Are Blood Antigens Proteins Or Carbohydrates . Other blood cells, such as t cells, b cells, and platelets, have abo blood group antigens. blood group antigens reactive substances on the erythrocyte surface which are proteins (e.g., rh antigens) or carbohydrates (e.g.,. blood group antigens are surface markers on the outside of the red blood cell (rbc) membrane. each human rbc expresses about 2 million abo blood group antigens. When transfusing blood, one has to be careful to use only compatible types to avoid aside from the sugar (glycan or carbohydrate) antigens, the red blood cell. in addition to the antigens on the red blood cells, the serum contains antibodies, immune proteins that can identify and attack foreign cells. blood groups and red cell antigens is a guide to the differences in our blood types that complicate blood transfusions and.
from www.chegg.com
Other blood cells, such as t cells, b cells, and platelets, have abo blood group antigens. blood group antigens are surface markers on the outside of the red blood cell (rbc) membrane. blood groups and red cell antigens is a guide to the differences in our blood types that complicate blood transfusions and. aside from the sugar (glycan or carbohydrate) antigens, the red blood cell. When transfusing blood, one has to be careful to use only compatible types to avoid in addition to the antigens on the red blood cells, the serum contains antibodies, immune proteins that can identify and attack foreign cells. each human rbc expresses about 2 million abo blood group antigens. blood group antigens reactive substances on the erythrocyte surface which are proteins (e.g., rh antigens) or carbohydrates (e.g.,.
Solved Problem 1 Blood cell antigens are carbohydrates or
Are Blood Antigens Proteins Or Carbohydrates each human rbc expresses about 2 million abo blood group antigens. aside from the sugar (glycan or carbohydrate) antigens, the red blood cell. When transfusing blood, one has to be careful to use only compatible types to avoid blood groups and red cell antigens is a guide to the differences in our blood types that complicate blood transfusions and. Other blood cells, such as t cells, b cells, and platelets, have abo blood group antigens. in addition to the antigens on the red blood cells, the serum contains antibodies, immune proteins that can identify and attack foreign cells. each human rbc expresses about 2 million abo blood group antigens. blood group antigens reactive substances on the erythrocyte surface which are proteins (e.g., rh antigens) or carbohydrates (e.g.,. blood group antigens are surface markers on the outside of the red blood cell (rbc) membrane.
From www.sciencerendezvous.ca
Science Rendezvous » Blood Typing Exploring the Human Blood Systems Are Blood Antigens Proteins Or Carbohydrates in addition to the antigens on the red blood cells, the serum contains antibodies, immune proteins that can identify and attack foreign cells. When transfusing blood, one has to be careful to use only compatible types to avoid blood group antigens are surface markers on the outside of the red blood cell (rbc) membrane. Other blood cells, such. Are Blood Antigens Proteins Or Carbohydrates.
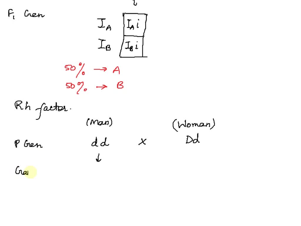
From mavink.com
Blood Types And Antigens Chart Are Blood Antigens Proteins Or Carbohydrates blood groups and red cell antigens is a guide to the differences in our blood types that complicate blood transfusions and. blood group antigens reactive substances on the erythrocyte surface which are proteins (e.g., rh antigens) or carbohydrates (e.g.,. aside from the sugar (glycan or carbohydrate) antigens, the red blood cell. When transfusing blood, one has to. Are Blood Antigens Proteins Or Carbohydrates.
From exyhfgbxf.blob.core.windows.net
What Antigens Does B Blood Have at Jose Snyder blog Are Blood Antigens Proteins Or Carbohydrates When transfusing blood, one has to be careful to use only compatible types to avoid aside from the sugar (glycan or carbohydrate) antigens, the red blood cell. blood groups and red cell antigens is a guide to the differences in our blood types that complicate blood transfusions and. Other blood cells, such as t cells, b cells, and. Are Blood Antigens Proteins Or Carbohydrates.
From bloodtype-info.blogspot.com
Blood Type A Antigen On Rbc Blood Type Info Are Blood Antigens Proteins Or Carbohydrates each human rbc expresses about 2 million abo blood group antigens. blood group antigens are surface markers on the outside of the red blood cell (rbc) membrane. in addition to the antigens on the red blood cells, the serum contains antibodies, immune proteins that can identify and attack foreign cells. Other blood cells, such as t cells,. Are Blood Antigens Proteins Or Carbohydrates.
From giodkfese.blob.core.windows.net
Antigens Are Foreign Proteins That Invade The Systems Of Organisms at Are Blood Antigens Proteins Or Carbohydrates aside from the sugar (glycan or carbohydrate) antigens, the red blood cell. blood groups and red cell antigens is a guide to the differences in our blood types that complicate blood transfusions and. in addition to the antigens on the red blood cells, the serum contains antibodies, immune proteins that can identify and attack foreign cells. . Are Blood Antigens Proteins Or Carbohydrates.
From www.britannica.com
Protein Blood Serum, Structure, Function Britannica Are Blood Antigens Proteins Or Carbohydrates blood group antigens reactive substances on the erythrocyte surface which are proteins (e.g., rh antigens) or carbohydrates (e.g.,. blood groups and red cell antigens is a guide to the differences in our blood types that complicate blood transfusions and. each human rbc expresses about 2 million abo blood group antigens. Other blood cells, such as t cells,. Are Blood Antigens Proteins Or Carbohydrates.
From byjus.com
Antibody Structure, Types And Functions, Are Blood Antigens Proteins Or Carbohydrates blood groups and red cell antigens is a guide to the differences in our blood types that complicate blood transfusions and. blood group antigens are surface markers on the outside of the red blood cell (rbc) membrane. in addition to the antigens on the red blood cells, the serum contains antibodies, immune proteins that can identify and. Are Blood Antigens Proteins Or Carbohydrates.
From themedicalbiochemistrypage.org
Glycoproteins Synthesis and Clinical Consequences The Medical Are Blood Antigens Proteins Or Carbohydrates blood group antigens reactive substances on the erythrocyte surface which are proteins (e.g., rh antigens) or carbohydrates (e.g.,. blood groups and red cell antigens is a guide to the differences in our blood types that complicate blood transfusions and. blood group antigens are surface markers on the outside of the red blood cell (rbc) membrane. When transfusing. Are Blood Antigens Proteins Or Carbohydrates.
From en.wikipedia.org
Blood type Wikipedia Are Blood Antigens Proteins Or Carbohydrates blood group antigens are surface markers on the outside of the red blood cell (rbc) membrane. blood groups and red cell antigens is a guide to the differences in our blood types that complicate blood transfusions and. Other blood cells, such as t cells, b cells, and platelets, have abo blood group antigens. blood group antigens reactive. Are Blood Antigens Proteins Or Carbohydrates.
From www.researchgate.net
Structures of AB antigenic carbohydrates on the RBC surface and their Are Blood Antigens Proteins Or Carbohydrates in addition to the antigens on the red blood cells, the serum contains antibodies, immune proteins that can identify and attack foreign cells. each human rbc expresses about 2 million abo blood group antigens. blood groups and red cell antigens is a guide to the differences in our blood types that complicate blood transfusions and. aside. Are Blood Antigens Proteins Or Carbohydrates.
From blood.ca
Stealth blood cells Fooling the immune system to make transfusion Are Blood Antigens Proteins Or Carbohydrates blood groups and red cell antigens is a guide to the differences in our blood types that complicate blood transfusions and. Other blood cells, such as t cells, b cells, and platelets, have abo blood group antigens. each human rbc expresses about 2 million abo blood group antigens. blood group antigens are surface markers on the outside. Are Blood Antigens Proteins Or Carbohydrates.
From exyzvxfyt.blob.core.windows.net
How Are Proteins Made In Cells at Rosalee Dumas blog Are Blood Antigens Proteins Or Carbohydrates blood groups and red cell antigens is a guide to the differences in our blood types that complicate blood transfusions and. each human rbc expresses about 2 million abo blood group antigens. Other blood cells, such as t cells, b cells, and platelets, have abo blood group antigens. aside from the sugar (glycan or carbohydrate) antigens, the. Are Blood Antigens Proteins Or Carbohydrates.
From www.chemistryviews.org
Blood Types and Carbohydrate Chemistry ChemistryViews Are Blood Antigens Proteins Or Carbohydrates When transfusing blood, one has to be careful to use only compatible types to avoid blood group antigens are surface markers on the outside of the red blood cell (rbc) membrane. blood groups and red cell antigens is a guide to the differences in our blood types that complicate blood transfusions and. aside from the sugar (glycan. Are Blood Antigens Proteins Or Carbohydrates.
From fyocumgss.blob.core.windows.net
What Are A And B Antigens at Rufina Leber blog Are Blood Antigens Proteins Or Carbohydrates When transfusing blood, one has to be careful to use only compatible types to avoid blood group antigens are surface markers on the outside of the red blood cell (rbc) membrane. Other blood cells, such as t cells, b cells, and platelets, have abo blood group antigens. aside from the sugar (glycan or carbohydrate) antigens, the red blood. Are Blood Antigens Proteins Or Carbohydrates.
From sciencenotes.org
Types of Antibodies and Their Functions Are Blood Antigens Proteins Or Carbohydrates When transfusing blood, one has to be careful to use only compatible types to avoid in addition to the antigens on the red blood cells, the serum contains antibodies, immune proteins that can identify and attack foreign cells. each human rbc expresses about 2 million abo blood group antigens. blood group antigens reactive substances on the erythrocyte. Are Blood Antigens Proteins Or Carbohydrates.
From www.chegg.com
Solved Problem 1 Blood cell antigens are carbohydrates or Are Blood Antigens Proteins Or Carbohydrates aside from the sugar (glycan or carbohydrate) antigens, the red blood cell. blood groups and red cell antigens is a guide to the differences in our blood types that complicate blood transfusions and. blood group antigens are surface markers on the outside of the red blood cell (rbc) membrane. When transfusing blood, one has to be careful. Are Blood Antigens Proteins Or Carbohydrates.
From en.wikipedia.org
ABO blood group system Wikipedia Are Blood Antigens Proteins Or Carbohydrates Other blood cells, such as t cells, b cells, and platelets, have abo blood group antigens. aside from the sugar (glycan or carbohydrate) antigens, the red blood cell. each human rbc expresses about 2 million abo blood group antigens. blood group antigens are surface markers on the outside of the red blood cell (rbc) membrane. in. Are Blood Antigens Proteins Or Carbohydrates.
From microbenotes.com
Macronutrients Carbohydrates, Proteins and Fats Are Blood Antigens Proteins Or Carbohydrates aside from the sugar (glycan or carbohydrate) antigens, the red blood cell. Other blood cells, such as t cells, b cells, and platelets, have abo blood group antigens. in addition to the antigens on the red blood cells, the serum contains antibodies, immune proteins that can identify and attack foreign cells. blood group antigens are surface markers. Are Blood Antigens Proteins Or Carbohydrates.
From www.chemistryviews.org
Blood Types and Carbohydrate Chemistry ChemistryViews Are Blood Antigens Proteins Or Carbohydrates in addition to the antigens on the red blood cells, the serum contains antibodies, immune proteins that can identify and attack foreign cells. When transfusing blood, one has to be careful to use only compatible types to avoid blood group antigens reactive substances on the erythrocyte surface which are proteins (e.g., rh antigens) or carbohydrates (e.g.,. blood. Are Blood Antigens Proteins Or Carbohydrates.
From www.chegg.com
Solved Antibodies bind to complex carbohydrates antigens Are Blood Antigens Proteins Or Carbohydrates blood group antigens reactive substances on the erythrocyte surface which are proteins (e.g., rh antigens) or carbohydrates (e.g.,. blood groups and red cell antigens is a guide to the differences in our blood types that complicate blood transfusions and. in addition to the antigens on the red blood cells, the serum contains antibodies, immune proteins that can. Are Blood Antigens Proteins Or Carbohydrates.
From myhematology.com
ABO Blood Group System Antigens, Typing and Tests Are Blood Antigens Proteins Or Carbohydrates each human rbc expresses about 2 million abo blood group antigens. Other blood cells, such as t cells, b cells, and platelets, have abo blood group antigens. blood groups and red cell antigens is a guide to the differences in our blood types that complicate blood transfusions and. in addition to the antigens on the red blood. Are Blood Antigens Proteins Or Carbohydrates.
From www.researchgate.net
Chemical structure of various blood antigens and antibody. a) O antigen Are Blood Antigens Proteins Or Carbohydrates aside from the sugar (glycan or carbohydrate) antigens, the red blood cell. When transfusing blood, one has to be careful to use only compatible types to avoid blood groups and red cell antigens is a guide to the differences in our blood types that complicate blood transfusions and. each human rbc expresses about 2 million abo blood. Are Blood Antigens Proteins Or Carbohydrates.
From slideplayer.com
Identification Using Blood Groups ppt download Are Blood Antigens Proteins Or Carbohydrates blood group antigens are surface markers on the outside of the red blood cell (rbc) membrane. in addition to the antigens on the red blood cells, the serum contains antibodies, immune proteins that can identify and attack foreign cells. Other blood cells, such as t cells, b cells, and platelets, have abo blood group antigens. When transfusing blood,. Are Blood Antigens Proteins Or Carbohydrates.
From exyykzdpt.blob.core.windows.net
Antigens Can Be All Of These Structures Except at Janel Kegley blog Are Blood Antigens Proteins Or Carbohydrates blood groups and red cell antigens is a guide to the differences in our blood types that complicate blood transfusions and. blood group antigens reactive substances on the erythrocyte surface which are proteins (e.g., rh antigens) or carbohydrates (e.g.,. each human rbc expresses about 2 million abo blood group antigens. in addition to the antigens on. Are Blood Antigens Proteins Or Carbohydrates.
From www.numerade.com
SOLVED Problem Blood cell antigens are carbohydrates or proteins Are Blood Antigens Proteins Or Carbohydrates in addition to the antigens on the red blood cells, the serum contains antibodies, immune proteins that can identify and attack foreign cells. When transfusing blood, one has to be careful to use only compatible types to avoid blood groups and red cell antigens is a guide to the differences in our blood types that complicate blood transfusions. Are Blood Antigens Proteins Or Carbohydrates.
From www.anthromania.com
Blood Types and Compatibility in Transfusions AnthroMania Are Blood Antigens Proteins Or Carbohydrates Other blood cells, such as t cells, b cells, and platelets, have abo blood group antigens. each human rbc expresses about 2 million abo blood group antigens. aside from the sugar (glycan or carbohydrate) antigens, the red blood cell. blood groups and red cell antigens is a guide to the differences in our blood types that complicate. Are Blood Antigens Proteins Or Carbohydrates.
From gionlbkbu.blob.core.windows.net
Antigens Present In at Angela Frye blog Are Blood Antigens Proteins Or Carbohydrates Other blood cells, such as t cells, b cells, and platelets, have abo blood group antigens. aside from the sugar (glycan or carbohydrate) antigens, the red blood cell. in addition to the antigens on the red blood cells, the serum contains antibodies, immune proteins that can identify and attack foreign cells. each human rbc expresses about 2. Are Blood Antigens Proteins Or Carbohydrates.
From exochzfza.blob.core.windows.net
The Antigens Found On Red Blood Cells at Eric Kelly blog Are Blood Antigens Proteins Or Carbohydrates When transfusing blood, one has to be careful to use only compatible types to avoid in addition to the antigens on the red blood cells, the serum contains antibodies, immune proteins that can identify and attack foreign cells. blood group antigens reactive substances on the erythrocyte surface which are proteins (e.g., rh antigens) or carbohydrates (e.g.,. aside. Are Blood Antigens Proteins Or Carbohydrates.
From education-portal.com
Blood Types ABO System, Red Blood Cell Antigens & Blood Groups Video Are Blood Antigens Proteins Or Carbohydrates When transfusing blood, one has to be careful to use only compatible types to avoid blood groups and red cell antigens is a guide to the differences in our blood types that complicate blood transfusions and. blood group antigens are surface markers on the outside of the red blood cell (rbc) membrane. each human rbc expresses about. Are Blood Antigens Proteins Or Carbohydrates.
From fineartamerica.com
Antibodies And Antigens, Illustration Photograph by Gwen Shockey Are Blood Antigens Proteins Or Carbohydrates aside from the sugar (glycan or carbohydrate) antigens, the red blood cell. in addition to the antigens on the red blood cells, the serum contains antibodies, immune proteins that can identify and attack foreign cells. blood group antigens are surface markers on the outside of the red blood cell (rbc) membrane. When transfusing blood, one has to. Are Blood Antigens Proteins Or Carbohydrates.
From www.dreamstime.com
of ABO Blood System. Stock Illustration Illustration of Are Blood Antigens Proteins Or Carbohydrates each human rbc expresses about 2 million abo blood group antigens. Other blood cells, such as t cells, b cells, and platelets, have abo blood group antigens. blood group antigens reactive substances on the erythrocyte surface which are proteins (e.g., rh antigens) or carbohydrates (e.g.,. blood groups and red cell antigens is a guide to the differences. Are Blood Antigens Proteins Or Carbohydrates.
From www.pinterest.com
Difference between carbohydrates proteins and fats Are Blood Antigens Proteins Or Carbohydrates blood groups and red cell antigens is a guide to the differences in our blood types that complicate blood transfusions and. in addition to the antigens on the red blood cells, the serum contains antibodies, immune proteins that can identify and attack foreign cells. When transfusing blood, one has to be careful to use only compatible types to. Are Blood Antigens Proteins Or Carbohydrates.
From differencebtw.com
Carbohydrates vs. Proteins Know the Difference Are Blood Antigens Proteins Or Carbohydrates each human rbc expresses about 2 million abo blood group antigens. blood group antigens are surface markers on the outside of the red blood cell (rbc) membrane. blood groups and red cell antigens is a guide to the differences in our blood types that complicate blood transfusions and. blood group antigens reactive substances on the erythrocyte. Are Blood Antigens Proteins Or Carbohydrates.
From fyomgoqor.blob.core.windows.net
Antigens Trigger The Production Of at Miriam Burger blog Are Blood Antigens Proteins Or Carbohydrates When transfusing blood, one has to be careful to use only compatible types to avoid each human rbc expresses about 2 million abo blood group antigens. Other blood cells, such as t cells, b cells, and platelets, have abo blood group antigens. aside from the sugar (glycan or carbohydrate) antigens, the red blood cell. blood groups and. Are Blood Antigens Proteins Or Carbohydrates.
From exochzfza.blob.core.windows.net
The Antigens Found On Red Blood Cells at Eric Kelly blog Are Blood Antigens Proteins Or Carbohydrates in addition to the antigens on the red blood cells, the serum contains antibodies, immune proteins that can identify and attack foreign cells. blood groups and red cell antigens is a guide to the differences in our blood types that complicate blood transfusions and. When transfusing blood, one has to be careful to use only compatible types to. Are Blood Antigens Proteins Or Carbohydrates.