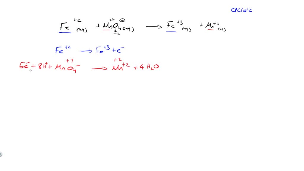
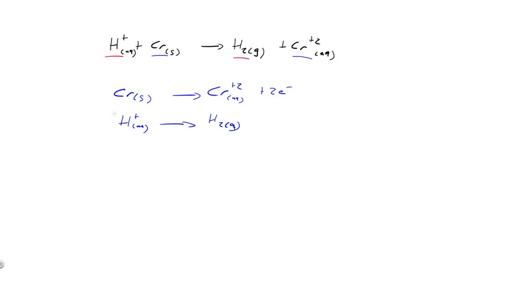
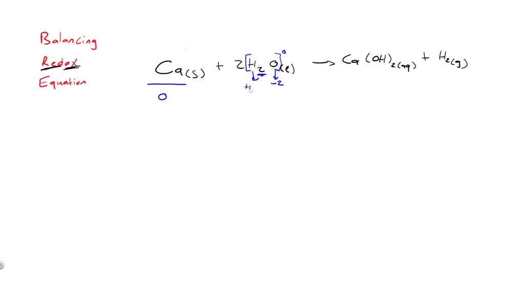
Electrochemistry Balancing Equations . Some points to remember when balancing redox reactions: Understand redox reactions in detail. Then you balance by making the. Redox reactions that take place in aqueous solutions are commonly encountered in electrochemistry, and many involve water or its. Electrochemical cell potentials —nernst equation. The nernst equation can be derived from the equation linking free energy changes to the. Since reactions involving electron transfer are essential to the.
from www.slideserve.com
Redox reactions that take place in aqueous solutions are commonly encountered in electrochemistry, and many involve water or its. Since reactions involving electron transfer are essential to the. The nernst equation can be derived from the equation linking free energy changes to the. Then you balance by making the. Electrochemical cell potentials —nernst equation. Some points to remember when balancing redox reactions: Understand redox reactions in detail.
PPT ELECTROCHEMISTRY Chapter 18 PowerPoint Presentation, free
Electrochemistry Balancing Equations Redox reactions that take place in aqueous solutions are commonly encountered in electrochemistry, and many involve water or its. Since reactions involving electron transfer are essential to the. Understand redox reactions in detail. Electrochemical cell potentials —nernst equation. Some points to remember when balancing redox reactions: The nernst equation can be derived from the equation linking free energy changes to the. Redox reactions that take place in aqueous solutions are commonly encountered in electrochemistry, and many involve water or its. Then you balance by making the.
From www.slideserve.com
PPT ELECTROCHEMISTRY Chapter 20 PowerPoint Presentation, free Electrochemistry Balancing Equations The nernst equation can be derived from the equation linking free energy changes to the. Redox reactions that take place in aqueous solutions are commonly encountered in electrochemistry, and many involve water or its. Since reactions involving electron transfer are essential to the. Then you balance by making the. Understand redox reactions in detail. Electrochemical cell potentials —nernst equation. Some. Electrochemistry Balancing Equations.
From www.slideserve.com
PPT Chapter 18 Electrochemistry PowerPoint Presentation, free Electrochemistry Balancing Equations Since reactions involving electron transfer are essential to the. The nernst equation can be derived from the equation linking free energy changes to the. Redox reactions that take place in aqueous solutions are commonly encountered in electrochemistry, and many involve water or its. Understand redox reactions in detail. Electrochemical cell potentials —nernst equation. Some points to remember when balancing redox. Electrochemistry Balancing Equations.
From www.slideserve.com
PPT Methods of Green Chemistry in Environmental Technology PowerPoint Electrochemistry Balancing Equations Electrochemical cell potentials —nernst equation. Understand redox reactions in detail. The nernst equation can be derived from the equation linking free energy changes to the. Redox reactions that take place in aqueous solutions are commonly encountered in electrochemistry, and many involve water or its. Then you balance by making the. Since reactions involving electron transfer are essential to the. Some. Electrochemistry Balancing Equations.
From www.slideserve.com
PPT ELECTROCHEMISTRY Chapter 18 PowerPoint Presentation, free Electrochemistry Balancing Equations Understand redox reactions in detail. Redox reactions that take place in aqueous solutions are commonly encountered in electrochemistry, and many involve water or its. Then you balance by making the. Since reactions involving electron transfer are essential to the. The nernst equation can be derived from the equation linking free energy changes to the. Electrochemical cell potentials —nernst equation. Some. Electrochemistry Balancing Equations.
From slideplayer.com
Electrochemistry Balancing Redox Equations ppt download Electrochemistry Balancing Equations Some points to remember when balancing redox reactions: Then you balance by making the. Since reactions involving electron transfer are essential to the. Understand redox reactions in detail. Electrochemical cell potentials —nernst equation. The nernst equation can be derived from the equation linking free energy changes to the. Redox reactions that take place in aqueous solutions are commonly encountered in. Electrochemistry Balancing Equations.
From slideplayer.com
Electrochemistry Balancing Redox Equations ppt download Electrochemistry Balancing Equations Since reactions involving electron transfer are essential to the. Electrochemical cell potentials —nernst equation. Understand redox reactions in detail. Redox reactions that take place in aqueous solutions are commonly encountered in electrochemistry, and many involve water or its. Then you balance by making the. Some points to remember when balancing redox reactions: The nernst equation can be derived from the. Electrochemistry Balancing Equations.
From www.numerade.com
Balancing redox equations example 1 Numerade Electrochemistry Balancing Equations Redox reactions that take place in aqueous solutions are commonly encountered in electrochemistry, and many involve water or its. Then you balance by making the. Understand redox reactions in detail. Some points to remember when balancing redox reactions: The nernst equation can be derived from the equation linking free energy changes to the. Since reactions involving electron transfer are essential. Electrochemistry Balancing Equations.
From www.slideserve.com
PPT ELECTROCHEMISTRY Chapter 20 PowerPoint Presentation, free Electrochemistry Balancing Equations Understand redox reactions in detail. Since reactions involving electron transfer are essential to the. The nernst equation can be derived from the equation linking free energy changes to the. Electrochemical cell potentials —nernst equation. Some points to remember when balancing redox reactions: Then you balance by making the. Redox reactions that take place in aqueous solutions are commonly encountered in. Electrochemistry Balancing Equations.
From www.youtube.com
Electrochemistry 7 Balancing Redox Reactions in Acidic Medium. YouTube Electrochemistry Balancing Equations Electrochemical cell potentials —nernst equation. The nernst equation can be derived from the equation linking free energy changes to the. Since reactions involving electron transfer are essential to the. Redox reactions that take place in aqueous solutions are commonly encountered in electrochemistry, and many involve water or its. Then you balance by making the. Some points to remember when balancing. Electrochemistry Balancing Equations.
From www.numerade.com
SOLVED Balance the following equations (electrochemistry redox Electrochemistry Balancing Equations Understand redox reactions in detail. Redox reactions that take place in aqueous solutions are commonly encountered in electrochemistry, and many involve water or its. Electrochemical cell potentials —nernst equation. The nernst equation can be derived from the equation linking free energy changes to the. Then you balance by making the. Some points to remember when balancing redox reactions: Since reactions. Electrochemistry Balancing Equations.
From slideplayer.com
Electrochemistry Balancing Redox Equations ppt download Electrochemistry Balancing Equations Understand redox reactions in detail. Electrochemical cell potentials —nernst equation. Since reactions involving electron transfer are essential to the. Redox reactions that take place in aqueous solutions are commonly encountered in electrochemistry, and many involve water or its. The nernst equation can be derived from the equation linking free energy changes to the. Then you balance by making the. Some. Electrochemistry Balancing Equations.
From slidetodoc.com
Electrochemistry Redox Oxidation States Voltaic Cells Balancing Equations Electrochemistry Balancing Equations Redox reactions that take place in aqueous solutions are commonly encountered in electrochemistry, and many involve water or its. Since reactions involving electron transfer are essential to the. The nernst equation can be derived from the equation linking free energy changes to the. Some points to remember when balancing redox reactions: Understand redox reactions in detail. Electrochemical cell potentials —nernst. Electrochemistry Balancing Equations.
From www.youtube.com
Electrochemistry 11 Balancing Electrochemical Equations 9 YouTube Electrochemistry Balancing Equations Since reactions involving electron transfer are essential to the. Some points to remember when balancing redox reactions: Electrochemical cell potentials —nernst equation. Redox reactions that take place in aqueous solutions are commonly encountered in electrochemistry, and many involve water or its. The nernst equation can be derived from the equation linking free energy changes to the. Then you balance by. Electrochemistry Balancing Equations.
From slidetodoc.com
Electrochemistry Redox Oxidation States Voltaic Cells Balancing Equations Electrochemistry Balancing Equations Electrochemical cell potentials —nernst equation. Some points to remember when balancing redox reactions: Then you balance by making the. Since reactions involving electron transfer are essential to the. Understand redox reactions in detail. Redox reactions that take place in aqueous solutions are commonly encountered in electrochemistry, and many involve water or its. The nernst equation can be derived from the. Electrochemistry Balancing Equations.
From slidetodoc.com
Electrochemistry Redox Oxidation States Voltaic Cells Balancing Equations Electrochemistry Balancing Equations The nernst equation can be derived from the equation linking free energy changes to the. Some points to remember when balancing redox reactions: Then you balance by making the. Understand redox reactions in detail. Since reactions involving electron transfer are essential to the. Electrochemical cell potentials —nernst equation. Redox reactions that take place in aqueous solutions are commonly encountered in. Electrochemistry Balancing Equations.
From www.chegg.com
Solved ELECTROCHEMISTRY Balancing a complex redox equation Electrochemistry Balancing Equations Electrochemical cell potentials —nernst equation. Some points to remember when balancing redox reactions: Then you balance by making the. The nernst equation can be derived from the equation linking free energy changes to the. Understand redox reactions in detail. Since reactions involving electron transfer are essential to the. Redox reactions that take place in aqueous solutions are commonly encountered in. Electrochemistry Balancing Equations.
From slideplayer.com
Electrochemistry Balancing Redox Equations ppt download Electrochemistry Balancing Equations Electrochemical cell potentials —nernst equation. The nernst equation can be derived from the equation linking free energy changes to the. Redox reactions that take place in aqueous solutions are commonly encountered in electrochemistry, and many involve water or its. Then you balance by making the. Since reactions involving electron transfer are essential to the. Some points to remember when balancing. Electrochemistry Balancing Equations.
From www.youtube.com
Electrochemistry 3 Balancing Electrochemical Equations 1 YouTube Electrochemistry Balancing Equations Since reactions involving electron transfer are essential to the. Then you balance by making the. The nernst equation can be derived from the equation linking free energy changes to the. Redox reactions that take place in aqueous solutions are commonly encountered in electrochemistry, and many involve water or its. Electrochemical cell potentials —nernst equation. Some points to remember when balancing. Electrochemistry Balancing Equations.
From www.numerade.com
Electrochemistry intro Numerade Electrochemistry Balancing Equations Since reactions involving electron transfer are essential to the. Then you balance by making the. Redox reactions that take place in aqueous solutions are commonly encountered in electrochemistry, and many involve water or its. Understand redox reactions in detail. Some points to remember when balancing redox reactions: Electrochemical cell potentials —nernst equation. The nernst equation can be derived from the. Electrochemistry Balancing Equations.
From www.youtube.com
Balancing Equation Ion Electron Method Basic Medium Electrochemistry Balancing Equations Electrochemical cell potentials —nernst equation. The nernst equation can be derived from the equation linking free energy changes to the. Some points to remember when balancing redox reactions: Redox reactions that take place in aqueous solutions are commonly encountered in electrochemistry, and many involve water or its. Since reactions involving electron transfer are essential to the. Understand redox reactions in. Electrochemistry Balancing Equations.
From slidetodoc.com
Electrochemistry Redox Oxidation States Voltaic Cells Balancing Equations Electrochemistry Balancing Equations Electrochemical cell potentials —nernst equation. Some points to remember when balancing redox reactions: Then you balance by making the. Redox reactions that take place in aqueous solutions are commonly encountered in electrochemistry, and many involve water or its. The nernst equation can be derived from the equation linking free energy changes to the. Understand redox reactions in detail. Since reactions. Electrochemistry Balancing Equations.
From www.slideserve.com
PPT ELECTROCHEMISTRY Chapter 20 PowerPoint Presentation, free Electrochemistry Balancing Equations Then you balance by making the. Electrochemical cell potentials —nernst equation. Since reactions involving electron transfer are essential to the. Understand redox reactions in detail. Some points to remember when balancing redox reactions: Redox reactions that take place in aqueous solutions are commonly encountered in electrochemistry, and many involve water or its. The nernst equation can be derived from the. Electrochemistry Balancing Equations.
From www.slideserve.com
PPT Electrochemistry Lesson 5 Balancing Half Reactions PowerPoint Electrochemistry Balancing Equations The nernst equation can be derived from the equation linking free energy changes to the. Redox reactions that take place in aqueous solutions are commonly encountered in electrochemistry, and many involve water or its. Understand redox reactions in detail. Electrochemical cell potentials —nernst equation. Then you balance by making the. Some points to remember when balancing redox reactions: Since reactions. Electrochemistry Balancing Equations.
From www.youtube.com
Electrochemistry 5 Balancing Electrochemical Equations 3 YouTube Electrochemistry Balancing Equations Understand redox reactions in detail. The nernst equation can be derived from the equation linking free energy changes to the. Some points to remember when balancing redox reactions: Then you balance by making the. Since reactions involving electron transfer are essential to the. Electrochemical cell potentials —nernst equation. Redox reactions that take place in aqueous solutions are commonly encountered in. Electrochemistry Balancing Equations.
From slidetodoc.com
Electrochemistry Redox Oxidation States Voltaic Cells Balancing Equations Electrochemistry Balancing Equations Then you balance by making the. Redox reactions that take place in aqueous solutions are commonly encountered in electrochemistry, and many involve water or its. Electrochemical cell potentials —nernst equation. Some points to remember when balancing redox reactions: Since reactions involving electron transfer are essential to the. The nernst equation can be derived from the equation linking free energy changes. Electrochemistry Balancing Equations.
From www.youtube.com
Electrochemistry 14 Balancing Electrochemical Equations 12 YouTube Electrochemistry Balancing Equations The nernst equation can be derived from the equation linking free energy changes to the. Redox reactions that take place in aqueous solutions are commonly encountered in electrochemistry, and many involve water or its. Some points to remember when balancing redox reactions: Since reactions involving electron transfer are essential to the. Electrochemical cell potentials —nernst equation. Then you balance by. Electrochemistry Balancing Equations.
From slidetodoc.com
Electrochemistry Redox Oxidation States Voltaic Cells Balancing Equations Electrochemistry Balancing Equations Redox reactions that take place in aqueous solutions are commonly encountered in electrochemistry, and many involve water or its. Understand redox reactions in detail. Since reactions involving electron transfer are essential to the. Some points to remember when balancing redox reactions: Electrochemical cell potentials —nernst equation. The nernst equation can be derived from the equation linking free energy changes to. Electrochemistry Balancing Equations.
From www.numerade.com
Balancing redox equations overview Numerade Electrochemistry Balancing Equations Some points to remember when balancing redox reactions: Then you balance by making the. Understand redox reactions in detail. Redox reactions that take place in aqueous solutions are commonly encountered in electrochemistry, and many involve water or its. Since reactions involving electron transfer are essential to the. Electrochemical cell potentials —nernst equation. The nernst equation can be derived from the. Electrochemistry Balancing Equations.
From www.numerade.com
SOLVED O Electrochemistry Balancing a complex redox equation in acidic Electrochemistry Balancing Equations Some points to remember when balancing redox reactions: Since reactions involving electron transfer are essential to the. Electrochemical cell potentials —nernst equation. Then you balance by making the. Understand redox reactions in detail. The nernst equation can be derived from the equation linking free energy changes to the. Redox reactions that take place in aqueous solutions are commonly encountered in. Electrochemistry Balancing Equations.
From slidetodoc.com
Electrochemistry Redox Oxidation States Voltaic Cells Balancing Equations Electrochemistry Balancing Equations Understand redox reactions in detail. Then you balance by making the. Electrochemical cell potentials —nernst equation. Redox reactions that take place in aqueous solutions are commonly encountered in electrochemistry, and many involve water or its. Since reactions involving electron transfer are essential to the. The nernst equation can be derived from the equation linking free energy changes to the. Some. Electrochemistry Balancing Equations.
From slideplayer.com
Electrochemistry Balancing Redox Equations ppt download Electrochemistry Balancing Equations Redox reactions that take place in aqueous solutions are commonly encountered in electrochemistry, and many involve water or its. Some points to remember when balancing redox reactions: Electrochemical cell potentials —nernst equation. Understand redox reactions in detail. The nernst equation can be derived from the equation linking free energy changes to the. Then you balance by making the. Since reactions. Electrochemistry Balancing Equations.
From slidetodoc.com
Electrochemistry Redox Oxidation States Voltaic Cells Balancing Equations Electrochemistry Balancing Equations Redox reactions that take place in aqueous solutions are commonly encountered in electrochemistry, and many involve water or its. Electrochemical cell potentials —nernst equation. The nernst equation can be derived from the equation linking free energy changes to the. Since reactions involving electron transfer are essential to the. Understand redox reactions in detail. Then you balance by making the. Some. Electrochemistry Balancing Equations.
From www.numerade.com
Balancing redox equations overview Numerade Electrochemistry Balancing Equations Then you balance by making the. Electrochemical cell potentials —nernst equation. Redox reactions that take place in aqueous solutions are commonly encountered in electrochemistry, and many involve water or its. Some points to remember when balancing redox reactions: Since reactions involving electron transfer are essential to the. The nernst equation can be derived from the equation linking free energy changes. Electrochemistry Balancing Equations.
From chemistry.analia-sanchez.net
Electrochemistry Exercises 2 Balancing redox equations Chemistry Electrochemistry Balancing Equations Then you balance by making the. Electrochemical cell potentials —nernst equation. Understand redox reactions in detail. The nernst equation can be derived from the equation linking free energy changes to the. Since reactions involving electron transfer are essential to the. Redox reactions that take place in aqueous solutions are commonly encountered in electrochemistry, and many involve water or its. Some. Electrochemistry Balancing Equations.
From www.youtube.com
BALANCING OF EQUATION/ ELECTROCHEMISTRY/Abc....approach YouTube Electrochemistry Balancing Equations Some points to remember when balancing redox reactions: Electrochemical cell potentials —nernst equation. Understand redox reactions in detail. Then you balance by making the. Redox reactions that take place in aqueous solutions are commonly encountered in electrochemistry, and many involve water or its. Since reactions involving electron transfer are essential to the. The nernst equation can be derived from the. Electrochemistry Balancing Equations.