How Much Will A Pint Of Paint Cover . Your role in the process involves just a few elements: Decide if you want to paint the ceiling. This paint coverage calculator makes calculating the amount of paint you'll need for your project nearly automatic. Input the dimensions of the room, the number of doors and windows, and the paint. This wall painting calculator will help you to work out the minimum amount of paint required for your project, based on a coverage of 10m² per litre. Add in the number of windows and doors in the space. Use the paint calculator tool to figure out how much paint you'll need for your project. Measure the height and width of each wall to be painted. Choose from quick, custom or deck calculation options and enter the measurements of the surface. You can also calculate the final cost of paint required! Use this free online tool to find out how much paint you will need for a room based on its dimensions, coverage, and coats. You will be able to find the paint estimation based on the number of openings or the number of coats of paint.
        
         
         
        from www.farmandfleet.com 
     
        
        Add in the number of windows and doors in the space. Your role in the process involves just a few elements: This paint coverage calculator makes calculating the amount of paint you'll need for your project nearly automatic. Choose from quick, custom or deck calculation options and enter the measurements of the surface. Input the dimensions of the room, the number of doors and windows, and the paint. Decide if you want to paint the ceiling. Use this free online tool to find out how much paint you will need for a room based on its dimensions, coverage, and coats. You can also calculate the final cost of paint required! Use the paint calculator tool to figure out how much paint you'll need for your project. Measure the height and width of each wall to be painted.
    
    	
            
	
		 
	 
         
    RustOleum 1/2 Pint Painter's Touch Ultra Cover SemiGloss Black 
    How Much Will A Pint Of Paint Cover  Input the dimensions of the room, the number of doors and windows, and the paint. Input the dimensions of the room, the number of doors and windows, and the paint. Decide if you want to paint the ceiling. Choose from quick, custom or deck calculation options and enter the measurements of the surface. You will be able to find the paint estimation based on the number of openings or the number of coats of paint. Add in the number of windows and doors in the space. This wall painting calculator will help you to work out the minimum amount of paint required for your project, based on a coverage of 10m² per litre. Your role in the process involves just a few elements: Use this free online tool to find out how much paint you will need for a room based on its dimensions, coverage, and coats. You can also calculate the final cost of paint required! This paint coverage calculator makes calculating the amount of paint you'll need for your project nearly automatic. Use the paint calculator tool to figure out how much paint you'll need for your project. Measure the height and width of each wall to be painted.
            
	
		 
	 
         
 
    
         
        From worksheetlibmisspent.z5.web.core.windows.net 
                    Pints To Gallons Converter How Much Will A Pint Of Paint Cover  Use this free online tool to find out how much paint you will need for a room based on its dimensions, coverage, and coats. You can also calculate the final cost of paint required! This paint coverage calculator makes calculating the amount of paint you'll need for your project nearly automatic. Choose from quick, custom or deck calculation options and. How Much Will A Pint Of Paint Cover.
     
    
         
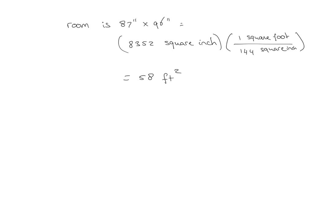
        From knockoffdecor.com 
                    Paint Sizes Find out Just How Much Paint You Should Buy How Much Will A Pint Of Paint Cover  This paint coverage calculator makes calculating the amount of paint you'll need for your project nearly automatic. Add in the number of windows and doors in the space. Decide if you want to paint the ceiling. You can also calculate the final cost of paint required! Input the dimensions of the room, the number of doors and windows, and the. How Much Will A Pint Of Paint Cover.
     
    
         
        From www.farmandfleet.com 
                    RustOleum 1/2 Pint Painter's Touch Ultra Cover Gloss White Premium How Much Will A Pint Of Paint Cover  Use this free online tool to find out how much paint you will need for a room based on its dimensions, coverage, and coats. Your role in the process involves just a few elements: Decide if you want to paint the ceiling. Add in the number of windows and doors in the space. You can also calculate the final cost. How Much Will A Pint Of Paint Cover.
     
    
         
        From www.walmart.com 
                    1 Pint 1 Shot Dark Brown Paint Lettering Enamel Pinstriping One Shot How Much Will A Pint Of Paint Cover  Measure the height and width of each wall to be painted. You can also calculate the final cost of paint required! Use this free online tool to find out how much paint you will need for a room based on its dimensions, coverage, and coats. Add in the number of windows and doors in the space. Decide if you want. How Much Will A Pint Of Paint Cover.
     
    
         
        From arielleminmarsh.blogspot.com 
                    How Much Area Does a Pint of Paint Cover ArielleminMarsh How Much Will A Pint Of Paint Cover  You can also calculate the final cost of paint required! Use this free online tool to find out how much paint you will need for a room based on its dimensions, coverage, and coats. Use the paint calculator tool to figure out how much paint you'll need for your project. Decide if you want to paint the ceiling. Input the. How Much Will A Pint Of Paint Cover.
     
    
         
        From www.numerade.com 
                    Paint samples are often sold by the pint; a pint of paint will cover 50 How Much Will A Pint Of Paint Cover  Use the paint calculator tool to figure out how much paint you'll need for your project. You can also calculate the final cost of paint required! Choose from quick, custom or deck calculation options and enter the measurements of the surface. This wall painting calculator will help you to work out the minimum amount of paint required for your project,. How Much Will A Pint Of Paint Cover.
     
    
         
        From arielleminmarsh.blogspot.com 
                    How Much Area Does a Pint of Paint Cover ArielleminMarsh How Much Will A Pint Of Paint Cover  Your role in the process involves just a few elements: This wall painting calculator will help you to work out the minimum amount of paint required for your project, based on a coverage of 10m² per litre. Decide if you want to paint the ceiling. You will be able to find the paint estimation based on the number of openings. How Much Will A Pint Of Paint Cover.
     
    
         
        From www.homedepot.com 
                    RustOleum Painter's Touch 32 oz. Ultra Cover Metallic Silver General How Much Will A Pint Of Paint Cover  This wall painting calculator will help you to work out the minimum amount of paint required for your project, based on a coverage of 10m² per litre. Measure the height and width of each wall to be painted. You can also calculate the final cost of paint required! Decide if you want to paint the ceiling. Add in the number. How Much Will A Pint Of Paint Cover.
     
    
         
        From joangenter.com 
                    Paint Calculator Joan Genter How Much Will A Pint Of Paint Cover  Use this free online tool to find out how much paint you will need for a room based on its dimensions, coverage, and coats. Add in the number of windows and doors in the space. You can also calculate the final cost of paint required! This paint coverage calculator makes calculating the amount of paint you'll need for your project. How Much Will A Pint Of Paint Cover.
     
    
         
        From resin-expert.com 
                    Paint Can Sizes Calculating Paint Volume for Surface Coverage How Much Will A Pint Of Paint Cover  You can also calculate the final cost of paint required! Add in the number of windows and doors in the space. Measure the height and width of each wall to be painted. Your role in the process involves just a few elements: Input the dimensions of the room, the number of doors and windows, and the paint. Use this free. How Much Will A Pint Of Paint Cover.
     
    
         
        From carmabyers.blogspot.com 
                    5 gallon paint covers how many square feet Carma Byers How Much Will A Pint Of Paint Cover  You can also calculate the final cost of paint required! Add in the number of windows and doors in the space. Measure the height and width of each wall to be painted. Your role in the process involves just a few elements: Use the paint calculator tool to figure out how much paint you'll need for your project. Use this. How Much Will A Pint Of Paint Cover.
     
    
         
        From answerschoolkolton88.s3-website-us-east-1.amazonaws.com 
                    Pint Conversion Chart How Much Will A Pint Of Paint Cover  Choose from quick, custom or deck calculation options and enter the measurements of the surface. You will be able to find the paint estimation based on the number of openings or the number of coats of paint. Use this free online tool to find out how much paint you will need for a room based on its dimensions, coverage, and. How Much Will A Pint Of Paint Cover.
     
    
         
        From smallbusinessron.web.fc2.com 
                    how many ounces to a pint How Much Will A Pint Of Paint Cover  Use this free online tool to find out how much paint you will need for a room based on its dimensions, coverage, and coats. Use the paint calculator tool to figure out how much paint you'll need for your project. You will be able to find the paint estimation based on the number of openings or the number of coats. How Much Will A Pint Of Paint Cover.
     
    
         
        From www.lowes.com 
                    Valspar 0.5Pint Interior/Exterior Flat Enamel Flat White LatexBase How Much Will A Pint Of Paint Cover  Choose from quick, custom or deck calculation options and enter the measurements of the surface. Your role in the process involves just a few elements: Measure the height and width of each wall to be painted. This paint coverage calculator makes calculating the amount of paint you'll need for your project nearly automatic. Use this free online tool to find. How Much Will A Pint Of Paint Cover.
     
    
         
        From carmabyers.blogspot.com 
                    5 gallon paint covers how many square feet Carma Byers How Much Will A Pint Of Paint Cover  Add in the number of windows and doors in the space. Input the dimensions of the room, the number of doors and windows, and the paint. Your role in the process involves just a few elements: This paint coverage calculator makes calculating the amount of paint you'll need for your project nearly automatic. This wall painting calculator will help you. How Much Will A Pint Of Paint Cover.
     
    
         
        From www.pinterest.co.uk 
                    Wondering how much a pint of Fusion Mineral Paint will cover? This much How Much Will A Pint Of Paint Cover  Decide if you want to paint the ceiling. Your role in the process involves just a few elements: Use the paint calculator tool to figure out how much paint you'll need for your project. You will be able to find the paint estimation based on the number of openings or the number of coats of paint. This paint coverage calculator. How Much Will A Pint Of Paint Cover.
     
    
         
        From communityrepaint.org.uk 
                    How to calculate the right amount of paint Community RePaint How Much Will A Pint Of Paint Cover  Use this free online tool to find out how much paint you will need for a room based on its dimensions, coverage, and coats. Input the dimensions of the room, the number of doors and windows, and the paint. Add in the number of windows and doors in the space. Decide if you want to paint the ceiling. Measure the. How Much Will A Pint Of Paint Cover.
     
    
         
        From informacionpublica.svet.gob.gt 
                    Standard Paint Can Sizes With Size Chart How Much Will A Pint Of Paint Cover  Use this free online tool to find out how much paint you will need for a room based on its dimensions, coverage, and coats. Input the dimensions of the room, the number of doors and windows, and the paint. This wall painting calculator will help you to work out the minimum amount of paint required for your project, based on. How Much Will A Pint Of Paint Cover.
     
    
         
        From www.numerade.com 
                    ⏩SOLVEDIf one gallon of paint covers 250 square feet, how many… Numerade How Much Will A Pint Of Paint Cover  You will be able to find the paint estimation based on the number of openings or the number of coats of paint. Add in the number of windows and doors in the space. Use the paint calculator tool to figure out how much paint you'll need for your project. Use this free online tool to find out how much paint. How Much Will A Pint Of Paint Cover.
     
    
         
        From www.homedepot.com 
                    RustOleum Painter's Touch 30 oz. Ultra Cover Gloss Clear General How Much Will A Pint Of Paint Cover  Choose from quick, custom or deck calculation options and enter the measurements of the surface. Measure the height and width of each wall to be painted. You can also calculate the final cost of paint required! Your role in the process involves just a few elements: Add in the number of windows and doors in the space. Use this free. How Much Will A Pint Of Paint Cover.
     
    
         
        From www.walmart.com 
                    OneShot 5Color Lettering and Pinstripe Paint 1/4 Pint Cans with Bonus How Much Will A Pint Of Paint Cover  This paint coverage calculator makes calculating the amount of paint you'll need for your project nearly automatic. Your role in the process involves just a few elements: Use this free online tool to find out how much paint you will need for a room based on its dimensions, coverage, and coats. You will be able to find the paint estimation. How Much Will A Pint Of Paint Cover.
     
    
         
        From www.inchcalculator.com 
                    Paint Calculator Estimate Paint and Primer Inch Calculator How Much Will A Pint Of Paint Cover  You can also calculate the final cost of paint required! Choose from quick, custom or deck calculation options and enter the measurements of the surface. You will be able to find the paint estimation based on the number of openings or the number of coats of paint. Add in the number of windows and doors in the space. Use the. How Much Will A Pint Of Paint Cover.
     
    
         
        From exolrydzo.blob.core.windows.net 
                    How Much Is A Pint Of Paint At Walmart at Jo Hall blog How Much Will A Pint Of Paint Cover  This wall painting calculator will help you to work out the minimum amount of paint required for your project, based on a coverage of 10m² per litre. Use this free online tool to find out how much paint you will need for a room based on its dimensions, coverage, and coats. Choose from quick, custom or deck calculation options and. How Much Will A Pint Of Paint Cover.
     
    
         
        From designingidea.com 
                    How to Pick The Right Paint Can Sizes Standard Wall Coverage How Much Will A Pint Of Paint Cover  You can also calculate the final cost of paint required! This wall painting calculator will help you to work out the minimum amount of paint required for your project, based on a coverage of 10m² per litre. Decide if you want to paint the ceiling. You will be able to find the paint estimation based on the number of openings. How Much Will A Pint Of Paint Cover.
     
    
         
        From www.gauthmath.com 
                    Solved William needs 6 pints of paint to finish painting his house How Much Will A Pint Of Paint Cover  You will be able to find the paint estimation based on the number of openings or the number of coats of paint. Use the paint calculator tool to figure out how much paint you'll need for your project. Decide if you want to paint the ceiling. This wall painting calculator will help you to work out the minimum amount of. How Much Will A Pint Of Paint Cover.
     
    
         
        From exolrydzo.blob.core.windows.net 
                    How Much Is A Pint Of Paint At Walmart at Jo Hall blog How Much Will A Pint Of Paint Cover  This paint coverage calculator makes calculating the amount of paint you'll need for your project nearly automatic. Add in the number of windows and doors in the space. Use the paint calculator tool to figure out how much paint you'll need for your project. Measure the height and width of each wall to be painted. Input the dimensions of the. How Much Will A Pint Of Paint Cover.
     
    
         
        From medainipple.blogspot.com 
                    Beautiful Home Decor Wall Hanging Quart Of Paint Vs Pint How Much Will A Pint Of Paint Cover  This paint coverage calculator makes calculating the amount of paint you'll need for your project nearly automatic. Measure the height and width of each wall to be painted. This wall painting calculator will help you to work out the minimum amount of paint required for your project, based on a coverage of 10m² per litre. Input the dimensions of the. How Much Will A Pint Of Paint Cover.
     
    
         
        From www.vehiclegeni.com 
                    Pick Your Color Ready To Spray 1 Pint Of Paint For Ford Car Truck How Much Will A Pint Of Paint Cover  Your role in the process involves just a few elements: You can also calculate the final cost of paint required! This paint coverage calculator makes calculating the amount of paint you'll need for your project nearly automatic. You will be able to find the paint estimation based on the number of openings or the number of coats of paint. Use. How Much Will A Pint Of Paint Cover.
     
    
         
        From www.farmandfleet.com 
                    RustOleum 1/2 Pint Painter's Touch Ultra Cover SemiGloss Black How Much Will A Pint Of Paint Cover  Measure the height and width of each wall to be painted. This paint coverage calculator makes calculating the amount of paint you'll need for your project nearly automatic. Decide if you want to paint the ceiling. Use the paint calculator tool to figure out how much paint you'll need for your project. Choose from quick, custom or deck calculation options. How Much Will A Pint Of Paint Cover.
     
    
         
        From www.elevenobjects.com 
                    How Much Wall Space Will 1 Gallon Of Paint Cover Wall Design Ideas How Much Will A Pint Of Paint Cover  Decide if you want to paint the ceiling. Measure the height and width of each wall to be painted. You will be able to find the paint estimation based on the number of openings or the number of coats of paint. Use this free online tool to find out how much paint you will need for a room based on. How Much Will A Pint Of Paint Cover.
     
    
         
        From bluez002.blogspot.com 
                    How Much Will One Quart Of Paint Cover / Best Look Neutral Base How Much Will A Pint Of Paint Cover  Your role in the process involves just a few elements: Measure the height and width of each wall to be painted. Use the paint calculator tool to figure out how much paint you'll need for your project. Choose from quick, custom or deck calculation options and enter the measurements of the surface. This wall painting calculator will help you to. How Much Will A Pint Of Paint Cover.
     
    
         
        From www.walmart.com 
                    Renaissance Chalk Finish Paint Vermilion Pint (16oz) Chalk How Much Will A Pint Of Paint Cover  This paint coverage calculator makes calculating the amount of paint you'll need for your project nearly automatic. You can also calculate the final cost of paint required! Decide if you want to paint the ceiling. Use the paint calculator tool to figure out how much paint you'll need for your project. Measure the height and width of each wall to. How Much Will A Pint Of Paint Cover.
     
    
         
        From housekeepingbay.com 
                    Paint Can Sizes Detailed Guide Housekeepingbay How Much Will A Pint Of Paint Cover  Your role in the process involves just a few elements: You will be able to find the paint estimation based on the number of openings or the number of coats of paint. Input the dimensions of the room, the number of doors and windows, and the paint. Use this free online tool to find out how much paint you will. How Much Will A Pint Of Paint Cover.
     
    
         
        From www.lowes.com 
                    Valspar 0.5Pint Interior/Exterior Flat Enamel Flat Black LatexBase How Much Will A Pint Of Paint Cover  Add in the number of windows and doors in the space. Your role in the process involves just a few elements: Use this free online tool to find out how much paint you will need for a room based on its dimensions, coverage, and coats. Use the paint calculator tool to figure out how much paint you'll need for your. How Much Will A Pint Of Paint Cover.
     
    
         
        From homedecorbliss.com 
                    How Much Does A Pint of Paint Cover? Home Decor Bliss How Much Will A Pint Of Paint Cover  Measure the height and width of each wall to be painted. Your role in the process involves just a few elements: Input the dimensions of the room, the number of doors and windows, and the paint. Decide if you want to paint the ceiling. This paint coverage calculator makes calculating the amount of paint you'll need for your project nearly. How Much Will A Pint Of Paint Cover.