India Rent Law . The model law requires landlords and tenants to sign a written contract setting out the rent, lease term, and other relevant terms. Rent agreements are contracts between property owners and tenants and are regulated by the indian contract act, the transfer of property. These laws provide guidelines and. Before you rent a property (either as an owner or as a tenant), you must look out for certain points that guarantee you a safe transaction. The act aims to promote rental housing and balance the interests of landlords and tenants by equitably and clearly defining their. Since the rent rates and such other details vary in each state, here are the guidelines you can follow, as mandated by the ministry of housing and urban affairs. Although renting a property may seem straightforward, tenants need to be aware of their legal rights to avoid disputes or exploitation.
from www.barandbench.com
Rent agreements are contracts between property owners and tenants and are regulated by the indian contract act, the transfer of property. Although renting a property may seem straightforward, tenants need to be aware of their legal rights to avoid disputes or exploitation. Before you rent a property (either as an owner or as a tenant), you must look out for certain points that guarantee you a safe transaction. The model law requires landlords and tenants to sign a written contract setting out the rent, lease term, and other relevant terms. These laws provide guidelines and. Since the rent rates and such other details vary in each state, here are the guidelines you can follow, as mandated by the ministry of housing and urban affairs. The act aims to promote rental housing and balance the interests of landlords and tenants by equitably and clearly defining their.
COVID19 and payment of rent Position of tenants under Indian laws
India Rent Law Although renting a property may seem straightforward, tenants need to be aware of their legal rights to avoid disputes or exploitation. Since the rent rates and such other details vary in each state, here are the guidelines you can follow, as mandated by the ministry of housing and urban affairs. Rent agreements are contracts between property owners and tenants and are regulated by the indian contract act, the transfer of property. Although renting a property may seem straightforward, tenants need to be aware of their legal rights to avoid disputes or exploitation. These laws provide guidelines and. The model law requires landlords and tenants to sign a written contract setting out the rent, lease term, and other relevant terms. Before you rent a property (either as an owner or as a tenant), you must look out for certain points that guarantee you a safe transaction. The act aims to promote rental housing and balance the interests of landlords and tenants by equitably and clearly defining their.
From www.sampletemplatess.com
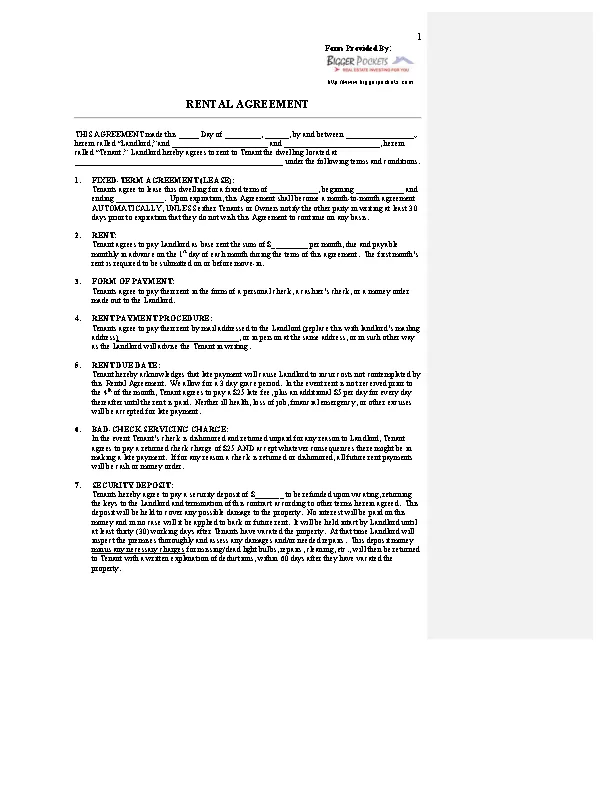
Rent Agreement Template India SampleTemplatess SampleTemplatess India Rent Law Before you rent a property (either as an owner or as a tenant), you must look out for certain points that guarantee you a safe transaction. The model law requires landlords and tenants to sign a written contract setting out the rent, lease term, and other relevant terms. Rent agreements are contracts between property owners and tenants and are regulated. India Rent Law.
From www.propira.com
Rent Agreement Registration Process in India India Rent Law Although renting a property may seem straightforward, tenants need to be aware of their legal rights to avoid disputes or exploitation. Since the rent rates and such other details vary in each state, here are the guidelines you can follow, as mandated by the ministry of housing and urban affairs. Rent agreements are contracts between property owners and tenants and. India Rent Law.
From pdfsimpli.com
Indian Residential Rental Agreement PDFSimpli India Rent Law Rent agreements are contracts between property owners and tenants and are regulated by the indian contract act, the transfer of property. Before you rent a property (either as an owner or as a tenant), you must look out for certain points that guarantee you a safe transaction. Since the rent rates and such other details vary in each state, here. India Rent Law.
From www.utmostpropertymanagement.com
Rental Laws and Regulations All Investors Should Be Aware Of India Rent Law Although renting a property may seem straightforward, tenants need to be aware of their legal rights to avoid disputes or exploitation. The model law requires landlords and tenants to sign a written contract setting out the rent, lease term, and other relevant terms. These laws provide guidelines and. The act aims to promote rental housing and balance the interests of. India Rent Law.
From navimumbaihouses.com
Rental Rights Indian Bachelors 'Rental Rights' India Rent Law Rent agreements are contracts between property owners and tenants and are regulated by the indian contract act, the transfer of property. Before you rent a property (either as an owner or as a tenant), you must look out for certain points that guarantee you a safe transaction. Since the rent rates and such other details vary in each state, here. India Rent Law.
From in.pinterest.com
Rent Control Act India in 2023 Rent, Acting, Being a landlord India Rent Law Before you rent a property (either as an owner or as a tenant), you must look out for certain points that guarantee you a safe transaction. The act aims to promote rental housing and balance the interests of landlords and tenants by equitably and clearly defining their. These laws provide guidelines and. Rent agreements are contracts between property owners and. India Rent Law.
From www.lawinsider.in
A Legal Overview of Tenant Rights and Landlord Responsibilities LAW INSIDER INDIA INSIGHT OF India Rent Law Although renting a property may seem straightforward, tenants need to be aware of their legal rights to avoid disputes or exploitation. Before you rent a property (either as an owner or as a tenant), you must look out for certain points that guarantee you a safe transaction. The act aims to promote rental housing and balance the interests of landlords. India Rent Law.
From www.youtube.com
How to make house rental agreement in Bangalore India by yourself YouTube India Rent Law The act aims to promote rental housing and balance the interests of landlords and tenants by equitably and clearly defining their. The model law requires landlords and tenants to sign a written contract setting out the rent, lease term, and other relevant terms. Before you rent a property (either as an owner or as a tenant), you must look out. India Rent Law.
From www.pdffiller.com
Fillable Online Rent Agreement Terms And Conditions In India. Rent Agreement Terms And India Rent Law Since the rent rates and such other details vary in each state, here are the guidelines you can follow, as mandated by the ministry of housing and urban affairs. These laws provide guidelines and. The act aims to promote rental housing and balance the interests of landlords and tenants by equitably and clearly defining their. Before you rent a property. India Rent Law.
From proptechsolutions.in
11 Renting Laws Every Landlord & Tenant in India Must Know PropTech Solutions India Rent Law Although renting a property may seem straightforward, tenants need to be aware of their legal rights to avoid disputes or exploitation. These laws provide guidelines and. Before you rent a property (either as an owner or as a tenant), you must look out for certain points that guarantee you a safe transaction. Rent agreements are contracts between property owners and. India Rent Law.
From www.studocu.com
Sample indian rental agreement format flat property in india august 14 2019 Rental Agreement India Rent Law Since the rent rates and such other details vary in each state, here are the guidelines you can follow, as mandated by the ministry of housing and urban affairs. The act aims to promote rental housing and balance the interests of landlords and tenants by equitably and clearly defining their. These laws provide guidelines and. Before you rent a property. India Rent Law.
From www.cabkgoyal.com
Rent Agreement Format A Comprehensive Guide to Executing a Rental Agreement India Rent Law These laws provide guidelines and. The act aims to promote rental housing and balance the interests of landlords and tenants by equitably and clearly defining their. Although renting a property may seem straightforward, tenants need to be aware of their legal rights to avoid disputes or exploitation. Before you rent a property (either as an owner or as a tenant),. India Rent Law.
From ar.inspiredpencil.com
Rent Agreement Template India India Rent Law Before you rent a property (either as an owner or as a tenant), you must look out for certain points that guarantee you a safe transaction. Since the rent rates and such other details vary in each state, here are the guidelines you can follow, as mandated by the ministry of housing and urban affairs. Rent agreements are contracts between. India Rent Law.
From www.tesz.in
How do I extend a rent agreement in India? India Rent Law The act aims to promote rental housing and balance the interests of landlords and tenants by equitably and clearly defining their. Since the rent rates and such other details vary in each state, here are the guidelines you can follow, as mandated by the ministry of housing and urban affairs. The model law requires landlords and tenants to sign a. India Rent Law.
From www.barandbench.com
COVID19 and payment of rent Position of tenants under Indian laws India Rent Law Rent agreements are contracts between property owners and tenants and are regulated by the indian contract act, the transfer of property. The model law requires landlords and tenants to sign a written contract setting out the rent, lease term, and other relevant terms. Before you rent a property (either as an owner or as a tenant), you must look out. India Rent Law.
From sbnri.com
Optimizing NRI Rental in India SBNRI India Rent Law Rent agreements are contracts between property owners and tenants and are regulated by the indian contract act, the transfer of property. Although renting a property may seem straightforward, tenants need to be aware of their legal rights to avoid disputes or exploitation. Before you rent a property (either as an owner or as a tenant), you must look out for. India Rent Law.
From www.onlinebooksbazaar.com
Punjab Rent Laws editon 2024 Online Books Bazaar India Rent Law These laws provide guidelines and. Since the rent rates and such other details vary in each state, here are the guidelines you can follow, as mandated by the ministry of housing and urban affairs. Rent agreements are contracts between property owners and tenants and are regulated by the indian contract act, the transfer of property. Although renting a property may. India Rent Law.
From www.barelaw.in
Tenant vs. Landlord Understanding Rental Laws and Your Rights BareLaw India Rent Law These laws provide guidelines and. Rent agreements are contracts between property owners and tenants and are regulated by the indian contract act, the transfer of property. The model law requires landlords and tenants to sign a written contract setting out the rent, lease term, and other relevant terms. Although renting a property may seem straightforward, tenants need to be aware. India Rent Law.
From www.indiafilings.com
Rental Agreement Laws in India IndiaFilings India Rent Law Rent agreements are contracts between property owners and tenants and are regulated by the indian contract act, the transfer of property. These laws provide guidelines and. The model law requires landlords and tenants to sign a written contract setting out the rent, lease term, and other relevant terms. The act aims to promote rental housing and balance the interests of. India Rent Law.
From navimumbaihouses.com
The Maharashtra Rent Control Act In Its Entirety India Rent Law Rent agreements are contracts between property owners and tenants and are regulated by the indian contract act, the transfer of property. Although renting a property may seem straightforward, tenants need to be aware of their legal rights to avoid disputes or exploitation. The model law requires landlords and tenants to sign a written contract setting out the rent, lease term,. India Rent Law.
From ar.inspiredpencil.com
Rent Agreement Template India India Rent Law Rent agreements are contracts between property owners and tenants and are regulated by the indian contract act, the transfer of property. The model law requires landlords and tenants to sign a written contract setting out the rent, lease term, and other relevant terms. The act aims to promote rental housing and balance the interests of landlords and tenants by equitably. India Rent Law.
From www.scribd.com
Indian Rental Agreement Format Now This Agreement Witnesseth As Under PDF Leasehold Estate India Rent Law Since the rent rates and such other details vary in each state, here are the guidelines you can follow, as mandated by the ministry of housing and urban affairs. The model law requires landlords and tenants to sign a written contract setting out the rent, lease term, and other relevant terms. Before you rent a property (either as an owner. India Rent Law.
From indiaadvocacy.in
Rental Agreement India Advocacy India Rent Law The model law requires landlords and tenants to sign a written contract setting out the rent, lease term, and other relevant terms. Although renting a property may seem straightforward, tenants need to be aware of their legal rights to avoid disputes or exploitation. Before you rent a property (either as an owner or as a tenant), you must look out. India Rent Law.
From alfatimalaw.com
AL FATIMA LAW ASSOCIATES Best Law Firm with Expert Lawyers Gujrat Punjab Pakistan India Rent Law The model law requires landlords and tenants to sign a written contract setting out the rent, lease term, and other relevant terms. Before you rent a property (either as an owner or as a tenant), you must look out for certain points that guarantee you a safe transaction. These laws provide guidelines and. Since the rent rates and such other. India Rent Law.
From ar.inspiredpencil.com
Rent Agreement Template India India Rent Law Before you rent a property (either as an owner or as a tenant), you must look out for certain points that guarantee you a safe transaction. The model law requires landlords and tenants to sign a written contract setting out the rent, lease term, and other relevant terms. These laws provide guidelines and. Since the rent rates and such other. India Rent Law.
From www.track2realty.track2media.com
Mumbai a natural market for rental housing Track2Realty India Rent Law The act aims to promote rental housing and balance the interests of landlords and tenants by equitably and clearly defining their. Rent agreements are contracts between property owners and tenants and are regulated by the indian contract act, the transfer of property. These laws provide guidelines and. Since the rent rates and such other details vary in each state, here. India Rent Law.
From www.youtube.com
Personal Necessity I Punjab Rent Law I Effect of NonRegistration of Rent Agreement I YouTube India Rent Law Since the rent rates and such other details vary in each state, here are the guidelines you can follow, as mandated by the ministry of housing and urban affairs. Although renting a property may seem straightforward, tenants need to be aware of their legal rights to avoid disputes or exploitation. Rent agreements are contracts between property owners and tenants and. India Rent Law.
From www.youtube.com
Must know Cases of 2022 Top Rent Law Judgments of 2022 weeklycaselawbulletin YouTube India Rent Law Rent agreements are contracts between property owners and tenants and are regulated by the indian contract act, the transfer of property. Since the rent rates and such other details vary in each state, here are the guidelines you can follow, as mandated by the ministry of housing and urban affairs. Although renting a property may seem straightforward, tenants need to. India Rent Law.
From www.youtube.com
The March of Rent Laws Mr. PB BALAJI, Advocate , Madras High Court YouTube India Rent Law Rent agreements are contracts between property owners and tenants and are regulated by the indian contract act, the transfer of property. The act aims to promote rental housing and balance the interests of landlords and tenants by equitably and clearly defining their. These laws provide guidelines and. Since the rent rates and such other details vary in each state, here. India Rent Law.
From www.thepropertist.com
Rising Rental Housing Demand in India India Rent Law Since the rent rates and such other details vary in each state, here are the guidelines you can follow, as mandated by the ministry of housing and urban affairs. Before you rent a property (either as an owner or as a tenant), you must look out for certain points that guarantee you a safe transaction. Rent agreements are contracts between. India Rent Law.
From manzoorlawbook.com
READY REFERENCE OF RENT LAWS IN PUNJAB « MANZOOR LAW BOOK HOUSE India Rent Law Although renting a property may seem straightforward, tenants need to be aware of their legal rights to avoid disputes or exploitation. The model law requires landlords and tenants to sign a written contract setting out the rent, lease term, and other relevant terms. These laws provide guidelines and. Rent agreements are contracts between property owners and tenants and are regulated. India Rent Law.
From www.tas-consultoria.com
Important changes in the Rent Law 2023 India Rent Law Although renting a property may seem straightforward, tenants need to be aware of their legal rights to avoid disputes or exploitation. Before you rent a property (either as an owner or as a tenant), you must look out for certain points that guarantee you a safe transaction. Since the rent rates and such other details vary in each state, here. India Rent Law.
From medium.com
Legal Considerations for Landlords Rent Control Act and Eviction Laws in India by Free Law India Rent Law The act aims to promote rental housing and balance the interests of landlords and tenants by equitably and clearly defining their. Since the rent rates and such other details vary in each state, here are the guidelines you can follow, as mandated by the ministry of housing and urban affairs. Rent agreements are contracts between property owners and tenants and. India Rent Law.
From www.nobroker.in
Indian Laws On Rent And Eviction for Owners And Tenants India Rent Law Since the rent rates and such other details vary in each state, here are the guidelines you can follow, as mandated by the ministry of housing and urban affairs. The act aims to promote rental housing and balance the interests of landlords and tenants by equitably and clearly defining their. Before you rent a property (either as an owner or. India Rent Law.
From www.tesz.in
How do I extend a rent agreement in India? India Rent Law Although renting a property may seem straightforward, tenants need to be aware of their legal rights to avoid disputes or exploitation. Rent agreements are contracts between property owners and tenants and are regulated by the indian contract act, the transfer of property. The model law requires landlords and tenants to sign a written contract setting out the rent, lease term,. India Rent Law.