Helium Balloon Tank Pressure . Firstly we need to know how much helium a 16 balloons takes, which looking at the chart tells me 1.5 cu ft (3 x more than an 11. The capacity and pressure rating of a helium tank are crucial factors to consider when buying one. I had a couple helium tanks leftover from the kids' birthday parties, so i figured i'd take a whack at reusing them. The following chart breaks down nearly a dozen different sizes of helium cylinders. Please follow all safety instructions provided by your helium tank supplier. For each size tank, we tell you how many balloons you can. The gas is stored in high pressure cylinders, which need to be stored in a safe area and handled with great care to avoid potential accidents and. Here's how to attach 1/4 od tubing to one. From balloon through speciality to medical grade, all of our products are available to rent. From there, you can use it to store compressed gases (e.g. Find the helium solution you’re looking for with our broad portfolio of helium gases in multiple cylinder sizes. The warning and safety guidelines listed here may not be exhaustive. The capacity refers to how many cubic feet of helium can be stored in the tank, while pressure rating indicates how much pressure can be exerted on each balloon during inflation.
from somaap.org
Find the helium solution you’re looking for with our broad portfolio of helium gases in multiple cylinder sizes. From there, you can use it to store compressed gases (e.g. Firstly we need to know how much helium a 16 balloons takes, which looking at the chart tells me 1.5 cu ft (3 x more than an 11. Here's how to attach 1/4 od tubing to one. The capacity refers to how many cubic feet of helium can be stored in the tank, while pressure rating indicates how much pressure can be exerted on each balloon during inflation. The gas is stored in high pressure cylinders, which need to be stored in a safe area and handled with great care to avoid potential accidents and. The capacity and pressure rating of a helium tank are crucial factors to consider when buying one. For each size tank, we tell you how many balloons you can. Please follow all safety instructions provided by your helium tank supplier. The warning and safety guidelines listed here may not be exhaustive.
Best way to keep helium balloons inflated
Helium Balloon Tank Pressure The capacity refers to how many cubic feet of helium can be stored in the tank, while pressure rating indicates how much pressure can be exerted on each balloon during inflation. For each size tank, we tell you how many balloons you can. The following chart breaks down nearly a dozen different sizes of helium cylinders. Firstly we need to know how much helium a 16 balloons takes, which looking at the chart tells me 1.5 cu ft (3 x more than an 11. Find the helium solution you’re looking for with our broad portfolio of helium gases in multiple cylinder sizes. From balloon through speciality to medical grade, all of our products are available to rent. The warning and safety guidelines listed here may not be exhaustive. The capacity and pressure rating of a helium tank are crucial factors to consider when buying one. The gas is stored in high pressure cylinders, which need to be stored in a safe area and handled with great care to avoid potential accidents and. I had a couple helium tanks leftover from the kids' birthday parties, so i figured i'd take a whack at reusing them. Please follow all safety instructions provided by your helium tank supplier. The capacity refers to how many cubic feet of helium can be stored in the tank, while pressure rating indicates how much pressure can be exerted on each balloon during inflation. Here's how to attach 1/4 od tubing to one. From there, you can use it to store compressed gases (e.g.
From cnsefic.en.made-in-china.com
Party Use Low Pressure Disposable Balloon Helium Tank China Helium Balloon Tank Pressure The capacity and pressure rating of a helium tank are crucial factors to consider when buying one. Firstly we need to know how much helium a 16 balloons takes, which looking at the chart tells me 1.5 cu ft (3 x more than an 11. Find the helium solution you’re looking for with our broad portfolio of helium gases in. Helium Balloon Tank Pressure.
From somaap.org
Best way to keep helium balloons inflated Helium Balloon Tank Pressure Here's how to attach 1/4 od tubing to one. The capacity refers to how many cubic feet of helium can be stored in the tank, while pressure rating indicates how much pressure can be exerted on each balloon during inflation. The warning and safety guidelines listed here may not be exhaustive. Please follow all safety instructions provided by your helium. Helium Balloon Tank Pressure.
From www.walmart.com
Jumbo Helium Balloon Tank Kit, 14.9 cu ft, Includes 50 Balloons Helium Balloon Tank Pressure Here's how to attach 1/4 od tubing to one. The capacity and pressure rating of a helium tank are crucial factors to consider when buying one. The warning and safety guidelines listed here may not be exhaustive. From there, you can use it to store compressed gases (e.g. Firstly we need to know how much helium a 16 balloons takes,. Helium Balloon Tank Pressure.
From www.heb.com
Unique Helium Balloon Tank Shop Balloons at HEB Helium Balloon Tank Pressure Here's how to attach 1/4 od tubing to one. The following chart breaks down nearly a dozen different sizes of helium cylinders. For each size tank, we tell you how many balloons you can. The warning and safety guidelines listed here may not be exhaustive. Firstly we need to know how much helium a 16 balloons takes, which looking at. Helium Balloon Tank Pressure.
From amberbridgegas.en.made-in-china.com
Small Disposable 30lb 17bar Low Pressure Helium Balloon Tank China Helium Balloon Tank Pressure From balloon through speciality to medical grade, all of our products are available to rent. Firstly we need to know how much helium a 16 balloons takes, which looking at the chart tells me 1.5 cu ft (3 x more than an 11. The warning and safety guidelines listed here may not be exhaustive. Find the helium solution you’re looking. Helium Balloon Tank Pressure.
From joso-tech.com
Jumbo 90 Helium Balloons Tank Helium Balloon Tank Pressure Find the helium solution you’re looking for with our broad portfolio of helium gases in multiple cylinder sizes. The warning and safety guidelines listed here may not be exhaustive. From there, you can use it to store compressed gases (e.g. From balloon through speciality to medical grade, all of our products are available to rent. The capacity and pressure rating. Helium Balloon Tank Pressure.
From shbene.en.made-in-china.com
13.5L Empty Tanks High Pressure Disposable Balloon Helium Gas Cylinder Helium Balloon Tank Pressure Firstly we need to know how much helium a 16 balloons takes, which looking at the chart tells me 1.5 cu ft (3 x more than an 11. From balloon through speciality to medical grade, all of our products are available to rent. The capacity refers to how many cubic feet of helium can be stored in the tank, while. Helium Balloon Tank Pressure.
From cbmtech.en.made-in-china.com
Low Pressure Portable Disposable Balloon Helium Tank Helium Gas Helium Balloon Tank Pressure Firstly we need to know how much helium a 16 balloons takes, which looking at the chart tells me 1.5 cu ft (3 x more than an 11. The gas is stored in high pressure cylinders, which need to be stored in a safe area and handled with great care to avoid potential accidents and. The capacity and pressure rating. Helium Balloon Tank Pressure.
From guidagas.en.made-in-china.com
Ce DOT Kgs Certified Low Pressure 18bar 13.4L Helium Gas Helium Tank Helium Balloon Tank Pressure Here's how to attach 1/4 od tubing to one. Firstly we need to know how much helium a 16 balloons takes, which looking at the chart tells me 1.5 cu ft (3 x more than an 11. Please follow all safety instructions provided by your helium tank supplier. From there, you can use it to store compressed gases (e.g. The. Helium Balloon Tank Pressure.
From www.flinnsci.com
Balloon Helium Tank, 14.9 cu. ft. Flinn Scientific Helium Balloon Tank Pressure The warning and safety guidelines listed here may not be exhaustive. Firstly we need to know how much helium a 16 balloons takes, which looking at the chart tells me 1.5 cu ft (3 x more than an 11. The gas is stored in high pressure cylinders, which need to be stored in a safe area and handled with great. Helium Balloon Tank Pressure.
From www.alibaba.com
2020 Low Pressure 22l 50lb Filled Helium Gas Price Balloons Helium Tank Helium Balloon Tank Pressure Firstly we need to know how much helium a 16 balloons takes, which looking at the chart tells me 1.5 cu ft (3 x more than an 11. Please follow all safety instructions provided by your helium tank supplier. I had a couple helium tanks leftover from the kids' birthday parties, so i figured i'd take a whack at reusing. Helium Balloon Tank Pressure.
From www.bottlegases.co.uk
Helium Canisters for Balloons Helium Balloon Gas Cylinders Helium Balloon Tank Pressure For each size tank, we tell you how many balloons you can. Here's how to attach 1/4 od tubing to one. From there, you can use it to store compressed gases (e.g. Firstly we need to know how much helium a 16 balloons takes, which looking at the chart tells me 1.5 cu ft (3 x more than an 11.. Helium Balloon Tank Pressure.
From www.alibaba.com
Low Pressure Helium Tank Pure Helium With Helium Cylinder For Balloon Helium Balloon Tank Pressure I had a couple helium tanks leftover from the kids' birthday parties, so i figured i'd take a whack at reusing them. Firstly we need to know how much helium a 16 balloons takes, which looking at the chart tells me 1.5 cu ft (3 x more than an 11. From balloon through speciality to medical grade, all of our. Helium Balloon Tank Pressure.
From www.walmart.com
Balloon Time 9.5in Standard Helium Tank Kit (Includes 30 Assorted Latex Helium Balloon Tank Pressure The following chart breaks down nearly a dozen different sizes of helium cylinders. From there, you can use it to store compressed gases (e.g. From balloon through speciality to medical grade, all of our products are available to rent. The warning and safety guidelines listed here may not be exhaustive. The capacity refers to how many cubic feet of helium. Helium Balloon Tank Pressure.
From www.numerade.com
SOLVEDA tank of helium gas used to inflate toy balloons is at a Helium Balloon Tank Pressure The capacity and pressure rating of a helium tank are crucial factors to consider when buying one. The gas is stored in high pressure cylinders, which need to be stored in a safe area and handled with great care to avoid potential accidents and. Please follow all safety instructions provided by your helium tank supplier. From balloon through speciality to. Helium Balloon Tank Pressure.
From www.walmart.com
Balloon Time 9.5in Standard Helium Tank Kit (Includes 30 Assorted Latex Helium Balloon Tank Pressure For each size tank, we tell you how many balloons you can. From there, you can use it to store compressed gases (e.g. The capacity and pressure rating of a helium tank are crucial factors to consider when buying one. Here's how to attach 1/4 od tubing to one. The warning and safety guidelines listed here may not be exhaustive.. Helium Balloon Tank Pressure.
From forterragas.en.made-in-china.com
High Pressure Party 13.6L 22.4 L Disposable Helium Tank Balloon Gas Helium Balloon Tank Pressure The following chart breaks down nearly a dozen different sizes of helium cylinders. The capacity and pressure rating of a helium tank are crucial factors to consider when buying one. Firstly we need to know how much helium a 16 balloons takes, which looking at the chart tells me 1.5 cu ft (3 x more than an 11. Please follow. Helium Balloon Tank Pressure.
From www.walmart.com
Helium Balloon Tank Kit, 4.98 Cu ft, Includes 20 Balloons and 25 Yards Helium Balloon Tank Pressure From balloon through speciality to medical grade, all of our products are available to rent. Here's how to attach 1/4 od tubing to one. I had a couple helium tanks leftover from the kids' birthday parties, so i figured i'd take a whack at reusing them. For each size tank, we tell you how many balloons you can. From there,. Helium Balloon Tank Pressure.
From www.michaels.com
Balloon Time® Standard Helium Tank Helium Balloon Tank Pressure For each size tank, we tell you how many balloons you can. The capacity and pressure rating of a helium tank are crucial factors to consider when buying one. Please follow all safety instructions provided by your helium tank supplier. From there, you can use it to store compressed gases (e.g. The capacity refers to how many cubic feet of. Helium Balloon Tank Pressure.
From starevent.vn
The Best Helium Tanks For Balloons Everything You Need To Know Helium Balloon Tank Pressure The following chart breaks down nearly a dozen different sizes of helium cylinders. The gas is stored in high pressure cylinders, which need to be stored in a safe area and handled with great care to avoid potential accidents and. The capacity refers to how many cubic feet of helium can be stored in the tank, while pressure rating indicates. Helium Balloon Tank Pressure.
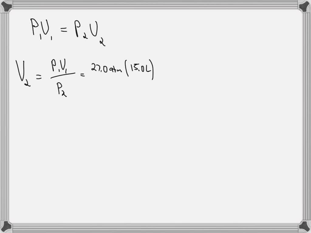
From www.numerade.com
SOLVED A 15.0 L helium tank is pressurized to 27.0 atm. When connected Helium Balloon Tank Pressure The warning and safety guidelines listed here may not be exhaustive. Firstly we need to know how much helium a 16 balloons takes, which looking at the chart tells me 1.5 cu ft (3 x more than an 11. I had a couple helium tanks leftover from the kids' birthday parties, so i figured i'd take a whack at reusing. Helium Balloon Tank Pressure.
From shbene.en.made-in-china.com
High Pressure Storage Tank Steel Helium Gas Cylinder for Balloon Party Helium Balloon Tank Pressure The following chart breaks down nearly a dozen different sizes of helium cylinders. Firstly we need to know how much helium a 16 balloons takes, which looking at the chart tells me 1.5 cu ft (3 x more than an 11. The warning and safety guidelines listed here may not be exhaustive. For each size tank, we tell you how. Helium Balloon Tank Pressure.
From zjtswinch.en.made-in-china.com
Disposable Balloon Helium Tank 22.3L Low Pressure Steel Helium Cylinder Helium Balloon Tank Pressure The capacity refers to how many cubic feet of helium can be stored in the tank, while pressure rating indicates how much pressure can be exerted on each balloon during inflation. The capacity and pressure rating of a helium tank are crucial factors to consider when buying one. Here's how to attach 1/4 od tubing to one. From balloon through. Helium Balloon Tank Pressure.
From insidescience.org
Under Pressure, Helium Stops Being a Bystander Inside Science Helium Balloon Tank Pressure The capacity and pressure rating of a helium tank are crucial factors to consider when buying one. The gas is stored in high pressure cylinders, which need to be stored in a safe area and handled with great care to avoid potential accidents and. The following chart breaks down nearly a dozen different sizes of helium cylinders. For each size. Helium Balloon Tank Pressure.
From haqt888888.en.made-in-china.com
Hengan Helium Cylinder 7L Low Pressure 28bar Helium Gas Tank Balloon Helium Balloon Tank Pressure I had a couple helium tanks leftover from the kids' birthday parties, so i figured i'd take a whack at reusing them. The capacity refers to how many cubic feet of helium can be stored in the tank, while pressure rating indicates how much pressure can be exerted on each balloon during inflation. From balloon through speciality to medical grade,. Helium Balloon Tank Pressure.
From joso-tech.com
Jumbo 90 Helium Balloons Tank Helium Balloon Tank Pressure The warning and safety guidelines listed here may not be exhaustive. Please follow all safety instructions provided by your helium tank supplier. Find the helium solution you’re looking for with our broad portfolio of helium gases in multiple cylinder sizes. Here's how to attach 1/4 od tubing to one. The capacity refers to how many cubic feet of helium can. Helium Balloon Tank Pressure.
From www.dreamstime.com
Helium Air Tank and Balloon Vector Illustration Stock Vector Helium Balloon Tank Pressure The capacity and pressure rating of a helium tank are crucial factors to consider when buying one. The capacity refers to how many cubic feet of helium can be stored in the tank, while pressure rating indicates how much pressure can be exerted on each balloon during inflation. The warning and safety guidelines listed here may not be exhaustive. From. Helium Balloon Tank Pressure.
From www.whowants2party.com.au
Balloon Time Standard Helium Tank (Includes 30 Balloons) Helium Tanks Helium Balloon Tank Pressure Find the helium solution you’re looking for with our broad portfolio of helium gases in multiple cylinder sizes. From balloon through speciality to medical grade, all of our products are available to rent. The gas is stored in high pressure cylinders, which need to be stored in a safe area and handled with great care to avoid potential accidents and.. Helium Balloon Tank Pressure.
From forterragas.en.made-in-china.com
Colorful High Pressure Party 22.4 L Disposable Helium Gas Cylinder Helium Balloon Tank Pressure Find the helium solution you’re looking for with our broad portfolio of helium gases in multiple cylinder sizes. From there, you can use it to store compressed gases (e.g. From balloon through speciality to medical grade, all of our products are available to rent. Firstly we need to know how much helium a 16 balloons takes, which looking at the. Helium Balloon Tank Pressure.
From www.amazon.com
Helium Tank for Balloons At Home, 14.9 Cu Ft Helium Balloon Helium Balloon Tank Pressure Here's how to attach 1/4 od tubing to one. The capacity and pressure rating of a helium tank are crucial factors to consider when buying one. Firstly we need to know how much helium a 16 balloons takes, which looking at the chart tells me 1.5 cu ft (3 x more than an 11. I had a couple helium tanks. Helium Balloon Tank Pressure.
From shbene.en.made-in-china.com
Gas Tank Low Pressure 22.4L Inflatable Helium Balloon Cylinder China Helium Balloon Tank Pressure For each size tank, we tell you how many balloons you can. I had a couple helium tanks leftover from the kids' birthday parties, so i figured i'd take a whack at reusing them. Find the helium solution you’re looking for with our broad portfolio of helium gases in multiple cylinder sizes. Firstly we need to know how much helium. Helium Balloon Tank Pressure.
From joso-tech.com
Jumbo 90 Helium Balloons Tank Helium Balloon Tank Pressure The warning and safety guidelines listed here may not be exhaustive. From there, you can use it to store compressed gases (e.g. Firstly we need to know how much helium a 16 balloons takes, which looking at the chart tells me 1.5 cu ft (3 x more than an 11. From balloon through speciality to medical grade, all of our. Helium Balloon Tank Pressure.
From joso-tech.com
50 Helium Balloons Tank Helium Balloon Tank Pressure Find the helium solution you’re looking for with our broad portfolio of helium gases in multiple cylinder sizes. Here's how to attach 1/4 od tubing to one. Firstly we need to know how much helium a 16 balloons takes, which looking at the chart tells me 1.5 cu ft (3 x more than an 11. The gas is stored in. Helium Balloon Tank Pressure.