How To Make Potassium Phosphate Buffer . Learn how to prepare different types of buffer solutions like phosphate buffer solution, ammonia buffers, ammonium buffers, acetate buffers and. Potassium phosphate (ph 5.8 to 8.0) preparation guide and recipe. Recipe can be automatically scaled by entering desired final volume. To prepare a phosphate buffer, mix a solution of monobasic potassium phosphate (kh2po4) and a solution of dibasic potassium phosphate (k2hpo4) in the. Recipe can be automatically scaled by entering desired final volume. Recipe can be automatically scaled by entering desired final. This protocol has been adapted from sambrook & russell for the preparation of potassium phosphate buffer from potassium phosphate. Phosphate buffer (ph 5.8 to 7.4) preparation guide and recipe. Add 14.178 g of potassium phosphate dibasic to the solution. Potassium phosphate buffer (1 m, ph 6.5) preparation guide and recipe. Add 2.531 g of potassium dihydrogen phosphate to the solution.
from www.scribd.com
Potassium phosphate buffer (1 m, ph 6.5) preparation guide and recipe. Add 2.531 g of potassium dihydrogen phosphate to the solution. Learn how to prepare different types of buffer solutions like phosphate buffer solution, ammonia buffers, ammonium buffers, acetate buffers and. Recipe can be automatically scaled by entering desired final. Phosphate buffer (ph 5.8 to 7.4) preparation guide and recipe. This protocol has been adapted from sambrook & russell for the preparation of potassium phosphate buffer from potassium phosphate. Recipe can be automatically scaled by entering desired final volume. Potassium phosphate (ph 5.8 to 8.0) preparation guide and recipe. Recipe can be automatically scaled by entering desired final volume. To prepare a phosphate buffer, mix a solution of monobasic potassium phosphate (kh2po4) and a solution of dibasic potassium phosphate (k2hpo4) in the.
How Do I Prepare a Phosphate Buffer Solution With a Specific PH Ph
How To Make Potassium Phosphate Buffer Recipe can be automatically scaled by entering desired final volume. This protocol has been adapted from sambrook & russell for the preparation of potassium phosphate buffer from potassium phosphate. Phosphate buffer (ph 5.8 to 7.4) preparation guide and recipe. Recipe can be automatically scaled by entering desired final. Add 14.178 g of potassium phosphate dibasic to the solution. To prepare a phosphate buffer, mix a solution of monobasic potassium phosphate (kh2po4) and a solution of dibasic potassium phosphate (k2hpo4) in the. Potassium phosphate (ph 5.8 to 8.0) preparation guide and recipe. Recipe can be automatically scaled by entering desired final volume. Learn how to prepare different types of buffer solutions like phosphate buffer solution, ammonia buffers, ammonium buffers, acetate buffers and. Add 2.531 g of potassium dihydrogen phosphate to the solution. Potassium phosphate buffer (1 m, ph 6.5) preparation guide and recipe. Recipe can be automatically scaled by entering desired final volume.
From www.youtube.com
how to prepare a buffer with a particular pH YouTube How To Make Potassium Phosphate Buffer Potassium phosphate (ph 5.8 to 8.0) preparation guide and recipe. Phosphate buffer (ph 5.8 to 7.4) preparation guide and recipe. Learn how to prepare different types of buffer solutions like phosphate buffer solution, ammonia buffers, ammonium buffers, acetate buffers and. This protocol has been adapted from sambrook & russell for the preparation of potassium phosphate buffer from potassium phosphate. Add. How To Make Potassium Phosphate Buffer.
From www.cephamls.com
Phosphate Buffer, pH 8.0 [0.5 M] Cepham Life Sciences Research Products How To Make Potassium Phosphate Buffer This protocol has been adapted from sambrook & russell for the preparation of potassium phosphate buffer from potassium phosphate. To prepare a phosphate buffer, mix a solution of monobasic potassium phosphate (kh2po4) and a solution of dibasic potassium phosphate (k2hpo4) in the. Recipe can be automatically scaled by entering desired final volume. Phosphate buffer (ph 5.8 to 7.4) preparation guide. How To Make Potassium Phosphate Buffer.
From www.scribd.com
Preparation of Potassium Phosphate Buffer How To Make Potassium Phosphate Buffer Phosphate buffer (ph 5.8 to 7.4) preparation guide and recipe. Add 2.531 g of potassium dihydrogen phosphate to the solution. Add 14.178 g of potassium phosphate dibasic to the solution. This protocol has been adapted from sambrook & russell for the preparation of potassium phosphate buffer from potassium phosphate. Potassium phosphate buffer (1 m, ph 6.5) preparation guide and recipe.. How To Make Potassium Phosphate Buffer.
From fdneurotech.com
0.1 M Phosphate Buffer, pH 7.4 FD Neuro Technologies, Inc. How To Make Potassium Phosphate Buffer Phosphate buffer (ph 5.8 to 7.4) preparation guide and recipe. Learn how to prepare different types of buffer solutions like phosphate buffer solution, ammonia buffers, ammonium buffers, acetate buffers and. Recipe can be automatically scaled by entering desired final volume. Add 2.531 g of potassium dihydrogen phosphate to the solution. Add 14.178 g of potassium phosphate dibasic to the solution.. How To Make Potassium Phosphate Buffer.
From www.chegg.com
Solved 1) Prepare 3 L of a 0.5 M potassium phosphate buffer How To Make Potassium Phosphate Buffer This protocol has been adapted from sambrook & russell for the preparation of potassium phosphate buffer from potassium phosphate. To prepare a phosphate buffer, mix a solution of monobasic potassium phosphate (kh2po4) and a solution of dibasic potassium phosphate (k2hpo4) in the. Phosphate buffer (ph 5.8 to 7.4) preparation guide and recipe. Recipe can be automatically scaled by entering desired. How To Make Potassium Phosphate Buffer.
From www.researchgate.net
How can I prepare a potassium phosphate buffer 0.05M and pH 6 How To Make Potassium Phosphate Buffer To prepare a phosphate buffer, mix a solution of monobasic potassium phosphate (kh2po4) and a solution of dibasic potassium phosphate (k2hpo4) in the. Phosphate buffer (ph 5.8 to 7.4) preparation guide and recipe. Recipe can be automatically scaled by entering desired final volume. Add 14.178 g of potassium phosphate dibasic to the solution. Learn how to prepare different types of. How To Make Potassium Phosphate Buffer.
From dean-has-cooper.blogspot.com
How to Make Sodium Phosphate Buffer Ph 8 DeanhasCooper How To Make Potassium Phosphate Buffer Recipe can be automatically scaled by entering desired final volume. Phosphate buffer (ph 5.8 to 7.4) preparation guide and recipe. Recipe can be automatically scaled by entering desired final volume. Potassium phosphate buffer (1 m, ph 6.5) preparation guide and recipe. To prepare a phosphate buffer, mix a solution of monobasic potassium phosphate (kh2po4) and a solution of dibasic potassium. How To Make Potassium Phosphate Buffer.
From www.researchgate.net
Effect of potassium phosphate buffer pH on the capacity factors of the How To Make Potassium Phosphate Buffer Recipe can be automatically scaled by entering desired final volume. To prepare a phosphate buffer, mix a solution of monobasic potassium phosphate (kh2po4) and a solution of dibasic potassium phosphate (k2hpo4) in the. Recipe can be automatically scaled by entering desired final. Add 2.531 g of potassium dihydrogen phosphate to the solution. Learn how to prepare different types of buffer. How To Make Potassium Phosphate Buffer.
From pdfprof.com
phosphate buffer preparation of 01 M potassium phosphate buffer at How To Make Potassium Phosphate Buffer Potassium phosphate (ph 5.8 to 8.0) preparation guide and recipe. Phosphate buffer (ph 5.8 to 7.4) preparation guide and recipe. This protocol has been adapted from sambrook & russell for the preparation of potassium phosphate buffer from potassium phosphate. Potassium phosphate buffer (1 m, ph 6.5) preparation guide and recipe. Recipe can be automatically scaled by entering desired final. Learn. How To Make Potassium Phosphate Buffer.
From www.coursehero.com
[Solved] You are a bioengineer preparing a potassium phosphate buffer How To Make Potassium Phosphate Buffer Potassium phosphate buffer (1 m, ph 6.5) preparation guide and recipe. To prepare a phosphate buffer, mix a solution of monobasic potassium phosphate (kh2po4) and a solution of dibasic potassium phosphate (k2hpo4) in the. Add 14.178 g of potassium phosphate dibasic to the solution. Recipe can be automatically scaled by entering desired final volume. Add 2.531 g of potassium dihydrogen. How To Make Potassium Phosphate Buffer.
From www.cephamls.com
Potassium phosphate monobasic solution [1M] Cepham Life Sciences How To Make Potassium Phosphate Buffer Learn how to prepare different types of buffer solutions like phosphate buffer solution, ammonia buffers, ammonium buffers, acetate buffers and. Add 2.531 g of potassium dihydrogen phosphate to the solution. Add 14.178 g of potassium phosphate dibasic to the solution. To prepare a phosphate buffer, mix a solution of monobasic potassium phosphate (kh2po4) and a solution of dibasic potassium phosphate. How To Make Potassium Phosphate Buffer.
From www.researchgate.net
How can I prepare a potassium phosphate buffer 0.05M and pH 6 How To Make Potassium Phosphate Buffer Phosphate buffer (ph 5.8 to 7.4) preparation guide and recipe. Recipe can be automatically scaled by entering desired final volume. Potassium phosphate buffer (1 m, ph 6.5) preparation guide and recipe. Add 14.178 g of potassium phosphate dibasic to the solution. Potassium phosphate (ph 5.8 to 8.0) preparation guide and recipe. Add 2.531 g of potassium dihydrogen phosphate to the. How To Make Potassium Phosphate Buffer.
From www.ibric.org
0.1M sodium phosphate buffer 7.0 제조 관련 질문 > BRIC How To Make Potassium Phosphate Buffer Add 2.531 g of potassium dihydrogen phosphate to the solution. Recipe can be automatically scaled by entering desired final. Learn how to prepare different types of buffer solutions like phosphate buffer solution, ammonia buffers, ammonium buffers, acetate buffers and. Potassium phosphate buffer (1 m, ph 6.5) preparation guide and recipe. Recipe can be automatically scaled by entering desired final volume.. How To Make Potassium Phosphate Buffer.
From tribioscience.com
Potassium Phosphate Buffer (pH 7.0 Sterile) Tribioscience How To Make Potassium Phosphate Buffer Recipe can be automatically scaled by entering desired final volume. Add 14.178 g of potassium phosphate dibasic to the solution. Recipe can be automatically scaled by entering desired final. Potassium phosphate buffer (1 m, ph 6.5) preparation guide and recipe. Recipe can be automatically scaled by entering desired final volume. Add 2.531 g of potassium dihydrogen phosphate to the solution.. How To Make Potassium Phosphate Buffer.
From www.thermofisher.com
Potassium phosphate, 0.2M buffer soln., pH 7.0 How To Make Potassium Phosphate Buffer Recipe can be automatically scaled by entering desired final. Recipe can be automatically scaled by entering desired final volume. Potassium phosphate (ph 5.8 to 8.0) preparation guide and recipe. This protocol has been adapted from sambrook & russell for the preparation of potassium phosphate buffer from potassium phosphate. Learn how to prepare different types of buffer solutions like phosphate buffer. How To Make Potassium Phosphate Buffer.
From www.rpicorp.com
P41200250.0 Potassium Phosphate, Monobasic, ACS Grade, 250 Grams How To Make Potassium Phosphate Buffer To prepare a phosphate buffer, mix a solution of monobasic potassium phosphate (kh2po4) and a solution of dibasic potassium phosphate (k2hpo4) in the. Add 14.178 g of potassium phosphate dibasic to the solution. Learn how to prepare different types of buffer solutions like phosphate buffer solution, ammonia buffers, ammonium buffers, acetate buffers and. Potassium phosphate buffer (1 m, ph 6.5). How To Make Potassium Phosphate Buffer.
From www.bio-world.com
Potassium Phosphate Buffer 0.5M, pH 7.5 bioWORLD How To Make Potassium Phosphate Buffer Potassium phosphate buffer (1 m, ph 6.5) preparation guide and recipe. Recipe can be automatically scaled by entering desired final volume. Potassium phosphate (ph 5.8 to 8.0) preparation guide and recipe. Add 14.178 g of potassium phosphate dibasic to the solution. Learn how to prepare different types of buffer solutions like phosphate buffer solution, ammonia buffers, ammonium buffers, acetate buffers. How To Make Potassium Phosphate Buffer.
From www.researchgate.net
1b. Preparation of 0.1 M sodium phosphate 10× buffer at 25°C. a How To Make Potassium Phosphate Buffer Potassium phosphate (ph 5.8 to 8.0) preparation guide and recipe. This protocol has been adapted from sambrook & russell for the preparation of potassium phosphate buffer from potassium phosphate. To prepare a phosphate buffer, mix a solution of monobasic potassium phosphate (kh2po4) and a solution of dibasic potassium phosphate (k2hpo4) in the. Potassium phosphate buffer (1 m, ph 6.5) preparation. How To Make Potassium Phosphate Buffer.
From www.pinterest.com
Image result for prepare phosphate buffer solution ph 6.8 Chemistry How To Make Potassium Phosphate Buffer Recipe can be automatically scaled by entering desired final volume. Phosphate buffer (ph 5.8 to 7.4) preparation guide and recipe. Potassium phosphate buffer (1 m, ph 6.5) preparation guide and recipe. Recipe can be automatically scaled by entering desired final volume. Learn how to prepare different types of buffer solutions like phosphate buffer solution, ammonia buffers, ammonium buffers, acetate buffers. How To Make Potassium Phosphate Buffer.
From www.youtube.com
Preparing a pH 7 4 Potassium Phosphate Buffer part 1 YouTube How To Make Potassium Phosphate Buffer Learn how to prepare different types of buffer solutions like phosphate buffer solution, ammonia buffers, ammonium buffers, acetate buffers and. Phosphate buffer (ph 5.8 to 7.4) preparation guide and recipe. Potassium phosphate buffer (1 m, ph 6.5) preparation guide and recipe. This protocol has been adapted from sambrook & russell for the preparation of potassium phosphate buffer from potassium phosphate.. How To Make Potassium Phosphate Buffer.
From dean-has-cooper.blogspot.com
How to Make Sodium Phosphate Buffer Ph 8 DeanhasCooper How To Make Potassium Phosphate Buffer Potassium phosphate (ph 5.8 to 8.0) preparation guide and recipe. Potassium phosphate buffer (1 m, ph 6.5) preparation guide and recipe. Learn how to prepare different types of buffer solutions like phosphate buffer solution, ammonia buffers, ammonium buffers, acetate buffers and. To prepare a phosphate buffer, mix a solution of monobasic potassium phosphate (kh2po4) and a solution of dibasic potassium. How To Make Potassium Phosphate Buffer.
From www.researchgate.net
Comparison of reactions in sodium phosphate buffer (pH 7.0) and How To Make Potassium Phosphate Buffer Potassium phosphate buffer (1 m, ph 6.5) preparation guide and recipe. Potassium phosphate (ph 5.8 to 8.0) preparation guide and recipe. Add 14.178 g of potassium phosphate dibasic to the solution. Phosphate buffer (ph 5.8 to 7.4) preparation guide and recipe. Learn how to prepare different types of buffer solutions like phosphate buffer solution, ammonia buffers, ammonium buffers, acetate buffers. How To Make Potassium Phosphate Buffer.
From www.numerade.com
SOLVED As a technician in a large pharmaceutical research firm, you How To Make Potassium Phosphate Buffer Recipe can be automatically scaled by entering desired final. Learn how to prepare different types of buffer solutions like phosphate buffer solution, ammonia buffers, ammonium buffers, acetate buffers and. To prepare a phosphate buffer, mix a solution of monobasic potassium phosphate (kh2po4) and a solution of dibasic potassium phosphate (k2hpo4) in the. This protocol has been adapted from sambrook &. How To Make Potassium Phosphate Buffer.
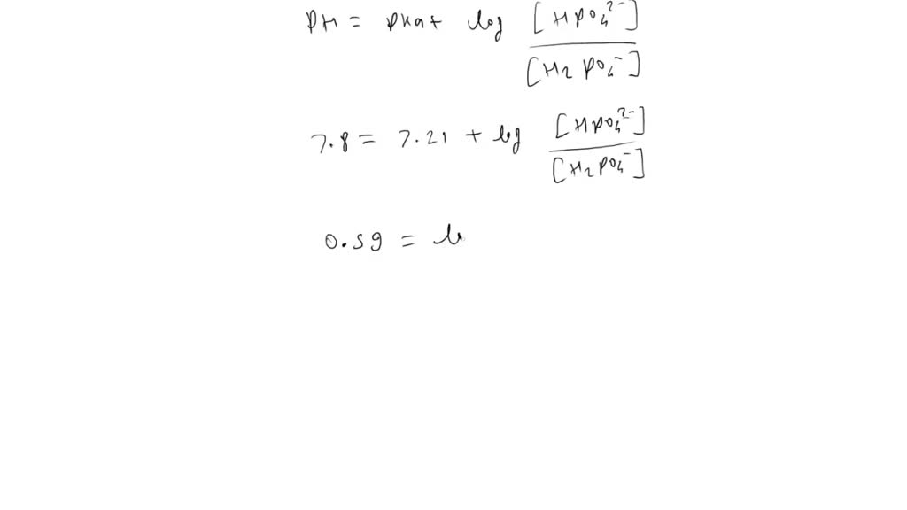
From animalia-life.club
Phosphate Buffer System Equation How To Make Potassium Phosphate Buffer Learn how to prepare different types of buffer solutions like phosphate buffer solution, ammonia buffers, ammonium buffers, acetate buffers and. Potassium phosphate (ph 5.8 to 8.0) preparation guide and recipe. Phosphate buffer (ph 5.8 to 7.4) preparation guide and recipe. Add 14.178 g of potassium phosphate dibasic to the solution. This protocol has been adapted from sambrook & russell for. How To Make Potassium Phosphate Buffer.
From animalia-life.club
Phosphate Buffer System Equation How To Make Potassium Phosphate Buffer Learn how to prepare different types of buffer solutions like phosphate buffer solution, ammonia buffers, ammonium buffers, acetate buffers and. Potassium phosphate (ph 5.8 to 8.0) preparation guide and recipe. Recipe can be automatically scaled by entering desired final volume. Potassium phosphate buffer (1 m, ph 6.5) preparation guide and recipe. Recipe can be automatically scaled by entering desired final.. How To Make Potassium Phosphate Buffer.
From www.numerade.com
SOLVED a)Show how to make 1 L of 0.050 M potassium phosphate buffer How To Make Potassium Phosphate Buffer This protocol has been adapted from sambrook & russell for the preparation of potassium phosphate buffer from potassium phosphate. Add 2.531 g of potassium dihydrogen phosphate to the solution. Recipe can be automatically scaled by entering desired final. To prepare a phosphate buffer, mix a solution of monobasic potassium phosphate (kh2po4) and a solution of dibasic potassium phosphate (k2hpo4) in. How To Make Potassium Phosphate Buffer.
From www.numerade.com
SOLVED A. Phosphate Buffer 1. Prepare 100 mL of a 0.01 M phosphate How To Make Potassium Phosphate Buffer To prepare a phosphate buffer, mix a solution of monobasic potassium phosphate (kh2po4) and a solution of dibasic potassium phosphate (k2hpo4) in the. Learn how to prepare different types of buffer solutions like phosphate buffer solution, ammonia buffers, ammonium buffers, acetate buffers and. This protocol has been adapted from sambrook & russell for the preparation of potassium phosphate buffer from. How To Make Potassium Phosphate Buffer.
From bio-solution.co.kr
[BS021] 0.5M Sodium Phosphate Buffer, pH x.x Biosolution How To Make Potassium Phosphate Buffer Recipe can be automatically scaled by entering desired final. Recipe can be automatically scaled by entering desired final volume. Add 2.531 g of potassium dihydrogen phosphate to the solution. Recipe can be automatically scaled by entering desired final volume. To prepare a phosphate buffer, mix a solution of monobasic potassium phosphate (kh2po4) and a solution of dibasic potassium phosphate (k2hpo4). How To Make Potassium Phosphate Buffer.
From www.researchgate.net
How can I prepare a potassium phosphate buffer 0.05M and pH 6? How To Make Potassium Phosphate Buffer This protocol has been adapted from sambrook & russell for the preparation of potassium phosphate buffer from potassium phosphate. Learn how to prepare different types of buffer solutions like phosphate buffer solution, ammonia buffers, ammonium buffers, acetate buffers and. Recipe can be automatically scaled by entering desired final. Recipe can be automatically scaled by entering desired final volume. Add 14.178. How To Make Potassium Phosphate Buffer.
From studylib.net
phosphate buffer preparation of 0.1 M potassium phosphate buffer at How To Make Potassium Phosphate Buffer Recipe can be automatically scaled by entering desired final volume. To prepare a phosphate buffer, mix a solution of monobasic potassium phosphate (kh2po4) and a solution of dibasic potassium phosphate (k2hpo4) in the. Potassium phosphate buffer (1 m, ph 6.5) preparation guide and recipe. Add 2.531 g of potassium dihydrogen phosphate to the solution. Learn how to prepare different types. How To Make Potassium Phosphate Buffer.
From www.chegg.com
Solved Preparation of Phosphate Buffer Rxn H3PO4 H + H2PO4 How To Make Potassium Phosphate Buffer Learn how to prepare different types of buffer solutions like phosphate buffer solution, ammonia buffers, ammonium buffers, acetate buffers and. Add 2.531 g of potassium dihydrogen phosphate to the solution. Potassium phosphate buffer (1 m, ph 6.5) preparation guide and recipe. Potassium phosphate (ph 5.8 to 8.0) preparation guide and recipe. Recipe can be automatically scaled by entering desired final. How To Make Potassium Phosphate Buffer.
From www.thebalance.com
Guide to Making a Simple Phosphate Buffer How To Make Potassium Phosphate Buffer Add 2.531 g of potassium dihydrogen phosphate to the solution. Recipe can be automatically scaled by entering desired final volume. Potassium phosphate buffer (1 m, ph 6.5) preparation guide and recipe. To prepare a phosphate buffer, mix a solution of monobasic potassium phosphate (kh2po4) and a solution of dibasic potassium phosphate (k2hpo4) in the. Phosphate buffer (ph 5.8 to 7.4). How To Make Potassium Phosphate Buffer.
From www.scribd.com
How Do I Prepare a Phosphate Buffer Solution With a Specific PH Ph How To Make Potassium Phosphate Buffer This protocol has been adapted from sambrook & russell for the preparation of potassium phosphate buffer from potassium phosphate. Add 2.531 g of potassium dihydrogen phosphate to the solution. Recipe can be automatically scaled by entering desired final volume. Recipe can be automatically scaled by entering desired final volume. Potassium phosphate (ph 5.8 to 8.0) preparation guide and recipe. Recipe. How To Make Potassium Phosphate Buffer.
From www.bio-world.com
Potassium Phosphate Buffer 10, pH 6.0, Sterile bioWORLD How To Make Potassium Phosphate Buffer Potassium phosphate buffer (1 m, ph 6.5) preparation guide and recipe. Phosphate buffer (ph 5.8 to 7.4) preparation guide and recipe. To prepare a phosphate buffer, mix a solution of monobasic potassium phosphate (kh2po4) and a solution of dibasic potassium phosphate (k2hpo4) in the. Recipe can be automatically scaled by entering desired final volume. This protocol has been adapted from. How To Make Potassium Phosphate Buffer.
From tribioscience.com
Potassium Phosphate Buffer (pH 7.0 Sterile) Tribioscience How To Make Potassium Phosphate Buffer Learn how to prepare different types of buffer solutions like phosphate buffer solution, ammonia buffers, ammonium buffers, acetate buffers and. This protocol has been adapted from sambrook & russell for the preparation of potassium phosphate buffer from potassium phosphate. Phosphate buffer (ph 5.8 to 7.4) preparation guide and recipe. Potassium phosphate (ph 5.8 to 8.0) preparation guide and recipe. To. How To Make Potassium Phosphate Buffer.