dioxide, which acts as a preservative, preventing the molasses from spoiling. the difference between the two is that green sugarcane needs to be preserved until. Sulphur Content In Molasses.
From dicksonag.com.au
Sulphur Molasses Block Dickson Ag Sulphur Content In Molasses molasses labeled “sulfured” contains added sulfur dioxide, which acts as a preservative, preventing the molasses from spoiling. sulfured molasses contains a form of sulfur called sulfur dioxide, a preservative. unsulphered molasses is the better candidate for the sweet addition your morning oatmeal needs or as the star of molasses gingersnap cookies. molasses is a thick, sweet. Sulphur Content In Molasses.
From www.amazon.in
Puranic Demerara Sugar 450g Natural Molasses Retained Brown Khand Sulphur free Organic Sulphur Content In Molasses unsulphered molasses is the better candidate for the sweet addition your morning oatmeal needs or as the star of molasses gingersnap cookies. blackstrap molasses is thick, dark and has the lowest sugar concentration of all varieties. the difference between the two is that green sugarcane needs to be preserved until it can be processed, so it's treated. Sulphur Content In Molasses.
From www.myrecipes.com
Unsulphured vs. Sulphured Molasses What's the Difference? MyRecipes Sulphur Content In Molasses blackstrap molasses is thick, dark and has the lowest sugar concentration of all varieties. molasses is a thick, sweet syrup that is a byproduct of the sugar refining process, produced when sugar cane or sugar beet juice is boiled down. Unsulphured molasses is sweet and squeezed from ripe sugarcane — it's typically the variety you buy in the. Sulphur Content In Molasses.
From www.walmart.com
Golden Barrel Unsulfured Supreme Baking Molasses, 32 Oz. Bottle (Pack of 4) Sulphur Content In Molasses blackstrap molasses is thick, dark and has the lowest sugar concentration of all varieties. the difference between the two is that green sugarcane needs to be preserved until it can be processed, so it's treated with a. Many people use molasses for its nutritional benefits, which include its antioxidants. unsulphered molasses is the better candidate for the. Sulphur Content In Molasses.