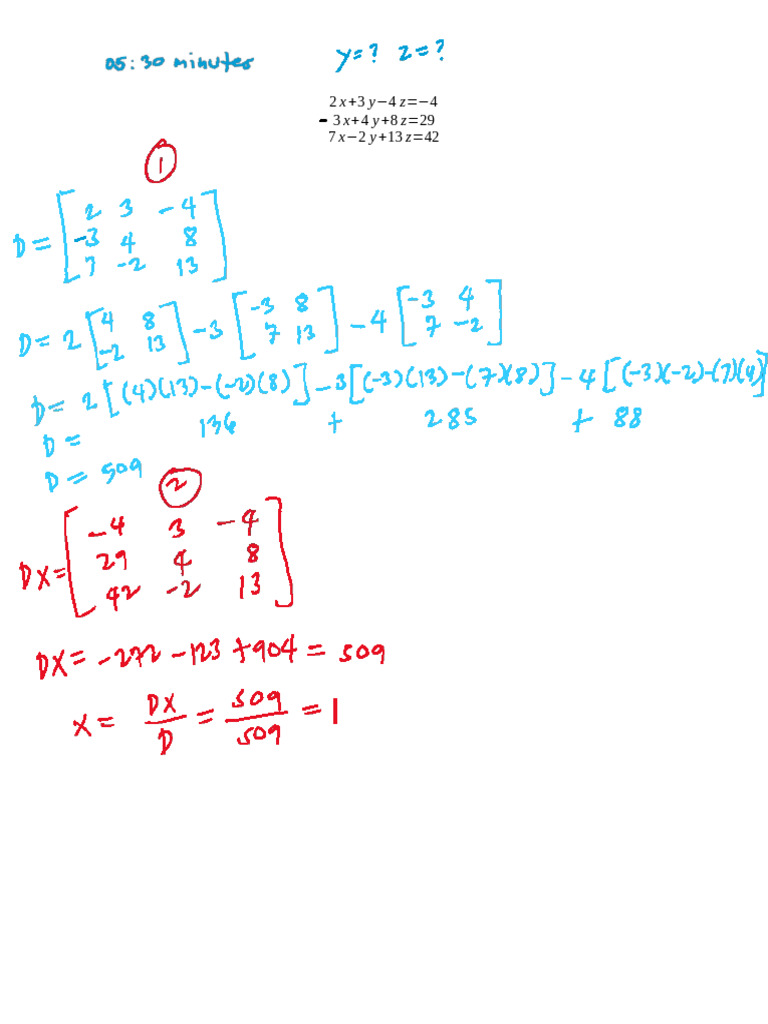
Cramer's Rule For 3X3 . Cramer’s rule is a viable and efficient method for finding solutions to systems with an arbitrary number of unknowns, provided that we have the. Now that we can find the determinant of a \ (3 × 3\) matrix, we can apply cramer’s rule to solve a system of three equations in three variables. Cramer’s rule for 3×3 system. Learn cramer’s rule for matrices of order 2x2, 3x3,. To solve a system of linear equations using cramer's rule algorithm you need to do the following steps. This precalculus video tutorial provides a basic introduction into cramer's rule. It explains how to solve a system of linear equations with 3. Cramer’s rule is used to determine the solution of a system of linear equations in n variables. Here are the steps to solve this system of 3x3 equations in three variables x, y, and z by applying cramer's rule. Calculate a determinant of the. First, find the determinant of the coefficient. Learn the formula to find the determinant of a 3x3 matrix. Understand how cramer's rule works on a system of linear equations with three variables! Write this system in matrix form is ax = b. Find d which is the.
from www.youtube.com
Now that we can find the determinant of a \ (3 × 3\) matrix, we can apply cramer’s rule to solve a system of three equations in three variables. This precalculus video tutorial provides a basic introduction into cramer's rule. Learn the formula to find the determinant of a 3x3 matrix. Understand how cramer's rule works on a system of linear equations with three variables! Find d which is the. Here are the steps to solve this system of 3x3 equations in three variables x, y, and z by applying cramer's rule. Learn cramer’s rule for matrices of order 2x2, 3x3,. It explains how to solve a system of linear equations with 3. To solve a system of linear equations using cramer's rule algorithm you need to do the following steps. Cramer’s rule is used to determine the solution of a system of linear equations in n variables.
Cramer's Rule with MATLAB code YouTube
Cramer's Rule For 3X3 It explains how to solve a system of linear equations with 3. To solve a system of linear equations using cramer's rule algorithm you need to do the following steps. Cramer’s rule is used to determine the solution of a system of linear equations in n variables. Write this system in matrix form is ax = b. This precalculus video tutorial provides a basic introduction into cramer's rule. First, find the determinant of the coefficient. Here are the steps to solve this system of 3x3 equations in three variables x, y, and z by applying cramer's rule. Calculate a determinant of the. Now that we can find the determinant of a \ (3 × 3\) matrix, we can apply cramer’s rule to solve a system of three equations in three variables. Find d which is the. Learn the formula to find the determinant of a 3x3 matrix. It explains how to solve a system of linear equations with 3. Learn cramer’s rule for matrices of order 2x2, 3x3,. Cramer’s rule is a viable and efficient method for finding solutions to systems with an arbitrary number of unknowns, provided that we have the. Understand how cramer's rule works on a system of linear equations with three variables! Cramer’s rule for 3×3 system.
From www.youtube.com
Cramer’s rule for a 3 by 3 system YouTube Cramer's Rule For 3X3 Calculate a determinant of the. This precalculus video tutorial provides a basic introduction into cramer's rule. To solve a system of linear equations using cramer's rule algorithm you need to do the following steps. It explains how to solve a system of linear equations with 3. Here are the steps to solve this system of 3x3 equations in three variables. Cramer's Rule For 3X3.
From www.youtube.com
3x3 Cramer's Rule Lecture 24 YouTube Cramer's Rule For 3X3 First, find the determinant of the coefficient. To solve a system of linear equations using cramer's rule algorithm you need to do the following steps. Cramer’s rule for 3×3 system. Learn cramer’s rule for matrices of order 2x2, 3x3,. It explains how to solve a system of linear equations with 3. Write this system in matrix form is ax =. Cramer's Rule For 3X3.
From www.youtube.com
Cramer's Rule 3x3 YouTube Cramer's Rule For 3X3 First, find the determinant of the coefficient. Learn cramer’s rule for matrices of order 2x2, 3x3,. Write this system in matrix form is ax = b. This precalculus video tutorial provides a basic introduction into cramer's rule. Here are the steps to solve this system of 3x3 equations in three variables x, y, and z by applying cramer's rule. Understand. Cramer's Rule For 3X3.
From www.youtube.com
Cramer's rule System of Linear Equations Determinants Solution of linear equation YouTube Cramer's Rule For 3X3 Learn cramer’s rule for matrices of order 2x2, 3x3,. This precalculus video tutorial provides a basic introduction into cramer's rule. Learn the formula to find the determinant of a 3x3 matrix. Cramer’s rule is a viable and efficient method for finding solutions to systems with an arbitrary number of unknowns, provided that we have the. It explains how to solve. Cramer's Rule For 3X3.
From www.algebrapracticeproblems.com
How to solve systems of equations using Cramer's rule (practice) Cramer's Rule For 3X3 Cramer’s rule is used to determine the solution of a system of linear equations in n variables. It explains how to solve a system of linear equations with 3. Understand how cramer's rule works on a system of linear equations with three variables! Here are the steps to solve this system of 3x3 equations in three variables x, y, and. Cramer's Rule For 3X3.
From www.showme.com
Cramer's rule for 3x3 system of equations Math, Algebra 2 ShowMe Cramer's Rule For 3X3 Now that we can find the determinant of a \ (3 × 3\) matrix, we can apply cramer’s rule to solve a system of three equations in three variables. Cramer’s rule is a viable and efficient method for finding solutions to systems with an arbitrary number of unknowns, provided that we have the. Here are the steps to solve this. Cramer's Rule For 3X3.
From www.storyofmathematics.com
Cramer's rule Explanation & Examples Cramer's Rule For 3X3 Find d which is the. It explains how to solve a system of linear equations with 3. Cramer’s rule for 3×3 system. Here are the steps to solve this system of 3x3 equations in three variables x, y, and z by applying cramer's rule. Write this system in matrix form is ax = b. This precalculus video tutorial provides a. Cramer's Rule For 3X3.
From www.showme.com
Fletch Cramer's Rule 3x3 ShowMe Cramer's Rule For 3X3 First, find the determinant of the coefficient. Here are the steps to solve this system of 3x3 equations in three variables x, y, and z by applying cramer's rule. Find d which is the. It explains how to solve a system of linear equations with 3. Understand how cramer's rule works on a system of linear equations with three variables!. Cramer's Rule For 3X3.
From www.geeksforgeeks.org
Cramer's Rule Formula, 2×2, 3×3, Solved Examples, and FAQs Cramer's Rule For 3X3 To solve a system of linear equations using cramer's rule algorithm you need to do the following steps. It explains how to solve a system of linear equations with 3. This precalculus video tutorial provides a basic introduction into cramer's rule. First, find the determinant of the coefficient. Cramer’s rule is used to determine the solution of a system of. Cramer's Rule For 3X3.
From www.youtube.com
Video 2 Cramer's Rule of 3 x 3 Matrix YouTube Cramer's Rule For 3X3 First, find the determinant of the coefficient. Cramer’s rule is used to determine the solution of a system of linear equations in n variables. Cramer’s rule for 3×3 system. Find d which is the. This precalculus video tutorial provides a basic introduction into cramer's rule. Understand how cramer's rule works on a system of linear equations with three variables! Here. Cramer's Rule For 3X3.
From www.slideserve.com
PPT Cramer’s Rule PowerPoint Presentation, free download ID4489111 Cramer's Rule For 3X3 Learn cramer’s rule for matrices of order 2x2, 3x3,. It explains how to solve a system of linear equations with 3. Learn the formula to find the determinant of a 3x3 matrix. To solve a system of linear equations using cramer's rule algorithm you need to do the following steps. First, find the determinant of the coefficient. Find d which. Cramer's Rule For 3X3.
From www.youtube.com
4.3 Cramer's Rule 3x3 System YouTube Cramer's Rule For 3X3 Calculate a determinant of the. Learn the formula to find the determinant of a 3x3 matrix. Understand how cramer's rule works on a system of linear equations with three variables! Find d which is the. It explains how to solve a system of linear equations with 3. To solve a system of linear equations using cramer's rule algorithm you need. Cramer's Rule For 3X3.
From slideplayer.com
Applying Determinants to solve Systems of Equations 2x2 & 3x3 ppt download Cramer's Rule For 3X3 Cramer’s rule for 3×3 system. Calculate a determinant of the. First, find the determinant of the coefficient. To solve a system of linear equations using cramer's rule algorithm you need to do the following steps. Cramer’s rule is used to determine the solution of a system of linear equations in n variables. Understand how cramer's rule works on a system. Cramer's Rule For 3X3.
From www.electricaltechnology.org
Cramer's Rule Calculator 2 and 3 Equations System Solved Examples Cramer's Rule For 3X3 It explains how to solve a system of linear equations with 3. This precalculus video tutorial provides a basic introduction into cramer's rule. First, find the determinant of the coefficient. Understand how cramer's rule works on a system of linear equations with three variables! Find d which is the. Learn cramer’s rule for matrices of order 2x2, 3x3,. To solve. Cramer's Rule For 3X3.
From www.geeksforgeeks.org
Cramer's Rule Formula, 2×2, 3×3, Solved Examples, and FAQs Cramer's Rule For 3X3 It explains how to solve a system of linear equations with 3. To solve a system of linear equations using cramer's rule algorithm you need to do the following steps. Now that we can find the determinant of a \ (3 × 3\) matrix, we can apply cramer’s rule to solve a system of three equations in three variables. Understand. Cramer's Rule For 3X3.
From www.youtube.com
Cramer's Rule Example of 3x3 system of equations YouTube Cramer's Rule For 3X3 Now that we can find the determinant of a \ (3 × 3\) matrix, we can apply cramer’s rule to solve a system of three equations in three variables. First, find the determinant of the coefficient. To solve a system of linear equations using cramer's rule algorithm you need to do the following steps. Cramer’s rule for 3×3 system. Write. Cramer's Rule For 3X3.
From www.youtube.com
Cramer's Rule 3x3 Matrix YouTube Cramer's Rule For 3X3 Learn the formula to find the determinant of a 3x3 matrix. Cramer’s rule is a viable and efficient method for finding solutions to systems with an arbitrary number of unknowns, provided that we have the. Here are the steps to solve this system of 3x3 equations in three variables x, y, and z by applying cramer's rule. Calculate a determinant. Cramer's Rule For 3X3.
From www.youtube.com
Solve 3x3 using Cramer's Rule YouTube Cramer's Rule For 3X3 Calculate a determinant of the. Now that we can find the determinant of a \ (3 × 3\) matrix, we can apply cramer’s rule to solve a system of three equations in three variables. Cramer’s rule is a viable and efficient method for finding solutions to systems with an arbitrary number of unknowns, provided that we have the. Learn the. Cramer's Rule For 3X3.
From www.youtube.com
PC 7.8 Notes Example 4 Using Cramer's Rule (3x3 Matrix) YouTube Cramer's Rule For 3X3 It explains how to solve a system of linear equations with 3. This precalculus video tutorial provides a basic introduction into cramer's rule. Understand how cramer's rule works on a system of linear equations with three variables! Calculate a determinant of the. Find d which is the. Here are the steps to solve this system of 3x3 equations in three. Cramer's Rule For 3X3.
From www.youtube.com
Solving a 3x3 System Using Cramer's Rule by GeoGebra YouTube Cramer's Rule For 3X3 It explains how to solve a system of linear equations with 3. Cramer’s rule is used to determine the solution of a system of linear equations in n variables. Write this system in matrix form is ax = b. Calculate a determinant of the. Now that we can find the determinant of a \ (3 × 3\) matrix, we can. Cramer's Rule For 3X3.
From www.youtube.com
Cramer's rule with calculator 3x3 matrix YouTube Cramer's Rule For 3X3 To solve a system of linear equations using cramer's rule algorithm you need to do the following steps. Find d which is the. Calculate a determinant of the. Learn cramer’s rule for matrices of order 2x2, 3x3,. Write this system in matrix form is ax = b. First, find the determinant of the coefficient. Learn the formula to find the. Cramer's Rule For 3X3.
From www.slideserve.com
PPT Cramer's Rule PowerPoint Presentation, free download ID1712785 Cramer's Rule For 3X3 Cramer’s rule is used to determine the solution of a system of linear equations in n variables. This precalculus video tutorial provides a basic introduction into cramer's rule. Write this system in matrix form is ax = b. Cramer’s rule for 3×3 system. To solve a system of linear equations using cramer's rule algorithm you need to do the following. Cramer's Rule For 3X3.
From www.youtube.com
Cramer's rule 3x3 matricesHow to use cramer's rule 3x3Linear equations by cramer's rule Cramer's Rule For 3X3 Cramer’s rule is a viable and efficient method for finding solutions to systems with an arbitrary number of unknowns, provided that we have the. To solve a system of linear equations using cramer's rule algorithm you need to do the following steps. Cramer’s rule for 3×3 system. Now that we can find the determinant of a \ (3 × 3\). Cramer's Rule For 3X3.
From www.youtube.com
Cramer's Rule and 3x3 matrices YouTube Cramer's Rule For 3X3 First, find the determinant of the coefficient. To solve a system of linear equations using cramer's rule algorithm you need to do the following steps. Write this system in matrix form is ax = b. Calculate a determinant of the. Cramer’s rule is a viable and efficient method for finding solutions to systems with an arbitrary number of unknowns, provided. Cramer's Rule For 3X3.
From www.youtube.com
Cramer's Rule Example 3x3 Linear Algebra Example Problems YouTube Cramer's Rule For 3X3 To solve a system of linear equations using cramer's rule algorithm you need to do the following steps. Understand how cramer's rule works on a system of linear equations with three variables! Cramer’s rule is a viable and efficient method for finding solutions to systems with an arbitrary number of unknowns, provided that we have the. It explains how to. Cramer's Rule For 3X3.
From www.youtube.com
Cramer's Rule for 3x3 system of linear equations(Two examples) YouTube Cramer's Rule For 3X3 Write this system in matrix form is ax = b. Here are the steps to solve this system of 3x3 equations in three variables x, y, and z by applying cramer's rule. Cramer’s rule for 3×3 system. Calculate a determinant of the. Understand how cramer's rule works on a system of linear equations with three variables! To solve a system. Cramer's Rule For 3X3.
From www.scribd.com
Cramer's Rule 3x3 PDF Cramer's Rule For 3X3 To solve a system of linear equations using cramer's rule algorithm you need to do the following steps. Calculate a determinant of the. Now that we can find the determinant of a \ (3 × 3\) matrix, we can apply cramer’s rule to solve a system of three equations in three variables. Learn cramer’s rule for matrices of order 2x2,. Cramer's Rule For 3X3.
From www.youtube.com
Cramer's Rule 3x3 Linear System by Nagama Kazzi YouTube Cramer's Rule For 3X3 It explains how to solve a system of linear equations with 3. To solve a system of linear equations using cramer's rule algorithm you need to do the following steps. Write this system in matrix form is ax = b. Find d which is the. Understand how cramer's rule works on a system of linear equations with three variables! Cramer’s. Cramer's Rule For 3X3.
From www.youtube.com
Cramer's Rule Tutorial How To Solve a 3x3 System Fully Worked Example YouTube Cramer's Rule For 3X3 Write this system in matrix form is ax = b. To solve a system of linear equations using cramer's rule algorithm you need to do the following steps. Cramer’s rule is a viable and efficient method for finding solutions to systems with an arbitrary number of unknowns, provided that we have the. Learn the formula to find the determinant of. Cramer's Rule For 3X3.
From slidetodoc.com
3 7 Evaluate Determinants Apply Cramers Rule Associated Cramer's Rule For 3X3 Learn cramer’s rule for matrices of order 2x2, 3x3,. First, find the determinant of the coefficient. Calculate a determinant of the. Cramer’s rule for 3×3 system. Learn the formula to find the determinant of a 3x3 matrix. To solve a system of linear equations using cramer's rule algorithm you need to do the following steps. This precalculus video tutorial provides. Cramer's Rule For 3X3.
From www.youtube.com
Cramer's Rule 3x3 Linear Equation Numerical Methods YouTube Cramer's Rule For 3X3 Find d which is the. Cramer’s rule for 3×3 system. Cramer’s rule is used to determine the solution of a system of linear equations in n variables. Write this system in matrix form is ax = b. It explains how to solve a system of linear equations with 3. Here are the steps to solve this system of 3x3 equations. Cramer's Rule For 3X3.
From www.youtube.com
Cramer's Rule with MATLAB code YouTube Cramer's Rule For 3X3 Calculate a determinant of the. Here are the steps to solve this system of 3x3 equations in three variables x, y, and z by applying cramer's rule. First, find the determinant of the coefficient. This precalculus video tutorial provides a basic introduction into cramer's rule. Cramer’s rule is used to determine the solution of a system of linear equations in. Cramer's Rule For 3X3.
From www.youtube.com
Part 2Cramer's rule to solve 3x3 System of equation YouTube Cramer's Rule For 3X3 It explains how to solve a system of linear equations with 3. Cramer’s rule is used to determine the solution of a system of linear equations in n variables. This precalculus video tutorial provides a basic introduction into cramer's rule. Cramer’s rule is a viable and efficient method for finding solutions to systems with an arbitrary number of unknowns, provided. Cramer's Rule For 3X3.
From www.slideserve.com
PPT Cramer’s Rule PowerPoint Presentation ID242422 Cramer's Rule For 3X3 First, find the determinant of the coefficient. It explains how to solve a system of linear equations with 3. Now that we can find the determinant of a \ (3 × 3\) matrix, we can apply cramer’s rule to solve a system of three equations in three variables. Find d which is the. Understand how cramer's rule works on a. Cramer's Rule For 3X3.
From www.youtube.com
Cramer's Rule 3x3 Linear System YouTube Cramer's Rule For 3X3 Here are the steps to solve this system of 3x3 equations in three variables x, y, and z by applying cramer's rule. Cramer’s rule for 3×3 system. Calculate a determinant of the. Cramer’s rule is a viable and efficient method for finding solutions to systems with an arbitrary number of unknowns, provided that we have the. Learn cramer’s rule for. Cramer's Rule For 3X3.