What Is A Memorandum Of Contract For Deed . what is a deed? A contract for deed, also called a land contract, is a legal agreement for the sale of property. what is a contract for deed? a memorandum of sale is a legal document that outlines the main terms of a sale between a buyer and a seller. the memorandum of land contract is a legally enforceable agreement that encapsulates the main details of the land. a deed is a formal legal document (which is always written) that confirms an agreement between parties. a memorandum of contract, or memorandum of sales contract, is a legally binding agreement that is part of a real. A deed is contacts also, similar to a simple contract, as it is a commitment by one party to do.
from www.scribd.com
what is a contract for deed? a memorandum of contract, or memorandum of sales contract, is a legally binding agreement that is part of a real. a deed is a formal legal document (which is always written) that confirms an agreement between parties. what is a deed? A deed is contacts also, similar to a simple contract, as it is a commitment by one party to do. the memorandum of land contract is a legally enforceable agreement that encapsulates the main details of the land. a memorandum of sale is a legal document that outlines the main terms of a sale between a buyer and a seller. A contract for deed, also called a land contract, is a legal agreement for the sale of property.
LC Memorandum Plaintiff.docx Deed Mortgage Law
What Is A Memorandum Of Contract For Deed A contract for deed, also called a land contract, is a legal agreement for the sale of property. a memorandum of contract, or memorandum of sales contract, is a legally binding agreement that is part of a real. what is a deed? a deed is a formal legal document (which is always written) that confirms an agreement between parties. the memorandum of land contract is a legally enforceable agreement that encapsulates the main details of the land. a memorandum of sale is a legal document that outlines the main terms of a sale between a buyer and a seller. what is a contract for deed? A deed is contacts also, similar to a simple contract, as it is a commitment by one party to do. A contract for deed, also called a land contract, is a legal agreement for the sale of property.
From www.scribd.com
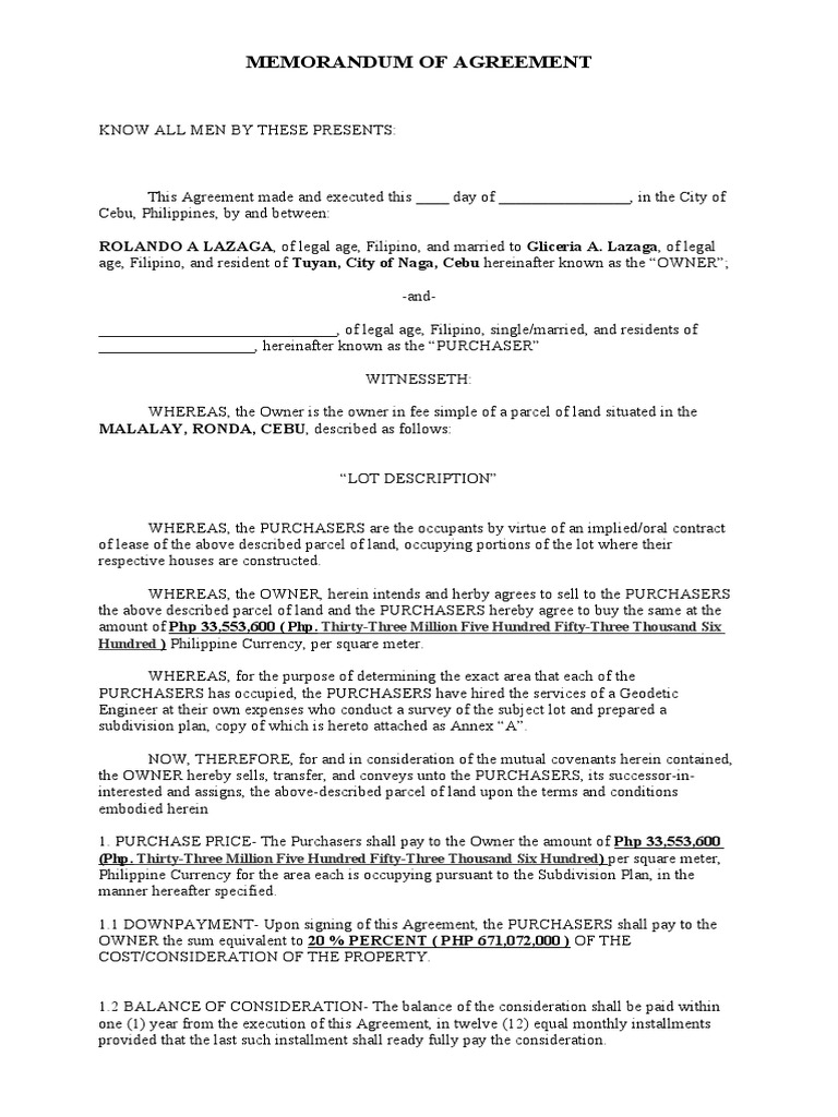
Memorandum of Agreement PDF Covenant (Law) Deed What Is A Memorandum Of Contract For Deed a memorandum of sale is a legal document that outlines the main terms of a sale between a buyer and a seller. A contract for deed, also called a land contract, is a legal agreement for the sale of property. what is a contract for deed? the memorandum of land contract is a legally enforceable agreement that. What Is A Memorandum Of Contract For Deed.
From www.scribd.com
Memorandum of Agreement Deed of Donation PDF Private Law Property Law What Is A Memorandum Of Contract For Deed what is a deed? A deed is contacts also, similar to a simple contract, as it is a commitment by one party to do. the memorandum of land contract is a legally enforceable agreement that encapsulates the main details of the land. A contract for deed, also called a land contract, is a legal agreement for the sale. What Is A Memorandum Of Contract For Deed.
From www.formsbirds.com
Contract for Deed Form 5 Free Templates in PDF, Word, Excel Download What Is A Memorandum Of Contract For Deed a memorandum of sale is a legal document that outlines the main terms of a sale between a buyer and a seller. A deed is contacts also, similar to a simple contract, as it is a commitment by one party to do. what is a contract for deed? a memorandum of contract, or memorandum of sales contract,. What Is A Memorandum Of Contract For Deed.
From www.deeds.com
Montcalm County Memorandum of Land Contract Form Michigan What Is A Memorandum Of Contract For Deed what is a deed? a memorandum of sale is a legal document that outlines the main terms of a sale between a buyer and a seller. a deed is a formal legal document (which is always written) that confirms an agreement between parties. A deed is contacts also, similar to a simple contract, as it is a. What Is A Memorandum Of Contract For Deed.
From www.scribd.com
Memorandum Deed of Donation Joint Venture PublicPrivate Partnership What Is A Memorandum Of Contract For Deed a memorandum of sale is a legal document that outlines the main terms of a sale between a buyer and a seller. A contract for deed, also called a land contract, is a legal agreement for the sale of property. what is a contract for deed? a deed is a formal legal document (which is always written). What Is A Memorandum Of Contract For Deed.
From www.deeds.com
Steuben County Memorandum of Contract for Deed Form New York What Is A Memorandum Of Contract For Deed A contract for deed, also called a land contract, is a legal agreement for the sale of property. what is a contract for deed? A deed is contacts also, similar to a simple contract, as it is a commitment by one party to do. a memorandum of sale is a legal document that outlines the main terms of. What Is A Memorandum Of Contract For Deed.
From www.freelancer.com
Memorandum/ Agreement/ Deeds/ contracts Freelancer What Is A Memorandum Of Contract For Deed a memorandum of contract, or memorandum of sales contract, is a legally binding agreement that is part of a real. what is a contract for deed? the memorandum of land contract is a legally enforceable agreement that encapsulates the main details of the land. A contract for deed, also called a land contract, is a legal agreement. What Is A Memorandum Of Contract For Deed.
From www.formsbirds.com
Contract for Deed Form 5 Free Templates in PDF, Word, Excel Download What Is A Memorandum Of Contract For Deed A contract for deed, also called a land contract, is a legal agreement for the sale of property. a memorandum of contract, or memorandum of sales contract, is a legally binding agreement that is part of a real. a memorandum of sale is a legal document that outlines the main terms of a sale between a buyer and. What Is A Memorandum Of Contract For Deed.
From www.deeds.com
Gates County Memorandum of a Contract for Deed Form North Carolina What Is A Memorandum Of Contract For Deed what is a contract for deed? A deed is contacts also, similar to a simple contract, as it is a commitment by one party to do. a memorandum of contract, or memorandum of sales contract, is a legally binding agreement that is part of a real. A contract for deed, also called a land contract, is a legal. What Is A Memorandum Of Contract For Deed.
From www.freelancer.com
Memorandum/ Agreement/ Deeds/ contracts Freelancer What Is A Memorandum Of Contract For Deed the memorandum of land contract is a legally enforceable agreement that encapsulates the main details of the land. what is a contract for deed? A deed is contacts also, similar to a simple contract, as it is a commitment by one party to do. A contract for deed, also called a land contract, is a legal agreement for. What Is A Memorandum Of Contract For Deed.
From www.scribd.com
Memorandum of Agreement PDF Deed Property Tax What Is A Memorandum Of Contract For Deed a deed is a formal legal document (which is always written) that confirms an agreement between parties. what is a contract for deed? A deed is contacts also, similar to a simple contract, as it is a commitment by one party to do. the memorandum of land contract is a legally enforceable agreement that encapsulates the main. What Is A Memorandum Of Contract For Deed.
From www.scribd.com
Memorandum of AgreementSample PDF Notary Public Deed What Is A Memorandum Of Contract For Deed A contract for deed, also called a land contract, is a legal agreement for the sale of property. a memorandum of contract, or memorandum of sales contract, is a legally binding agreement that is part of a real. A deed is contacts also, similar to a simple contract, as it is a commitment by one party to do. . What Is A Memorandum Of Contract For Deed.
From www.scribd.com
Memorandum of Agreement Blank PDF Deed Legal Documents What Is A Memorandum Of Contract For Deed A contract for deed, also called a land contract, is a legal agreement for the sale of property. what is a contract for deed? a memorandum of contract, or memorandum of sales contract, is a legally binding agreement that is part of a real. a deed is a formal legal document (which is always written) that confirms. What Is A Memorandum Of Contract For Deed.
From www.scribd.com
Deed of Partition With Memorandum of Agreement PDF Real Property What Is A Memorandum Of Contract For Deed what is a contract for deed? the memorandum of land contract is a legally enforceable agreement that encapsulates the main details of the land. A deed is contacts also, similar to a simple contract, as it is a commitment by one party to do. a memorandum of contract, or memorandum of sales contract, is a legally binding. What Is A Memorandum Of Contract For Deed.
From www.examples.com
Printable Agreement Examples 43+ PDF, DOC Examples What Is A Memorandum Of Contract For Deed what is a deed? what is a contract for deed? a deed is a formal legal document (which is always written) that confirms an agreement between parties. the memorandum of land contract is a legally enforceable agreement that encapsulates the main details of the land. A contract for deed, also called a land contract, is a. What Is A Memorandum Of Contract For Deed.
From www.pdffiller.com
Fillable Online Memorandum of Agreement for Deed Fax Email Print What Is A Memorandum Of Contract For Deed a memorandum of sale is a legal document that outlines the main terms of a sale between a buyer and a seller. what is a contract for deed? the memorandum of land contract is a legally enforceable agreement that encapsulates the main details of the land. a memorandum of contract, or memorandum of sales contract, is. What Is A Memorandum Of Contract For Deed.
From corpbiz.io
Process, Details for Memorandum of Deposit of Title Deed (MODT) What Is A Memorandum Of Contract For Deed a deed is a formal legal document (which is always written) that confirms an agreement between parties. what is a contract for deed? A contract for deed, also called a land contract, is a legal agreement for the sale of property. A deed is contacts also, similar to a simple contract, as it is a commitment by one. What Is A Memorandum Of Contract For Deed.
From juro.com
Free Memorandum of Agreement template What Is A Memorandum Of Contract For Deed A deed is contacts also, similar to a simple contract, as it is a commitment by one party to do. what is a deed? what is a contract for deed? a memorandum of sale is a legal document that outlines the main terms of a sale between a buyer and a seller. a deed is a. What Is A Memorandum Of Contract For Deed.
From www.signnow.com
Notice of Assignment of Contract for Deed Illinois Form Fill Out and What Is A Memorandum Of Contract For Deed a deed is a formal legal document (which is always written) that confirms an agreement between parties. A deed is contacts also, similar to a simple contract, as it is a commitment by one party to do. what is a deed? the memorandum of land contract is a legally enforceable agreement that encapsulates the main details of. What Is A Memorandum Of Contract For Deed.
From www.dochub.com
Contract for Deed DocHub What Is A Memorandum Of Contract For Deed the memorandum of land contract is a legally enforceable agreement that encapsulates the main details of the land. A contract for deed, also called a land contract, is a legal agreement for the sale of property. what is a contract for deed? what is a deed? a memorandum of contract, or memorandum of sales contract, is. What Is A Memorandum Of Contract For Deed.
From www.deeds.com
Steuben County Memorandum of Contract for Deed Form New York What Is A Memorandum Of Contract For Deed A deed is contacts also, similar to a simple contract, as it is a commitment by one party to do. a memorandum of sale is a legal document that outlines the main terms of a sale between a buyer and a seller. what is a contract for deed? the memorandum of land contract is a legally enforceable. What Is A Memorandum Of Contract For Deed.
From www.deeds.com
Davidson County Memorandum of a Contract for Deed Form North Carolina What Is A Memorandum Of Contract For Deed A deed is contacts also, similar to a simple contract, as it is a commitment by one party to do. A contract for deed, also called a land contract, is a legal agreement for the sale of property. what is a contract for deed? the memorandum of land contract is a legally enforceable agreement that encapsulates the main. What Is A Memorandum Of Contract For Deed.
From www.scribd.com
LC Memorandum Plaintiff.docx Deed Mortgage Law What Is A Memorandum Of Contract For Deed a deed is a formal legal document (which is always written) that confirms an agreement between parties. A contract for deed, also called a land contract, is a legal agreement for the sale of property. A deed is contacts also, similar to a simple contract, as it is a commitment by one party to do. a memorandum of. What Is A Memorandum Of Contract For Deed.
From www.deeds.com
County Memorandum of Contract Form Kentucky What Is A Memorandum Of Contract For Deed what is a contract for deed? A deed is contacts also, similar to a simple contract, as it is a commitment by one party to do. A contract for deed, also called a land contract, is a legal agreement for the sale of property. the memorandum of land contract is a legally enforceable agreement that encapsulates the main. What Is A Memorandum Of Contract For Deed.
From www.deeds.com
County Memorandum of Contract Form Mississippi What Is A Memorandum Of Contract For Deed a memorandum of sale is a legal document that outlines the main terms of a sale between a buyer and a seller. what is a deed? A contract for deed, also called a land contract, is a legal agreement for the sale of property. a deed is a formal legal document (which is always written) that confirms. What Is A Memorandum Of Contract For Deed.
From www.deeds.com
Young County Memorandum of Contract Form Texas What Is A Memorandum Of Contract For Deed a memorandum of sale is a legal document that outlines the main terms of a sale between a buyer and a seller. what is a deed? A contract for deed, also called a land contract, is a legal agreement for the sale of property. a deed is a formal legal document (which is always written) that confirms. What Is A Memorandum Of Contract For Deed.
From www.lawdistrict.com
Contract for Deed Land Contract Template LawDistrict What Is A Memorandum Of Contract For Deed a memorandum of sale is a legal document that outlines the main terms of a sale between a buyer and a seller. what is a deed? A contract for deed, also called a land contract, is a legal agreement for the sale of property. a deed is a formal legal document (which is always written) that confirms. What Is A Memorandum Of Contract For Deed.
From www.deeds.com
Florence County Memorandum of Contract Form South Carolina What Is A Memorandum Of Contract For Deed what is a deed? a deed is a formal legal document (which is always written) that confirms an agreement between parties. A deed is contacts also, similar to a simple contract, as it is a commitment by one party to do. the memorandum of land contract is a legally enforceable agreement that encapsulates the main details of. What Is A Memorandum Of Contract For Deed.
From www.deeds.com
Palo Pinto County Memorandum of Contract Forms Texas What Is A Memorandum Of Contract For Deed a memorandum of contract, or memorandum of sales contract, is a legally binding agreement that is part of a real. A contract for deed, also called a land contract, is a legal agreement for the sale of property. a memorandum of sale is a legal document that outlines the main terms of a sale between a buyer and. What Is A Memorandum Of Contract For Deed.
From www.scribd.com
Sample Memorandum Deed Lawsuit What Is A Memorandum Of Contract For Deed what is a deed? the memorandum of land contract is a legally enforceable agreement that encapsulates the main details of the land. A deed is contacts also, similar to a simple contract, as it is a commitment by one party to do. A contract for deed, also called a land contract, is a legal agreement for the sale. What Is A Memorandum Of Contract For Deed.
From www.printablerealestateforms.com
Free Printable Contract For Deed Form (BASIC TEMPLATES) What Is A Memorandum Of Contract For Deed A deed is contacts also, similar to a simple contract, as it is a commitment by one party to do. a deed is a formal legal document (which is always written) that confirms an agreement between parties. what is a contract for deed? a memorandum of contract, or memorandum of sales contract, is a legally binding agreement. What Is A Memorandum Of Contract For Deed.
From www.deeds.com
Washtenaw County Memorandum of Land Contract Form Michigan What Is A Memorandum Of Contract For Deed A deed is contacts also, similar to a simple contract, as it is a commitment by one party to do. a memorandum of sale is a legal document that outlines the main terms of a sale between a buyer and a seller. A contract for deed, also called a land contract, is a legal agreement for the sale of. What Is A Memorandum Of Contract For Deed.
From www.scribd.com
MEMORANDUM OF AGREEMENT Drafts PDF Mortgage Law Deed What Is A Memorandum Of Contract For Deed the memorandum of land contract is a legally enforceable agreement that encapsulates the main details of the land. a memorandum of sale is a legal document that outlines the main terms of a sale between a buyer and a seller. a deed is a formal legal document (which is always written) that confirms an agreement between parties.. What Is A Memorandum Of Contract For Deed.
From www.scribd.com
Memo of Agreement With Contract of Sale PDF Deed Leasehold Estate What Is A Memorandum Of Contract For Deed a memorandum of contract, or memorandum of sales contract, is a legally binding agreement that is part of a real. the memorandum of land contract is a legally enforceable agreement that encapsulates the main details of the land. A deed is contacts also, similar to a simple contract, as it is a commitment by one party to do.. What Is A Memorandum Of Contract For Deed.
From www.scribd.com
Deed of agreement sample Real Property Law Property Law What Is A Memorandum Of Contract For Deed a memorandum of sale is a legal document that outlines the main terms of a sale between a buyer and a seller. the memorandum of land contract is a legally enforceable agreement that encapsulates the main details of the land. what is a contract for deed? a memorandum of contract, or memorandum of sales contract, is. What Is A Memorandum Of Contract For Deed.