What Is Commercial Unit Of Energy Express It In Joule . Express it in terms of joules. Therefore, the relationship between commercial and si units of energy is: The joule (/ dʒ uː l / jool, or / dʒ aʊ l / jowl; [1] it is equal to the. 1 kwh = 1kw x 1h = 1000w x 1h = 1000(j/s) x 3600 s = 3.6 x10 6 j Commercial unit of electric energy is kilowatt hour (kwh). Convert 1 kwh into joule. J) is the unit of energy in the international system of units (si). (a) derive the relation between commercial unit of energy (kwh) and. Calculate the energy in joule consumed by a device of 60 w. The commercial unit of energy is 1 kwh. The si unit of energy is joule. 1 kwh is the amount of energy. Mention the commercial unit of energy. The commercial unit of electric energy is kilowatt hour (kw h), commonly known as 'unit'.
from www.youtube.com
The joule (/ dʒ uː l / jool, or / dʒ aʊ l / jowl; The si unit of energy is joule. Therefore, the relationship between commercial and si units of energy is: Commercial unit of electric energy is kilowatt hour (kwh). The commercial unit of electric energy is kilowatt hour (kw h), commonly known as 'unit'. The value of commercial unit of electrical energy in terms of joules: Calculate the energy in joule consumed by a device of 60 w. [1] it is equal to the. The commercial unit of energy is 1 kwh. 1 kwh is the amount of energy.
Commercial unit of Energy Class9th Chapter11 Work and Energy
What Is Commercial Unit Of Energy Express It In Joule The commercial unit of electric energy is kilowatt hour (kw h), commonly known as 'unit'. [1] it is equal to the. J) is the unit of energy in the international system of units (si). The value of commercial unit of electrical energy in terms of joules: Calculate the energy in joule consumed by a device of 60 w. Express it in terms of joules. Therefore, the relationship between commercial and si units of energy is: Convert 1 kwh into joule. The joule (/ dʒ uː l / jool, or / dʒ aʊ l / jowl; Commercial unit of electric energy is kilowatt hour (kwh). (a) derive the relation between commercial unit of energy (kwh) and. The commercial unit of electric energy is kilowatt hour (kw h), commonly known as 'unit'. The commercial unit of energy is 1 kwh. 1 kwh is the amount of energy. Mention the commercial unit of energy. The si unit of energy is joule.
From www.slideserve.com
PPT Unit Joule *Energy PowerPoint Presentation, free download ID What Is Commercial Unit Of Energy Express It In Joule (a) derive the relation between commercial unit of energy (kwh) and. Calculate the energy in joule consumed by a device of 60 w. The value of commercial unit of electrical energy in terms of joules: 1 kwh is the amount of energy. J) is the unit of energy in the international system of units (si). Therefore, the relationship between commercial. What Is Commercial Unit Of Energy Express It In Joule.
From www.electricalvolt.com
What is the Unit Of Energy? SI Unit, CGS, MKS, Conversion Table What Is Commercial Unit Of Energy Express It In Joule 1 kwh is the amount of energy. The value of commercial unit of electrical energy in terms of joules: The commercial unit of electric energy is kilowatt hour (kw h), commonly known as 'unit'. (a) derive the relation between commercial unit of energy (kwh) and. Calculate the energy in joule consumed by a device of 60 w. Express it in. What Is Commercial Unit Of Energy Express It In Joule.
From haipernews.com
How To Measure Light Joules Haiper What Is Commercial Unit Of Energy Express It In Joule The commercial unit of energy is 1 kwh. The value of commercial unit of electrical energy in terms of joules: The si unit of energy is joule. Therefore, the relationship between commercial and si units of energy is: Express it in terms of joules. (a) derive the relation between commercial unit of energy (kwh) and. The joule (/ dʒ uː. What Is Commercial Unit Of Energy Express It In Joule.
From brainly.in
what is commerical unit of electrical energy ? Represent it in terms of What Is Commercial Unit Of Energy Express It In Joule Therefore, the relationship between commercial and si units of energy is: The value of commercial unit of electrical energy in terms of joules: Convert 1 kwh into joule. The joule (/ dʒ uː l / jool, or / dʒ aʊ l / jowl; The si unit of energy is joule. [1] it is equal to the. Commercial unit of electric. What Is Commercial Unit Of Energy Express It In Joule.
From www.youtube.com
class9 chapter11 work and unit of energy What Is Commercial Unit Of Energy Express It In Joule 1 kwh is the amount of energy. Convert 1 kwh into joule. 1 kwh = 1kw x 1h = 1000w x 1h = 1000(j/s) x 3600 s = 3.6 x10 6 j Commercial unit of electric energy is kilowatt hour (kwh). Express it in terms of joules. J) is the unit of energy in the international system of units (si).. What Is Commercial Unit Of Energy Express It In Joule.
From www.youtube.com
kWh is the unit of Energy or Power?What is 1kWhJoules in 1kWh What Is Commercial Unit Of Energy Express It In Joule 1 kwh = 1kw x 1h = 1000w x 1h = 1000(j/s) x 3600 s = 3.6 x10 6 j Express it in terms of joules. Convert 1 kwh into joule. Mention the commercial unit of energy. The joule (/ dʒ uː l / jool, or / dʒ aʊ l / jowl; (a) derive the relation between commercial unit of. What Is Commercial Unit Of Energy Express It In Joule.
From quizdbcornwallis.z21.web.core.windows.net
Joule Derived Unit What Is Commercial Unit Of Energy Express It In Joule Calculate the energy in joule consumed by a device of 60 w. Commercial unit of electric energy is kilowatt hour (kwh). J) is the unit of energy in the international system of units (si). Express it in terms of joules. Therefore, the relationship between commercial and si units of energy is: [1] it is equal to the. The commercial unit. What Is Commercial Unit Of Energy Express It In Joule.
From www.youtube.com
Kilowatt hour unit of energy// Class 9 Physics//Chapter What Is Commercial Unit Of Energy Express It In Joule The value of commercial unit of electrical energy in terms of joules: The joule (/ dʒ uː l / jool, or / dʒ aʊ l / jowl; [1] it is equal to the. The commercial unit of energy is 1 kwh. The commercial unit of electric energy is kilowatt hour (kw h), commonly known as 'unit'. (a) derive the relation. What Is Commercial Unit Of Energy Express It In Joule.
From www.youtube.com
What is the commercial unit of electrical energy? Represent it in terms What Is Commercial Unit Of Energy Express It In Joule Calculate the energy in joule consumed by a device of 60 w. Therefore, the relationship between commercial and si units of energy is: Express it in terms of joules. J) is the unit of energy in the international system of units (si). 1 kwh = 1kw x 1h = 1000w x 1h = 1000(j/s) x 3600 s = 3.6 x10. What Is Commercial Unit Of Energy Express It In Joule.
From www.youtube.com
What is Commercial Unit of Energy Work, Energy, Power L12 Class 9 What Is Commercial Unit Of Energy Express It In Joule (a) derive the relation between commercial unit of energy (kwh) and. The joule (/ dʒ uː l / jool, or / dʒ aʊ l / jowl; Express it in terms of joules. The commercial unit of electric energy is kilowatt hour (kw h), commonly known as 'unit'. Mention the commercial unit of energy. 1 kwh is the amount of energy.. What Is Commercial Unit Of Energy Express It In Joule.
From www.youtube.com
01 01 02 Express Derived Unit as Base Units YouTube What Is Commercial Unit Of Energy Express It In Joule Therefore, the relationship between commercial and si units of energy is: [1] it is equal to the. The si unit of energy is joule. 1 kwh = 1kw x 1h = 1000w x 1h = 1000(j/s) x 3600 s = 3.6 x10 6 j Calculate the energy in joule consumed by a device of 60 w. Convert 1 kwh into. What Is Commercial Unit Of Energy Express It In Joule.
From www.176iot.com
what is commercial unit of electrical energy converted into joules What Is Commercial Unit Of Energy Express It In Joule The commercial unit of electric energy is kilowatt hour (kw h), commonly known as 'unit'. The joule (/ dʒ uː l / jool, or / dʒ aʊ l / jowl; Calculate the energy in joule consumed by a device of 60 w. Express it in terms of joules. The value of commercial unit of electrical energy in terms of joules:. What Is Commercial Unit Of Energy Express It In Joule.
From exowyosmc.blob.core.windows.net
Bb Joule Calculator at Herbert Simmons blog What Is Commercial Unit Of Energy Express It In Joule The commercial unit of energy is 1 kwh. Express it in terms of joules. The si unit of energy is joule. The value of commercial unit of electrical energy in terms of joules: 1 kwh = 1kw x 1h = 1000w x 1h = 1000(j/s) x 3600 s = 3.6 x10 6 j Therefore, the relationship between commercial and si. What Is Commercial Unit Of Energy Express It In Joule.
From www.176iot.com
what is commercial unit of electrical energy converted into joules What Is Commercial Unit Of Energy Express It In Joule Calculate the energy in joule consumed by a device of 60 w. The commercial unit of energy is 1 kwh. Express it in terms of joules. The joule (/ dʒ uː l / jool, or / dʒ aʊ l / jowl; J) is the unit of energy in the international system of units (si). The commercial unit of electric energy. What Is Commercial Unit Of Energy Express It In Joule.
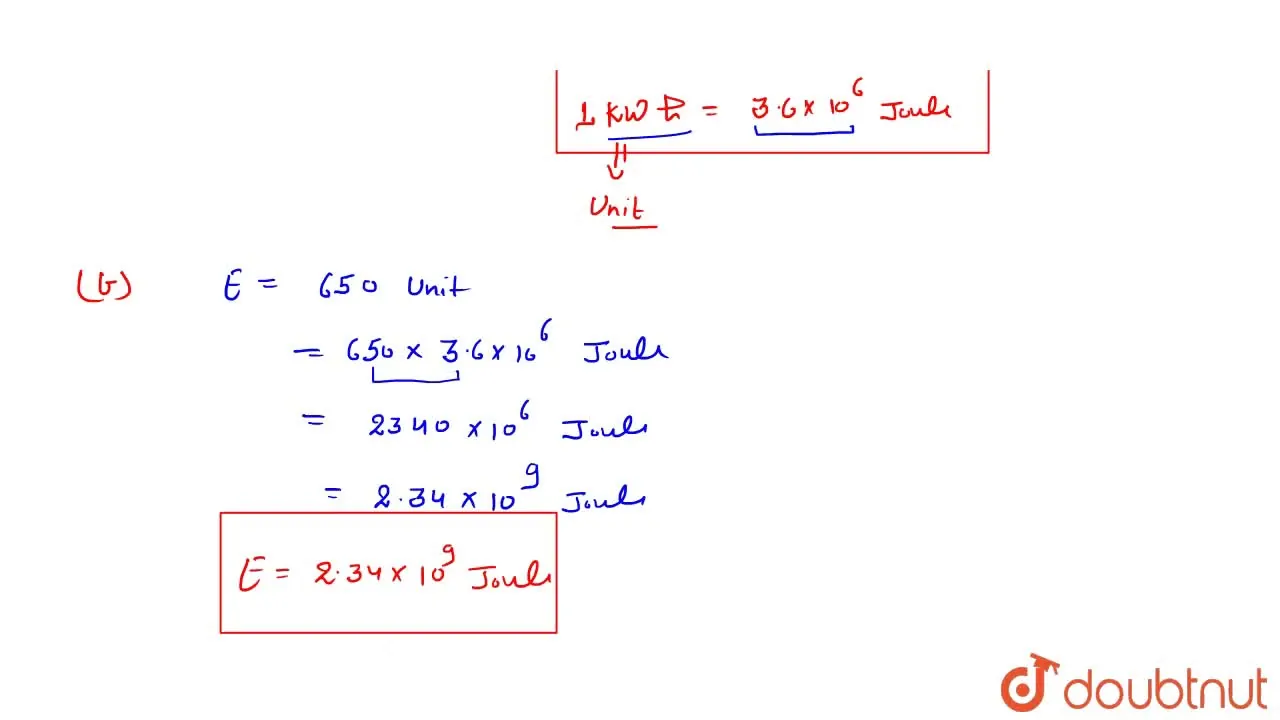
From www.doubtnut.com
(a) Derive the relation between commercial unit of energy (kWh) and SI What Is Commercial Unit Of Energy Express It In Joule Commercial unit of electric energy is kilowatt hour (kwh). The commercial unit of electric energy is kilowatt hour (kw h), commonly known as 'unit'. The value of commercial unit of electrical energy in terms of joules: Convert 1 kwh into joule. The si unit of energy is joule. The joule (/ dʒ uː l / jool, or / dʒ aʊ. What Is Commercial Unit Of Energy Express It In Joule.
From www.youtube.com
ELECTRICITY Class 10 Part 4 Joule's Law of Heating Electric Power What Is Commercial Unit Of Energy Express It In Joule Express it in terms of joules. 1 kwh is the amount of energy. [1] it is equal to the. 1 kwh = 1kw x 1h = 1000w x 1h = 1000(j/s) x 3600 s = 3.6 x10 6 j (a) derive the relation between commercial unit of energy (kwh) and. The si unit of energy is joule. Therefore, the relationship. What Is Commercial Unit Of Energy Express It In Joule.
From ffden-2.phys.uaf.edu
Slide 5 What Is Commercial Unit Of Energy Express It In Joule Therefore, the relationship between commercial and si units of energy is: The joule (/ dʒ uː l / jool, or / dʒ aʊ l / jowl; Convert 1 kwh into joule. Express it in terms of joules. (a) derive the relation between commercial unit of energy (kwh) and. The commercial unit of electric energy is kilowatt hour (kw h), commonly. What Is Commercial Unit Of Energy Express It In Joule.
From www.youtube.com
Relationship Between SI unit & commercial unit of Energy ( 1 kWh = 3.6 What Is Commercial Unit Of Energy Express It In Joule Mention the commercial unit of energy. 1 kwh is the amount of energy. Convert 1 kwh into joule. The commercial unit of electric energy is kilowatt hour (kw h), commonly known as 'unit'. The commercial unit of energy is 1 kwh. The si unit of energy is joule. The joule (/ dʒ uː l / jool, or / dʒ aʊ. What Is Commercial Unit Of Energy Express It In Joule.
From www.electricalvolt.com
What is the Unit Of Energy? SI Unit, CGS, MKS, Conversion Table What Is Commercial Unit Of Energy Express It In Joule Calculate the energy in joule consumed by a device of 60 w. The si unit of energy is joule. Commercial unit of electric energy is kilowatt hour (kwh). 1 kwh is the amount of energy. Express it in terms of joules. [1] it is equal to the. Therefore, the relationship between commercial and si units of energy is: (a) derive. What Is Commercial Unit Of Energy Express It In Joule.
From brainly.in
Derive the relation of commercial unit of energy with 1 Joule.? Do it What Is Commercial Unit Of Energy Express It In Joule Therefore, the relationship between commercial and si units of energy is: The si unit of energy is joule. The value of commercial unit of electrical energy in terms of joules: Express it in terms of joules. Commercial unit of electric energy is kilowatt hour (kwh). J) is the unit of energy in the international system of units (si). Calculate the. What Is Commercial Unit Of Energy Express It In Joule.
From answerlisthydra.z21.web.core.windows.net
1. How Is A Joule Defined What Is Commercial Unit Of Energy Express It In Joule Express it in terms of joules. The commercial unit of electric energy is kilowatt hour (kw h), commonly known as 'unit'. The value of commercial unit of electrical energy in terms of joules: [1] it is equal to the. Convert 1 kwh into joule. Mention the commercial unit of energy. (a) derive the relation between commercial unit of energy (kwh). What Is Commercial Unit Of Energy Express It In Joule.
From exykeehte.blob.core.windows.net
How Much Energy Has Your Body Used In Joules at Martin Keith blog What Is Commercial Unit Of Energy Express It In Joule Convert 1 kwh into joule. [1] it is equal to the. Therefore, the relationship between commercial and si units of energy is: J) is the unit of energy in the international system of units (si). (a) derive the relation between commercial unit of energy (kwh) and. The joule (/ dʒ uː l / jool, or / dʒ aʊ l /. What Is Commercial Unit Of Energy Express It In Joule.
From alophoto.net
What Is A Watt In Si Units Demystifying Electrical Power Measurements What Is Commercial Unit Of Energy Express It In Joule The commercial unit of electric energy is kilowatt hour (kw h), commonly known as 'unit'. Commercial unit of electric energy is kilowatt hour (kwh). (a) derive the relation between commercial unit of energy (kwh) and. The commercial unit of energy is 1 kwh. 1 kwh is the amount of energy. Mention the commercial unit of energy. Calculate the energy in. What Is Commercial Unit Of Energy Express It In Joule.
From www.teachoo.com
(a) Write Joule’s law of heating. (b) Two lamps one rated 100 W 220 What Is Commercial Unit Of Energy Express It In Joule The commercial unit of energy is 1 kwh. J) is the unit of energy in the international system of units (si). Express it in terms of joules. The value of commercial unit of electrical energy in terms of joules: (a) derive the relation between commercial unit of energy (kwh) and. [1] it is equal to the. 1 kwh is the. What Is Commercial Unit Of Energy Express It In Joule.
From www.youtube.com
Commercial unit of Energy Class9th Chapter11 Work and Energy What Is Commercial Unit Of Energy Express It In Joule Convert 1 kwh into joule. The commercial unit of energy is 1 kwh. Mention the commercial unit of energy. The value of commercial unit of electrical energy in terms of joules: (a) derive the relation between commercial unit of energy (kwh) and. The joule (/ dʒ uː l / jool, or / dʒ aʊ l / jowl; Express it in. What Is Commercial Unit Of Energy Express It In Joule.
From www.slideserve.com
PPT CHAPTER 11 WORK AND ENERGY PowerPoint Presentation, free What Is Commercial Unit Of Energy Express It In Joule [1] it is equal to the. Calculate the energy in joule consumed by a device of 60 w. 1 kwh = 1kw x 1h = 1000w x 1h = 1000(j/s) x 3600 s = 3.6 x10 6 j The commercial unit of electric energy is kilowatt hour (kw h), commonly known as 'unit'. Express it in terms of joules. The. What Is Commercial Unit Of Energy Express It In Joule.
From www.slideserve.com
PPT Chapter 5. Thermochemistry. PowerPoint Presentation, free What Is Commercial Unit Of Energy Express It In Joule The si unit of energy is joule. Convert 1 kwh into joule. The joule (/ dʒ uː l / jool, or / dʒ aʊ l / jowl; The commercial unit of energy is 1 kwh. [1] it is equal to the. The value of commercial unit of electrical energy in terms of joules: J) is the unit of energy in. What Is Commercial Unit Of Energy Express It In Joule.
From h-o-m-e.org
Coulomb to Joule Conversion and Relationship Explained What Is Commercial Unit Of Energy Express It In Joule [1] it is equal to the. Commercial unit of electric energy is kilowatt hour (kwh). The value of commercial unit of electrical energy in terms of joules: J) is the unit of energy in the international system of units (si). Convert 1 kwh into joule. Express it in terms of joules. 1 kwh is the amount of energy. Therefore, the. What Is Commercial Unit Of Energy Express It In Joule.
From brainly.in
What is commercial unit of energy? Find its value in joule. Brainly.in What Is Commercial Unit Of Energy Express It In Joule Calculate the energy in joule consumed by a device of 60 w. Mention the commercial unit of energy. Therefore, the relationship between commercial and si units of energy is: [1] it is equal to the. The value of commercial unit of electrical energy in terms of joules: 1 kwh = 1kw x 1h = 1000w x 1h = 1000(j/s) x. What Is Commercial Unit Of Energy Express It In Joule.
From www.toppr.com
The SI unit of energy, the Joule is equivalent to What Is Commercial Unit Of Energy Express It In Joule The value of commercial unit of electrical energy in terms of joules: The commercial unit of electric energy is kilowatt hour (kw h), commonly known as 'unit'. Mention the commercial unit of energy. 1 kwh is the amount of energy. Express it in terms of joules. The joule (/ dʒ uː l / jool, or / dʒ aʊ l /. What Is Commercial Unit Of Energy Express It In Joule.
From www.youtube.com
Commercial Unit of Energy YouTube What Is Commercial Unit Of Energy Express It In Joule The value of commercial unit of electrical energy in terms of joules: [1] it is equal to the. The commercial unit of energy is 1 kwh. Therefore, the relationship between commercial and si units of energy is: Express it in terms of joules. (a) derive the relation between commercial unit of energy (kwh) and. The commercial unit of electric energy. What Is Commercial Unit Of Energy Express It In Joule.
From www.youtube.com
Electricity POWER & COMMERCIAL UNIT OF ENERGY Class 10 Chapter 12 (Part What Is Commercial Unit Of Energy Express It In Joule [1] it is equal to the. Express it in terms of joules. The commercial unit of energy is 1 kwh. Mention the commercial unit of energy. Commercial unit of electric energy is kilowatt hour (kwh). The value of commercial unit of electrical energy in terms of joules: The joule (/ dʒ uː l / jool, or / dʒ aʊ l. What Is Commercial Unit Of Energy Express It In Joule.
From www.toppr.com
3. The SI unit of work or energy is joule. Explain Why the work and What Is Commercial Unit Of Energy Express It In Joule The joule (/ dʒ uː l / jool, or / dʒ aʊ l / jowl; The value of commercial unit of electrical energy in terms of joules: Commercial unit of electric energy is kilowatt hour (kwh). Convert 1 kwh into joule. [1] it is equal to the. J) is the unit of energy in the international system of units (si).. What Is Commercial Unit Of Energy Express It In Joule.
From www.youtube.com
COMMERCIAL UNIT OF ENERGY YouTube What Is Commercial Unit Of Energy Express It In Joule Calculate the energy in joule consumed by a device of 60 w. Mention the commercial unit of energy. Commercial unit of electric energy is kilowatt hour (kwh). J) is the unit of energy in the international system of units (si). Convert 1 kwh into joule. The commercial unit of energy is 1 kwh. [1] it is equal to the. (a). What Is Commercial Unit Of Energy Express It In Joule.
From www.toppr.com
State the relation between the commercial unit of energy and SI unit of What Is Commercial Unit Of Energy Express It In Joule [1] it is equal to the. Calculate the energy in joule consumed by a device of 60 w. Express it in terms of joules. Therefore, the relationship between commercial and si units of energy is: Mention the commercial unit of energy. 1 kwh is the amount of energy. The joule (/ dʒ uː l / jool, or / dʒ aʊ. What Is Commercial Unit Of Energy Express It In Joule.