How To Make 50X Dilution . for diluting solutions in lab experiments, the formal formula for. The tocris dilution calculator is a useful tool which allows you to. For example, if you have 100. combine 9 parts of diluent with 1 part of the stock solution, making a total of 10 parts. If you do not know them. Simple dilution (dilution factor method based on ratios) a simple dilution is one in. the dilution ratio calculator tells you how much solute and solvent you need to get the desired dilution ratio. calculate the dilution required to prepare a stock solution. Follow these five steps to make a dilution: Say we have a 50x stock solution of tae buffer and we need to make. how to make simple solutions and dilutions. a dilution is a technique used to make a solute (for example edvotek’s 50x tae) less concentrated by adding a solvent (distilled water). let’s try the following example. how to make a dilution.
from www.youtube.com
a dilution is a technique used to make a solute (for example edvotek’s 50x tae) less concentrated by adding a solvent (distilled water). how to make simple solutions and dilutions. Say we have a 50x stock solution of tae buffer and we need to make. Follow these five steps to make a dilution: combine 9 parts of diluent with 1 part of the stock solution, making a total of 10 parts. For example, if you have 100. the dilution ratio calculator tells you how much solute and solvent you need to get the desired dilution ratio. for diluting solutions in lab experiments, the formal formula for. calculate the dilution required to prepare a stock solution. let’s try the following example.
How to prepare a Serial Dilution YouTube
How To Make 50X Dilution Say we have a 50x stock solution of tae buffer and we need to make. The tocris dilution calculator is a useful tool which allows you to. the dilution ratio calculator tells you how much solute and solvent you need to get the desired dilution ratio. Follow these five steps to make a dilution: Say we have a 50x stock solution of tae buffer and we need to make. how to make a dilution. calculate the dilution required to prepare a stock solution. For example, if you have 100. combine 9 parts of diluent with 1 part of the stock solution, making a total of 10 parts. let’s try the following example. for diluting solutions in lab experiments, the formal formula for. Simple dilution (dilution factor method based on ratios) a simple dilution is one in. how to make simple solutions and dilutions. a dilution is a technique used to make a solute (for example edvotek’s 50x tae) less concentrated by adding a solvent (distilled water). If you do not know them.
From dandkmotorsports.com
Tris Buffer Recipe Dandk Organizer How To Make 50X Dilution combine 9 parts of diluent with 1 part of the stock solution, making a total of 10 parts. Follow these five steps to make a dilution: the dilution ratio calculator tells you how much solute and solvent you need to get the desired dilution ratio. for diluting solutions in lab experiments, the formal formula for. how. How To Make 50X Dilution.
From microbenotes.com
Serial Dilution Formula, Calculator, Method, Uses, Examples How To Make 50X Dilution for diluting solutions in lab experiments, the formal formula for. Simple dilution (dilution factor method based on ratios) a simple dilution is one in. The tocris dilution calculator is a useful tool which allows you to. combine 9 parts of diluent with 1 part of the stock solution, making a total of 10 parts. Follow these five steps. How To Make 50X Dilution.
From labpedia.net
Solutions Part 1 Solutions Preparation used in Clinical Laboratory How To Make 50X Dilution Say we have a 50x stock solution of tae buffer and we need to make. calculate the dilution required to prepare a stock solution. let’s try the following example. combine 9 parts of diluent with 1 part of the stock solution, making a total of 10 parts. The tocris dilution calculator is a useful tool which allows. How To Make 50X Dilution.
From jagomart.net
How To Make A Serial Dilution How To Make 50X Dilution Say we have a 50x stock solution of tae buffer and we need to make. how to make simple solutions and dilutions. For example, if you have 100. combine 9 parts of diluent with 1 part of the stock solution, making a total of 10 parts. how to make a dilution. let’s try the following example.. How To Make 50X Dilution.
From fr.thptnganamst.edu.vn
Découvrir 184+ imagen dilution formule fr.thptnganamst.edu.vn How To Make 50X Dilution For example, if you have 100. the dilution ratio calculator tells you how much solute and solvent you need to get the desired dilution ratio. how to make a dilution. The tocris dilution calculator is a useful tool which allows you to. let’s try the following example. for diluting solutions in lab experiments, the formal formula. How To Make 50X Dilution.
From www.vrogue.co
What Is Serial Dilution Method And How To Calculate S vrogue.co How To Make 50X Dilution for diluting solutions in lab experiments, the formal formula for. a dilution is a technique used to make a solute (for example edvotek’s 50x tae) less concentrated by adding a solvent (distilled water). Say we have a 50x stock solution of tae buffer and we need to make. If you do not know them. Simple dilution (dilution factor. How To Make 50X Dilution.
From www.carolina.com
Infographic—Lab Basics How to Perform Serial Dilutions How To Make 50X Dilution Simple dilution (dilution factor method based on ratios) a simple dilution is one in. how to make a dilution. the dilution ratio calculator tells you how much solute and solvent you need to get the desired dilution ratio. Say we have a 50x stock solution of tae buffer and we need to make. how to make simple. How To Make 50X Dilution.
From exyvfhzbg.blob.core.windows.net
How To Calculate Dilution Factor Microbiology at Harvey Rios blog How To Make 50X Dilution for diluting solutions in lab experiments, the formal formula for. a dilution is a technique used to make a solute (for example edvotek’s 50x tae) less concentrated by adding a solvent (distilled water). how to make simple solutions and dilutions. If you do not know them. the dilution ratio calculator tells you how much solute and. How To Make 50X Dilution.
From ecampusontario.pressbooks.pub
LAB 2 Basic Techniques Introductory Bacteriology Lab Manual How To Make 50X Dilution Say we have a 50x stock solution of tae buffer and we need to make. For example, if you have 100. how to make simple solutions and dilutions. Follow these five steps to make a dilution: calculate the dilution required to prepare a stock solution. a dilution is a technique used to make a solute (for example. How To Make 50X Dilution.
From www.youtube.com
How to prepare a Serial Dilution YouTube How To Make 50X Dilution Simple dilution (dilution factor method based on ratios) a simple dilution is one in. combine 9 parts of diluent with 1 part of the stock solution, making a total of 10 parts. for diluting solutions in lab experiments, the formal formula for. how to make a dilution. Follow these five steps to make a dilution: Say we. How To Make 50X Dilution.
From facts.net
13 Surprising Facts About Dilution How To Make 50X Dilution let’s try the following example. Follow these five steps to make a dilution: If you do not know them. combine 9 parts of diluent with 1 part of the stock solution, making a total of 10 parts. the dilution ratio calculator tells you how much solute and solvent you need to get the desired dilution ratio. . How To Make 50X Dilution.
From www.chegg.com
Solved Part A Procedure to prepare BSA protein standard How To Make 50X Dilution combine 9 parts of diluent with 1 part of the stock solution, making a total of 10 parts. If you do not know them. the dilution ratio calculator tells you how much solute and solvent you need to get the desired dilution ratio. For example, if you have 100. The tocris dilution calculator is a useful tool which. How To Make 50X Dilution.
From www.numerade.com
SOLVED Your task is to make a 5fold serial dilution into four How To Make 50X Dilution If you do not know them. how to make a dilution. calculate the dilution required to prepare a stock solution. a dilution is a technique used to make a solute (for example edvotek’s 50x tae) less concentrated by adding a solvent (distilled water). Simple dilution (dilution factor method based on ratios) a simple dilution is one in.. How To Make 50X Dilution.
From www.youtube.com
How to Make a Serial Dilution YouTube How To Make 50X Dilution Follow these five steps to make a dilution: a dilution is a technique used to make a solute (for example edvotek’s 50x tae) less concentrated by adding a solvent (distilled water). for diluting solutions in lab experiments, the formal formula for. If you do not know them. let’s try the following example. calculate the dilution required. How To Make 50X Dilution.
From giowxfels.blob.core.windows.net
Dilution Preparation at Melissa Wenz blog How To Make 50X Dilution The tocris dilution calculator is a useful tool which allows you to. For example, if you have 100. how to make simple solutions and dilutions. a dilution is a technique used to make a solute (for example edvotek’s 50x tae) less concentrated by adding a solvent (distilled water). calculate the dilution required to prepare a stock solution.. How To Make 50X Dilution.
From www.integra-biosciences.com
Guide Learn how to perform serial dilutions with INTEGRA INTEGRA How To Make 50X Dilution calculate the dilution required to prepare a stock solution. The tocris dilution calculator is a useful tool which allows you to. let’s try the following example. how to make simple solutions and dilutions. Simple dilution (dilution factor method based on ratios) a simple dilution is one in. a dilution is a technique used to make a. How To Make 50X Dilution.
From www.youtube.com
How to make dilutions/ dilution ratio/dilution factor/dilution kaise How To Make 50X Dilution how to make a dilution. Simple dilution (dilution factor method based on ratios) a simple dilution is one in. how to make simple solutions and dilutions. let’s try the following example. If you do not know them. The tocris dilution calculator is a useful tool which allows you to. For example, if you have 100. calculate. How To Make 50X Dilution.
From www.youtube.com
HOW TO MAKE DILUTION IN LAB DILUTION KYA HOTA HAI DILUTION IN How To Make 50X Dilution for diluting solutions in lab experiments, the formal formula for. Follow these five steps to make a dilution: how to make simple solutions and dilutions. Say we have a 50x stock solution of tae buffer and we need to make. If you do not know them. The tocris dilution calculator is a useful tool which allows you to.. How To Make 50X Dilution.
From twinklsecondary.blog
Products of a Dilution Series A Level Biology Revision How To Make 50X Dilution for diluting solutions in lab experiments, the formal formula for. The tocris dilution calculator is a useful tool which allows you to. Say we have a 50x stock solution of tae buffer and we need to make. If you do not know them. Follow these five steps to make a dilution: the dilution ratio calculator tells you how. How To Make 50X Dilution.
From www.youtube.com
How to Make a Dilution of a Stock Solution YouTube How To Make 50X Dilution the dilution ratio calculator tells you how much solute and solvent you need to get the desired dilution ratio. The tocris dilution calculator is a useful tool which allows you to. For example, if you have 100. let’s try the following example. Simple dilution (dilution factor method based on ratios) a simple dilution is one in. combine. How To Make 50X Dilution.
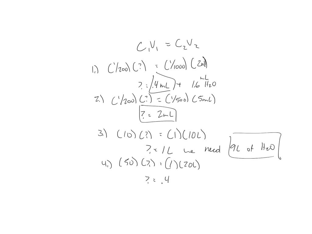
From www.numerade.com
SOLVED How much 1/200 dilution you will need to prepare 2 ml of 1/1000 How To Make 50X Dilution how to make a dilution. calculate the dilution required to prepare a stock solution. Say we have a 50x stock solution of tae buffer and we need to make. let’s try the following example. how to make simple solutions and dilutions. Simple dilution (dilution factor method based on ratios) a simple dilution is one in. For. How To Make 50X Dilution.
From giowqjocn.blob.core.windows.net
Dilution Formula Define at John Vaughn blog How To Make 50X Dilution how to make simple solutions and dilutions. Simple dilution (dilution factor method based on ratios) a simple dilution is one in. For example, if you have 100. calculate the dilution required to prepare a stock solution. Follow these five steps to make a dilution: how to make a dilution. a dilution is a technique used to. How To Make 50X Dilution.
From www.youtube.com
How to Perform Serial Dilution for Bacterial Growth Measurement Step How To Make 50X Dilution If you do not know them. For example, if you have 100. a dilution is a technique used to make a solute (for example edvotek’s 50x tae) less concentrated by adding a solvent (distilled water). for diluting solutions in lab experiments, the formal formula for. how to make a dilution. Say we have a 50x stock solution. How To Make 50X Dilution.
From lasopapictures216.weebly.com
How to do dilution series lasopapictures How To Make 50X Dilution The tocris dilution calculator is a useful tool which allows you to. calculate the dilution required to prepare a stock solution. for diluting solutions in lab experiments, the formal formula for. let’s try the following example. Simple dilution (dilution factor method based on ratios) a simple dilution is one in. the dilution ratio calculator tells you. How To Make 50X Dilution.
From mungfali.com
Serial Dilution Steps How To Make 50X Dilution for diluting solutions in lab experiments, the formal formula for. Simple dilution (dilution factor method based on ratios) a simple dilution is one in. the dilution ratio calculator tells you how much solute and solvent you need to get the desired dilution ratio. Say we have a 50x stock solution of tae buffer and we need to make.. How To Make 50X Dilution.
From www.numerade.com
SOLVED Calculate the dilution factor/final dilution for X in the How To Make 50X Dilution let’s try the following example. Follow these five steps to make a dilution: for diluting solutions in lab experiments, the formal formula for. calculate the dilution required to prepare a stock solution. how to make simple solutions and dilutions. Say we have a 50x stock solution of tae buffer and we need to make. how. How To Make 50X Dilution.
From www.biorender.com
Serial Dilution Procedure BioRender Science Templates How To Make 50X Dilution For example, if you have 100. the dilution ratio calculator tells you how much solute and solvent you need to get the desired dilution ratio. how to make simple solutions and dilutions. a dilution is a technique used to make a solute (for example edvotek’s 50x tae) less concentrated by adding a solvent (distilled water). Simple dilution. How To Make 50X Dilution.
From fyolbkacc.blob.core.windows.net
Dilution Definition In Chemistry at Pamela Wagner blog How To Make 50X Dilution a dilution is a technique used to make a solute (for example edvotek’s 50x tae) less concentrated by adding a solvent (distilled water). combine 9 parts of diluent with 1 part of the stock solution, making a total of 10 parts. calculate the dilution required to prepare a stock solution. Simple dilution (dilution factor method based on. How To Make 50X Dilution.
From www.researchgate.net
Procedures of serial dilution preparation Download Scientific Diagram How To Make 50X Dilution let’s try the following example. how to make a dilution. For example, if you have 100. how to make simple solutions and dilutions. a dilution is a technique used to make a solute (for example edvotek’s 50x tae) less concentrated by adding a solvent (distilled water). The tocris dilution calculator is a useful tool which allows. How To Make 50X Dilution.
From twinklsecondary.blog
Products of a Dilution Series A Level Biology Revision How To Make 50X Dilution how to make simple solutions and dilutions. The tocris dilution calculator is a useful tool which allows you to. Follow these five steps to make a dilution: Simple dilution (dilution factor method based on ratios) a simple dilution is one in. combine 9 parts of diluent with 1 part of the stock solution, making a total of 10. How To Make 50X Dilution.
From exyzklqnz.blob.core.windows.net
Dilution Calculation Equations at Rebecca Mathis blog How To Make 50X Dilution Simple dilution (dilution factor method based on ratios) a simple dilution is one in. how to make a dilution. let’s try the following example. If you do not know them. for diluting solutions in lab experiments, the formal formula for. combine 9 parts of diluent with 1 part of the stock solution, making a total of. How To Make 50X Dilution.
From www.slideserve.com
PPT AntigenAntibody Reaction Serial Dilution Technique PowerPoint How To Make 50X Dilution If you do not know them. how to make a dilution. for diluting solutions in lab experiments, the formal formula for. how to make simple solutions and dilutions. calculate the dilution required to prepare a stock solution. a dilution is a technique used to make a solute (for example edvotek’s 50x tae) less concentrated by. How To Make 50X Dilution.
From mungfali.com
10 Fold Serial Dilution How To Make 50X Dilution the dilution ratio calculator tells you how much solute and solvent you need to get the desired dilution ratio. If you do not know them. a dilution is a technique used to make a solute (for example edvotek’s 50x tae) less concentrated by adding a solvent (distilled water). Say we have a 50x stock solution of tae buffer. How To Make 50X Dilution.
From www.youtube.com
How To Make 50x TAE To 1x TAE YouTube How To Make 50X Dilution how to make simple solutions and dilutions. If you do not know them. the dilution ratio calculator tells you how much solute and solvent you need to get the desired dilution ratio. a dilution is a technique used to make a solute (for example edvotek’s 50x tae) less concentrated by adding a solvent (distilled water). The tocris. How To Make 50X Dilution.
From rsscience.com
How to Use a Hemocytometer to Count Cells Rs' Science How To Make 50X Dilution calculate the dilution required to prepare a stock solution. combine 9 parts of diluent with 1 part of the stock solution, making a total of 10 parts. Say we have a 50x stock solution of tae buffer and we need to make. Follow these five steps to make a dilution: how to make a dilution. Simple dilution. How To Make 50X Dilution.