Lead (Iii) Hydroxide . Some of the metals form very common ions which have latin names that. so fe +2 is iron(ii) and fe +3 is iron(iii). thus the formula is cacl 2. it describes the formation of lead(ii) hydroxide, lead(ii) chloride, lead(ii) iodide and lead(ii) sulfate. Similarly, calcium phosphate must be ca 3 (po 4) 2 because the cation and the anion have charges of +2 and −3,. lead hydroxide is a hydroxide of lead. Lead is a heavy metal and stable element with the symbol pb and the atomic number 82, existing in metallic,.
from www.numerade.com
Some of the metals form very common ions which have latin names that. lead hydroxide is a hydroxide of lead. it describes the formation of lead(ii) hydroxide, lead(ii) chloride, lead(ii) iodide and lead(ii) sulfate. Similarly, calcium phosphate must be ca 3 (po 4) 2 because the cation and the anion have charges of +2 and −3,. Lead is a heavy metal and stable element with the symbol pb and the atomic number 82, existing in metallic,. so fe +2 is iron(ii) and fe +3 is iron(iii). thus the formula is cacl 2.
The use of lead(II) carbonate and lead(II) hydroxide as white pigments
Lead (Iii) Hydroxide thus the formula is cacl 2. lead hydroxide is a hydroxide of lead. Similarly, calcium phosphate must be ca 3 (po 4) 2 because the cation and the anion have charges of +2 and −3,. Some of the metals form very common ions which have latin names that. thus the formula is cacl 2. it describes the formation of lead(ii) hydroxide, lead(ii) chloride, lead(ii) iodide and lead(ii) sulfate. Lead is a heavy metal and stable element with the symbol pb and the atomic number 82, existing in metallic,. so fe +2 is iron(ii) and fe +3 is iron(iii).
From www.dreamstime.com
Pb(OH)2 Lead(II) Hydroxide Stock Photo Image of chemistry, chemical Lead (Iii) Hydroxide Similarly, calcium phosphate must be ca 3 (po 4) 2 because the cation and the anion have charges of +2 and −3,. lead hydroxide is a hydroxide of lead. so fe +2 is iron(ii) and fe +3 is iron(iii). thus the formula is cacl 2. it describes the formation of lead(ii) hydroxide, lead(ii) chloride, lead(ii) iodide. Lead (Iii) Hydroxide.
From www.labor.com.tr
MERCK 107414 Lead(II) hydroxide acetate anhydrous for the analysis Lead (Iii) Hydroxide it describes the formation of lead(ii) hydroxide, lead(ii) chloride, lead(ii) iodide and lead(ii) sulfate. Some of the metals form very common ions which have latin names that. lead hydroxide is a hydroxide of lead. so fe +2 is iron(ii) and fe +3 is iron(iii). thus the formula is cacl 2. Similarly, calcium phosphate must be ca. Lead (Iii) Hydroxide.
From www.numerade.com
The use of lead(II) carbonate and lead(II) hydroxide as white pigments Lead (Iii) Hydroxide lead hydroxide is a hydroxide of lead. thus the formula is cacl 2. Some of the metals form very common ions which have latin names that. so fe +2 is iron(ii) and fe +3 is iron(iii). Similarly, calcium phosphate must be ca 3 (po 4) 2 because the cation and the anion have charges of +2 and. Lead (Iii) Hydroxide.
From giothzckz.blob.core.windows.net
Lead 2 Hydroxide Formula at Frank Spring blog Lead (Iii) Hydroxide lead hydroxide is a hydroxide of lead. Lead is a heavy metal and stable element with the symbol pb and the atomic number 82, existing in metallic,. it describes the formation of lead(ii) hydroxide, lead(ii) chloride, lead(ii) iodide and lead(ii) sulfate. Some of the metals form very common ions which have latin names that. thus the formula. Lead (Iii) Hydroxide.
From brainly.com
Which formula represents lead(II) hydroxide? Lead (Iii) Hydroxide lead hydroxide is a hydroxide of lead. it describes the formation of lead(ii) hydroxide, lead(ii) chloride, lead(ii) iodide and lead(ii) sulfate. Lead is a heavy metal and stable element with the symbol pb and the atomic number 82, existing in metallic,. thus the formula is cacl 2. Some of the metals form very common ions which have. Lead (Iii) Hydroxide.
From www.slideshare.net
Precipitation react2 Lead (Iii) Hydroxide lead hydroxide is a hydroxide of lead. Similarly, calcium phosphate must be ca 3 (po 4) 2 because the cation and the anion have charges of +2 and −3,. thus the formula is cacl 2. so fe +2 is iron(ii) and fe +3 is iron(iii). Some of the metals form very common ions which have latin names. Lead (Iii) Hydroxide.
From sciencelab.co.ke
Lead Hydroxide Sciencelab limited Lead (Iii) Hydroxide lead hydroxide is a hydroxide of lead. Lead is a heavy metal and stable element with the symbol pb and the atomic number 82, existing in metallic,. thus the formula is cacl 2. Some of the metals form very common ions which have latin names that. so fe +2 is iron(ii) and fe +3 is iron(iii). . Lead (Iii) Hydroxide.
From www.sciencephoto.com
Lead (II) Hydroxide Precipitate, 2 of 3 Stock Image C030/8103 Lead (Iii) Hydroxide thus the formula is cacl 2. Lead is a heavy metal and stable element with the symbol pb and the atomic number 82, existing in metallic,. so fe +2 is iron(ii) and fe +3 is iron(iii). Some of the metals form very common ions which have latin names that. lead hydroxide is a hydroxide of lead. . Lead (Iii) Hydroxide.
From yaoota.com
Griffchem 500g Lead Hydroxide price from shopit in Kenya Yaoota! Lead (Iii) Hydroxide thus the formula is cacl 2. Similarly, calcium phosphate must be ca 3 (po 4) 2 because the cation and the anion have charges of +2 and −3,. Some of the metals form very common ions which have latin names that. it describes the formation of lead(ii) hydroxide, lead(ii) chloride, lead(ii) iodide and lead(ii) sulfate. Lead is a. Lead (Iii) Hydroxide.
From www.numerade.com
SOLVED Lead pipes were used at one time for delivering drinking water Lead (Iii) Hydroxide it describes the formation of lead(ii) hydroxide, lead(ii) chloride, lead(ii) iodide and lead(ii) sulfate. Some of the metals form very common ions which have latin names that. thus the formula is cacl 2. so fe +2 is iron(ii) and fe +3 is iron(iii). lead hydroxide is a hydroxide of lead. Similarly, calcium phosphate must be ca. Lead (Iii) Hydroxide.
From www.chegg.com
Solved What is the solubility of lead(II) hydroxide, Lead (Iii) Hydroxide Lead is a heavy metal and stable element with the symbol pb and the atomic number 82, existing in metallic,. thus the formula is cacl 2. it describes the formation of lead(ii) hydroxide, lead(ii) chloride, lead(ii) iodide and lead(ii) sulfate. Some of the metals form very common ions which have latin names that. so fe +2 is. Lead (Iii) Hydroxide.
From thaipurescience.com
Lead(II) acetate trihydrate Thai Pure Science Lead (Iii) Hydroxide so fe +2 is iron(ii) and fe +3 is iron(iii). thus the formula is cacl 2. lead hydroxide is a hydroxide of lead. Some of the metals form very common ions which have latin names that. Lead is a heavy metal and stable element with the symbol pb and the atomic number 82, existing in metallic,. Similarly,. Lead (Iii) Hydroxide.
From slideplayer.com
Nomenclature And Classifying Compounds Lesson ppt download Lead (Iii) Hydroxide thus the formula is cacl 2. Similarly, calcium phosphate must be ca 3 (po 4) 2 because the cation and the anion have charges of +2 and −3,. so fe +2 is iron(ii) and fe +3 is iron(iii). Some of the metals form very common ions which have latin names that. lead hydroxide is a hydroxide of. Lead (Iii) Hydroxide.
From www.shutterstock.com
Leadii Hydroxide Compound Formula Pboh2 Stock Illustration Lead (Iii) Hydroxide thus the formula is cacl 2. so fe +2 is iron(ii) and fe +3 is iron(iii). Lead is a heavy metal and stable element with the symbol pb and the atomic number 82, existing in metallic,. Similarly, calcium phosphate must be ca 3 (po 4) 2 because the cation and the anion have charges of +2 and −3,.. Lead (Iii) Hydroxide.
From www.researchgate.net
(PDF) Powdered and beaded sawdust materials modified iron (III) oxide Lead (Iii) Hydroxide Some of the metals form very common ions which have latin names that. Lead is a heavy metal and stable element with the symbol pb and the atomic number 82, existing in metallic,. so fe +2 is iron(ii) and fe +3 is iron(iii). Similarly, calcium phosphate must be ca 3 (po 4) 2 because the cation and the anion. Lead (Iii) Hydroxide.
From martlabpro.com
Is Lead Hydroxide Soluble In Water? MartLabPro Lead (Iii) Hydroxide thus the formula is cacl 2. so fe +2 is iron(ii) and fe +3 is iron(iii). Lead is a heavy metal and stable element with the symbol pb and the atomic number 82, existing in metallic,. Similarly, calcium phosphate must be ca 3 (po 4) 2 because the cation and the anion have charges of +2 and −3,.. Lead (Iii) Hydroxide.
From ar.inspiredpencil.com
Lead Ii Bromide Lead (Iii) Hydroxide Similarly, calcium phosphate must be ca 3 (po 4) 2 because the cation and the anion have charges of +2 and −3,. so fe +2 is iron(ii) and fe +3 is iron(iii). Lead is a heavy metal and stable element with the symbol pb and the atomic number 82, existing in metallic,. thus the formula is cacl 2.. Lead (Iii) Hydroxide.
From www.chegg.com
Write the balanced chemical equation for each of the Lead (Iii) Hydroxide Some of the metals form very common ions which have latin names that. so fe +2 is iron(ii) and fe +3 is iron(iii). Similarly, calcium phosphate must be ca 3 (po 4) 2 because the cation and the anion have charges of +2 and −3,. lead hydroxide is a hydroxide of lead. it describes the formation of. Lead (Iii) Hydroxide.
From www.numerade.com
SOLVED The solubility of lead (II) hydroxide is 3.2x106 mol/L at 20°C Lead (Iii) Hydroxide thus the formula is cacl 2. it describes the formation of lead(ii) hydroxide, lead(ii) chloride, lead(ii) iodide and lead(ii) sulfate. Some of the metals form very common ions which have latin names that. so fe +2 is iron(ii) and fe +3 is iron(iii). lead hydroxide is a hydroxide of lead. Lead is a heavy metal and. Lead (Iii) Hydroxide.
From exyqjznkq.blob.core.windows.net
Lead Ii Nitrate Colour at Brandon Randall blog Lead (Iii) Hydroxide it describes the formation of lead(ii) hydroxide, lead(ii) chloride, lead(ii) iodide and lead(ii) sulfate. Lead is a heavy metal and stable element with the symbol pb and the atomic number 82, existing in metallic,. Similarly, calcium phosphate must be ca 3 (po 4) 2 because the cation and the anion have charges of +2 and −3,. thus the. Lead (Iii) Hydroxide.
From www.slideserve.com
PPT Chemical Reactions and Equations PowerPoint Presentation, free Lead (Iii) Hydroxide lead hydroxide is a hydroxide of lead. so fe +2 is iron(ii) and fe +3 is iron(iii). Some of the metals form very common ions which have latin names that. Lead is a heavy metal and stable element with the symbol pb and the atomic number 82, existing in metallic,. thus the formula is cacl 2. . Lead (Iii) Hydroxide.
From www.slideshare.net
Preciptation reactions 1 Lead (Iii) Hydroxide thus the formula is cacl 2. lead hydroxide is a hydroxide of lead. Some of the metals form very common ions which have latin names that. Similarly, calcium phosphate must be ca 3 (po 4) 2 because the cation and the anion have charges of +2 and −3,. so fe +2 is iron(ii) and fe +3 is. Lead (Iii) Hydroxide.
From www.shutterstock.com
Leadii Hydroxide Compound Formula Pboh2 Stock Illustration Lead (Iii) Hydroxide Some of the metals form very common ions which have latin names that. Similarly, calcium phosphate must be ca 3 (po 4) 2 because the cation and the anion have charges of +2 and −3,. thus the formula is cacl 2. it describes the formation of lead(ii) hydroxide, lead(ii) chloride, lead(ii) iodide and lead(ii) sulfate. lead hydroxide. Lead (Iii) Hydroxide.
From www.numerade.com
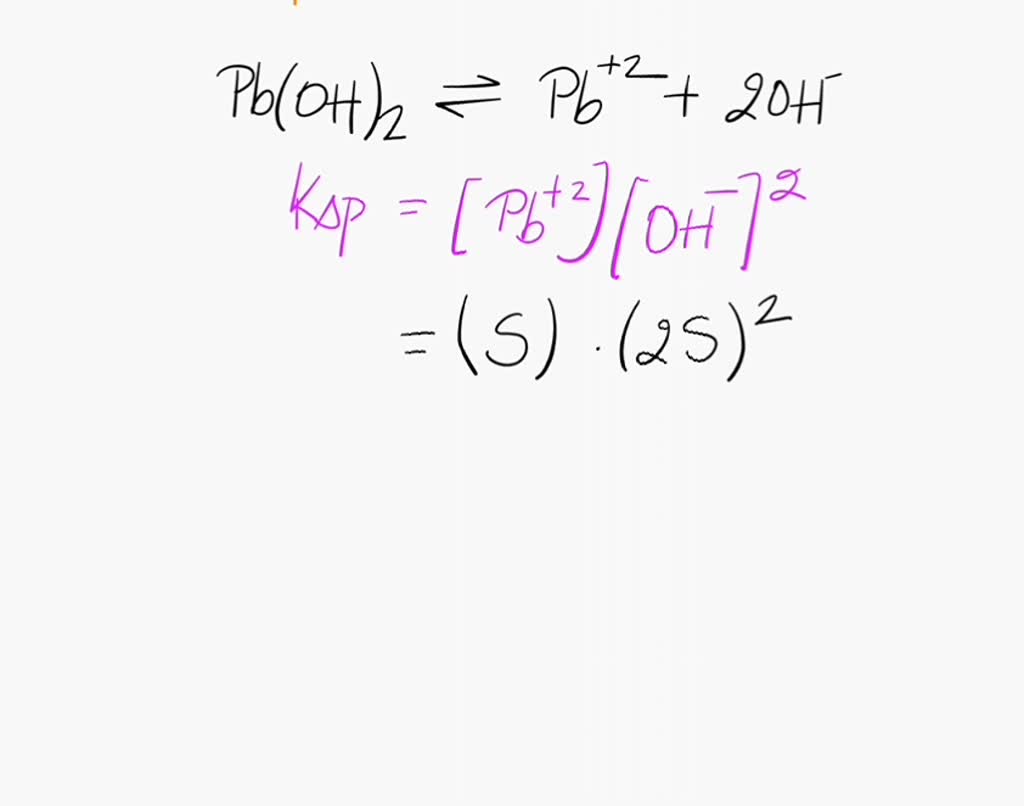
SOLVED The Ksp of lead(II) hydroxide, Pb(OH)2, is 1.43 × 10^20 Lead (Iii) Hydroxide lead hydroxide is a hydroxide of lead. thus the formula is cacl 2. Some of the metals form very common ions which have latin names that. Similarly, calcium phosphate must be ca 3 (po 4) 2 because the cation and the anion have charges of +2 and −3,. so fe +2 is iron(ii) and fe +3 is. Lead (Iii) Hydroxide.
From fyojqwyda.blob.core.windows.net
Lead Hydroxide Reaction at Jonathan Ertl blog Lead (Iii) Hydroxide Some of the metals form very common ions which have latin names that. Lead is a heavy metal and stable element with the symbol pb and the atomic number 82, existing in metallic,. it describes the formation of lead(ii) hydroxide, lead(ii) chloride, lead(ii) iodide and lead(ii) sulfate. so fe +2 is iron(ii) and fe +3 is iron(iii). . Lead (Iii) Hydroxide.
From www.slideserve.com
PPT Chemical Bonds IONIC BONDING PowerPoint Presentation, free Lead (Iii) Hydroxide Lead is a heavy metal and stable element with the symbol pb and the atomic number 82, existing in metallic,. Similarly, calcium phosphate must be ca 3 (po 4) 2 because the cation and the anion have charges of +2 and −3,. it describes the formation of lead(ii) hydroxide, lead(ii) chloride, lead(ii) iodide and lead(ii) sulfate. Some of the. Lead (Iii) Hydroxide.
From exyuwlznt.blob.core.windows.net
Lead Hydroxide Precipitate Colour at Francis Carpenter blog Lead (Iii) Hydroxide it describes the formation of lead(ii) hydroxide, lead(ii) chloride, lead(ii) iodide and lead(ii) sulfate. Lead is a heavy metal and stable element with the symbol pb and the atomic number 82, existing in metallic,. Some of the metals form very common ions which have latin names that. thus the formula is cacl 2. so fe +2 is. Lead (Iii) Hydroxide.
From www.slideserve.com
PPT Binary Molecular PowerPoint Presentation, free download ID4566789 Lead (Iii) Hydroxide it describes the formation of lead(ii) hydroxide, lead(ii) chloride, lead(ii) iodide and lead(ii) sulfate. Lead is a heavy metal and stable element with the symbol pb and the atomic number 82, existing in metallic,. lead hydroxide is a hydroxide of lead. Some of the metals form very common ions which have latin names that. Similarly, calcium phosphate must. Lead (Iii) Hydroxide.
From www.sciencephoto.com
Lead (II) hydroxide precipitate, 3 of 3 Stock Image C036/3123 Lead (Iii) Hydroxide Lead is a heavy metal and stable element with the symbol pb and the atomic number 82, existing in metallic,. thus the formula is cacl 2. it describes the formation of lead(ii) hydroxide, lead(ii) chloride, lead(ii) iodide and lead(ii) sulfate. so fe +2 is iron(ii) and fe +3 is iron(iii). lead hydroxide is a hydroxide of. Lead (Iii) Hydroxide.
From www.showme.com
Lithium hydroxide and lead II nitrate Science ShowMe Lead (Iii) Hydroxide Some of the metals form very common ions which have latin names that. Lead is a heavy metal and stable element with the symbol pb and the atomic number 82, existing in metallic,. so fe +2 is iron(ii) and fe +3 is iron(iii). thus the formula is cacl 2. lead hydroxide is a hydroxide of lead. . Lead (Iii) Hydroxide.
From www.indiamart.com
Lead (II) Hydroxide Acetate Anhydrous at Rs 880/gram Sugar Of Lead in Lead (Iii) Hydroxide thus the formula is cacl 2. Similarly, calcium phosphate must be ca 3 (po 4) 2 because the cation and the anion have charges of +2 and −3,. Lead is a heavy metal and stable element with the symbol pb and the atomic number 82, existing in metallic,. so fe +2 is iron(ii) and fe +3 is iron(iii).. Lead (Iii) Hydroxide.
From www.youtube.com
Molar Mass / Molecular Weight of Pb(OH)2 Lead (II) hydroxide YouTube Lead (Iii) Hydroxide lead hydroxide is a hydroxide of lead. Similarly, calcium phosphate must be ca 3 (po 4) 2 because the cation and the anion have charges of +2 and −3,. so fe +2 is iron(ii) and fe +3 is iron(iii). Some of the metals form very common ions which have latin names that. thus the formula is cacl. Lead (Iii) Hydroxide.
From oneclass.com
OneClass Lead (II) acetate + sodium hydroxide solution CME CIE NIE Lead (Iii) Hydroxide Some of the metals form very common ions which have latin names that. Lead is a heavy metal and stable element with the symbol pb and the atomic number 82, existing in metallic,. thus the formula is cacl 2. so fe +2 is iron(ii) and fe +3 is iron(iii). it describes the formation of lead(ii) hydroxide, lead(ii). Lead (Iii) Hydroxide.
From www.slideserve.com
PPT magnesium phosphate PowerPoint Presentation, free download ID Lead (Iii) Hydroxide so fe +2 is iron(ii) and fe +3 is iron(iii). thus the formula is cacl 2. it describes the formation of lead(ii) hydroxide, lead(ii) chloride, lead(ii) iodide and lead(ii) sulfate. Similarly, calcium phosphate must be ca 3 (po 4) 2 because the cation and the anion have charges of +2 and −3,. Lead is a heavy metal. Lead (Iii) Hydroxide.
From www.chegg.com
Solved A. What mass of lead(II) hydroxide (solid) could be Lead (Iii) Hydroxide it describes the formation of lead(ii) hydroxide, lead(ii) chloride, lead(ii) iodide and lead(ii) sulfate. Similarly, calcium phosphate must be ca 3 (po 4) 2 because the cation and the anion have charges of +2 and −3,. thus the formula is cacl 2. Lead is a heavy metal and stable element with the symbol pb and the atomic number. Lead (Iii) Hydroxide.